一种基于MXT8051控制平台的高效MPPT光伏控制器设计
系统介绍
设计的系统是以MXT8051为核心,充分利用MXT8051的内部资源,构建包括ADC、PWM、UART、Timer、DAC、PGA、WDT、外部看门狗、液晶控制LCD、时间日期管理、EEPROM存储管理、键盘、温度采样等功能模块的硬件控制平台。
白天,控制系统将太阳能存储到电池中,在需要的时候开通负载(如LED照明等设备)。主要包括三个功能模块:温度采集模块、充电模块和放电模块。温度采集模块主要是为充电模块对储能电池充电时进行温度补偿,提供温度依据;充电模块主要以MPPT技术采集太阳能,并合理地向电池充电;放电模块是一个独立的模块,主要实现以多种控制模式控制负载开关,并保护电池过放,防止因电池短路和长时间过流而损坏电池。系统框图如图1所示。

温度采集模块

充分利用MXT8051内部资源,温度采集模块采集电路选用MXT8051 Datasheet 中的典型推荐电路,温度传感器选用PT100。具体电路如图2所示。
计算公式:
(1)
其中,
由MXT8051 内部DAC模块提供。
RESCON为放大电阻选择比例,为扩大测量范围,取RESCON = 0,计算公式简化为:
由于DAC参考源、ADC采样参考源、VREF1 参考源都是由MXT8051内部同一带隙电压发生器产生的电压源,再分别由四个增益放大器产生,温度漂移系数一致,关键元器件都封装在MXT8051内部,温度变化也一致,因此温度漂移对结果的影响可以互相抵消至最小。
充电管理模块
充电硬件方案
采用凌特公司LT3800作为BUCK主控芯片,该器件具有卓越的电压和负载调节及快速瞬态响应功能和同步整流功能;芯片内部集成了一个稳压器直接从输入电源向 IC 供电,启动时无需辅助 DC/DC 稳压器即可工作;此外,LT3800 还具有突发工作模式,可将无负载静态电流降至低于 100mA;并在此基础上外扩了电流环电压环双环控制电路。其电路如图3所示。

充电控制逻辑
首先以电流闭环为内环控制,控制充电电流的大小;再次以电压闭环为外环控制,控制充电电压大小。控制系统实时采集光伏电池电压,光伏充电电流,并实时计算出实际充电功率,经过MPPT控制软件模块函数不断更新电流给定值,以调节BUCK电源充电电流,实现以最大功率跟踪方式采集太阳能。控制系统实时采集温度信号,根据温度值决定对电池充电电压进行补偿,不断更新电压给定值,限制最大充电电压。其结构框图如图4所示。

MPPT的实现

为了说明问题,将光伏控制器电路简化成如图5所示的等效电路。
参数说明:
为太阳能板电池内阻;
为太阳能板电池开路电压;
为充电电流;
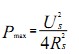
为太阳能板电池输出功率;
为太阳能板电池最大输出功率。
输出功率计算公式:
(5)
从上面公式可以看出,在同一温度和光照强度下,
和
是固定不变,调节
, 总可以找到一点,使该点输出功率最大;这一点就是要跟踪的最大功率点。
不难看出,当时
,输出功率最大,最大功率为:
(6)
由于实际应用环境是不断变化的,特别是光照强度发生变化,对
和
影响最大, 图6是同一温度下不同光照强度对应的光伏曲线图。

图中红色曲线就是要找的最大功率点曲线,不难看出不同光照强度下,最大功率点也随之变化,当
和
发生变化时,只要调节
就能跟踪最大功率,由于
和
参数无法预知,采用模糊控制逻辑理论来很好的解决这个问题。
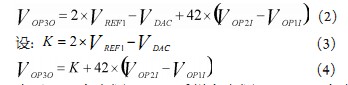
模糊控制理论电压
和光伏充电电流
,计算出当前功率PPV,
(7)
将式(7)两边分别对VPV求导得
(8)
由于在最大功率点时,
,所以,
(9)
如果
,光伏电池工作在最大功率点;如果不等,就需要调整输出电流,追踪最大功率点。 图7是MPPT控制流程图。

电池充电策略
在充电过程中,如果充电电流大于系统设定的最大允许充电电流值(一般为电池容量的0.1倍),此时无需进入MPPT工作状态,控制系统限制充电电流在最大充电电流值以下;只要充电电流小于最大允许充电电流值,就立即进入MPPT充电模式充电,以获取最大的光伏能量。 在充电过程中按照下图充电曲线所示电压值实时监测电池电压,并限制最大充电电压,最大充电电压值由充电电池的特征决定,同时考虑到温度对电池的影响,在一般情况下,铅酸电池以25℃为参考点,单体电池按照-3mv/℃进行温度补偿。这样即能在寒冷的冬天保证电池充满,又能在炎热的夏天有效防止电池充爆。具体的充电时序图8所示。

BULK CHARGE: 大电流快充阶段,电池电压还没有达到 100%的太阳能利用来充电。
ABSORPTION: 均充阶段,当电池电压达到均充电,防止电池过热和产生气泡。
FLOAT: 浮充阶段,电池充满后,
- 一种应用于光伏系统的双模式MPPT控制方法研究(12-28)
- 光伏逆变器MPPT效率的计算方法与来源(12-07)
- 简化太阳能供电的电池充电(04-29)
- 实现并网电压跟踪及MPPT的电流跟踪控制方案(12-13)
- 工程师:基于模糊控制的光伏电池MPPT的设计(11-25)
- 技术:一款基于模糊控制的光伏电池MPPT的设计(11-25)
