
2.1 信号处理
信号处理是本系统中关键部分之一,主要完成输入信号的失真预处理和超声载波的振幅调制。信号处理部分的基本理论是。Berktay远场解决方案。
2.1.1 失真预处理
失真预处理的目的是增强信号的强度,减少失真,增强低频等。1965年, Berktay使用调制中包络的概念为参量阵提出了一个更精确完整的解释,认为最终的解调信号将由这个包络决定,即参量阵解调后的信号P2(t)与包络E (t)平方对时间的两次微分成正比。根据Berktay远场解决方案,现有的预处理方法主要有三种:
第一种也是最初的预处理方法,假设包络为E(t)=1+mg(t),其中m为调制因数,g(t)为音频信号。则有:

根据式(1)可以看到:在非线性作用下,信号的自解调能够将正比于包络信号E(t)的调制信号Ps(t)解调出来;但自解调过程中会伴随二次谐波失真信号Pd(t)的产生。
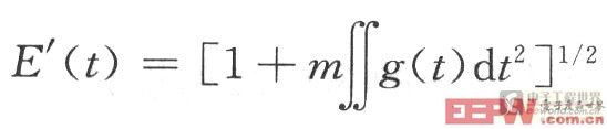
细观式(1)可得,失真信号Pd(t)与m2成正比,即减小m就可以减少失真,但解调出来的信号Ps(t)也随之减小,导致转换效率降低。因此就有了第二种预处理方法,对包络先积分两次,然后再开方,即:


很显然,单边带预处理方法对应产生纯音频信号时没有失真,即没有其他频率成分产生。
2.1.2 载波调制
载波调制的作用是将预处理过的信号与超声载波信号进行振幅调制,生成超声载波调制信号。载波调制可分为双边带(Double Sideband,DSB)调制和单边带(Single Sideband,SSB)调制等。在DSB调制中,输出信号的频谱由位于载频左右两侧的上下边带组成,而且信号的上、下边带携带的调制信号信息完全一样;SSB调制就是选择DSB调制中一个边带进行传输,从而节省一半的发射功率。假设载波频率为85 kHz,音频信号频率为5 kHz,则DSB和SSB调制示意图如图3所示。

输入信号通过运放PA85后,功率得到提高,但输出的电流较小。为了得到较高的输出电流,在PA85的输出端接人由Q1,Q2,Q3和Q4组成的互补对称式放大器,提升运放PA85的输出电流。另外,二极管D1和D2构成的保护电路,不但能限制PA85输入差分电压低于输入晶体管基极一发射极的反向击穿电压,而且还能起到限制输入瞬时电流的作用。
2.3 信号接收电路设计
信号接收电路主要包括前端放大电路、带通滤波电路和末级放大电路,并为换能器接收阵中的四个传声器提供电源,如图5所示。

前端放大电路采用低功耗、高增益和高可靠性等优点的LM324集成运放。该电路实现四路回波接收信号的相加及其放大功能。带通滤波器由高阻抗运算放大器 (TL082)和RC阻容元件构成,不但起到带通滤波器的作用,而且具有放大的功能。末级放大电路采用典型的反相放大电路的结构,并通过调节电位器来改变电路的增益,使接收电路的输出幅值满足数据采集卡的输入要求。
3 系统LabVIEW软件设计
基于LabVIEW开发工具的软件系统的前面板如图6所示,可以即时显示输入信号、SSB输出信号以及接收回来的信号,并保存数据供进一步信号处理,如频谱分析等。

程序设计中需要注意的是:
由于信号发射后,碰到障碍物将反射回来,因此每次发射信号的持续时间不能太长,否则接收的信号与发射的信号会发生混叠,相互干扰,具体持续时间可根据换能器发射阵与障碍物之间的距离来确定;
实验过程中,发射的超声的功率比较大,实验过程不能持续太长,否则对人身体产生影响,因此每次接收回来的数据最好以文件的形式保存下来,供后续处理,如频谱分析等。
4 结 语
设计的系统以LabVIEW软件为平台,与传统系统相比,系统电路得到大大简化,而且输入及载波信号可调,提高了系统的使用效能,更能全面地对声学参量阵进行测试。实验过程中,当输入信号为5 kHz、载波频率为85 kHz时,在障碍物处能够听到声响,系统也接收到回波信号。也就是说,系统发射的载波调制信号能够在空气中自解调,形成差频信号,而且系统还能实现回波信号的接收,从而证明该系统设计是可行的。
但是该系统还是存在参量换能器的转换效率低,系统作用距离不长等弊病。因此下一步将从参量阵基本理论下手,通过优化电路,改进换能器阵及信号失真预处理算法等手段,探索提高转换效率、增大系统的作用距离等的有效方法,使其能更好地应用于水声探测等领域。
|