大中型UPS原理分析
1大中型UPS工作原理
大、中型UPS多为在线式,其系统框图与小型在线式UPS差不多,如图4-1所示。有市电时,市电经整流器、逆变器给负载供电。当市电中断或者超限时,整流器停止工作,蓄电池电能经逆变后继续给负载供电;当UPS故障时,市电通过旁路直接给负载供电。
2大中型UPS整流滤波电路
大型UPS中广泛应用三相桥式全控整流电路,如图4-2所示。
当控制角α=0时,其工作过程与三相桥式不控整流电路相同,在自然换相点换相。当控制角α>0时,每个晶闸管都从自然换相点向后移α角开始换相。不管α为何值,电压Ud都是线电压的一部分。所以,从线电压入手计算Ud更简单,由于ud波形每隔60°重复一次,Ud的计算只要在π/3范围内取平均值即可。
在三相星形接法的电路中,线电压较其相应的相电压超前30°,例如30°。现将线电压uab的零点作为新坐标的原点,即比原来以相电压ua零点的坐标提前30°。因此在新坐标上,自然换相点的位置在ωt=π/3处。
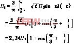
2.1电阻性负载
(1)当0≤α≤π/3时,
=2.34U2cosα=1.35U2Lcosα
式中U2——变压器T次级相电压;
U2L——次级线电压。
(2)当π/3α 2π /3时 , 整 流 只 能 在 正 半 周 进 行 , 故
当α=2π/3时Ud=0,从公式亦可看出电阻负载的最大移相范围是120°。
2.2电感性负载
对于电感性负载,由于电流是连续的,晶闸管的导通角总是2π/3,上式的积分上限可以超过π,仍为(2π/3)+α,故
=2.34U2cosα=1.35U2Lcosα
可见电感性负载时的最大移相范围为90°。
3大中型UPS充电电路
3.1大型UPS充电电路
大容量UPS的充电电路,一般采用晶闸管作为
中图法分类号:TM92文献标识码:A文章编号:02192713(2000)0842805

图4-1大、中型UPS系统框图
整流元件,这是因为大容量UPS充电器的输出电压一般高达几百伏,充电电流为几十安培。在大功率UPS中一般都将充电器和整流器合二为一,虽然这使得其控制电路较为复杂,但由于大功率UPS本身造价较高,控制电路设计得稍微复杂一些并不会明显增加成本。图4-3所示为大功率UPS中的充电器方框图。

图4-2三相桥式全控整流电路

图4-3三相桥式全控整流充电电路框图
由图中可以看出,此充电器分为3个主要部分,即三相桥式全控整流器,由V1-V6和滤波电感L1,L2组成;采样电路,其功能是对三相桥输出的充电电压和电流进行采样,然后将采样的结果送到控制电路;控制电路,其功能是根据采样电路送来的电压和电流信号去控制三相桥式全控整流器,以调整其输出电压和充电电流。该电路的充电曲线如图4-4所示。

图4-4某大容量UPS充电曲线
该曲线表明,大功率UPS的充电分为3个阶段:初期由于电池放电后损失较大,急需补充,故需充电电流较大,如不限流就会严重影响蓄电池的使用寿命,故这一阶段为恒流充电;当电压到达设计值(一般为浮充电压,每个电池单元为2.25V)时就转为恒压充电,其充电电流由式(4-1)决定;蓄电池经过一段时间的恒压充电,当其端电压上升到某一值时就转为浮充充电。
(4-1)
式中:IB为充电电流;Uch为恒压充电期间的充电电压;UB为电池组端电压;r为蓄电池组内阻和线路电阻之和。

图4-5脉冲阶梯混合波
充电初期的充电电流IBmax,对于铅酸蓄电池为0.1C,对镍镉蓄电池为0.2C。

图4-6混合波的形成
(a)电路原理图(b)波形图
3.2中型UPS充电电路
这里以梅兰日兰Comet系列UPS充电器为例,其充电电路采用开关型降压斩波器,可自动实现恒流恒压充电(具体电路略)。该充电器由于采用了微处理器监控,它除了具有一般充电器所要求的恒流恒压充电功能外,还具有以下功能:
(1)根据放电电流自动修正放电终止电压;
(2)根据环境温度自动修正浮充电压。
4大中型UPS逆变器
4.1大中型UPS中的逆变控制技术
大、中型UPS逆变器控制电路,除采用三相正弦脉宽调制技术外,波形叠加技术也得到了广泛应用,波形叠加技术有叠加式阶梯波、离散型阶梯波、脉宽阶梯混合波等多种。这里对应用较多的脉宽阶梯混合波作一介绍。
这种逆变器是结合阶梯波的高效率和脉宽调制的低价格而采取的一种折衷方案,由于混合式的逆变频率较低,因而噪声较大。它的体积略大于脉宽调制

图4-7三相输出混合波的情况
(a)电路图(b)波形图(变压器初级)

图4-8三相桥式逆变电路

图4-9三相桥式逆变电路主要波形
式而小于阶梯式,多用于中大容量的UPS。脉宽阶梯混合波的波形如图4-5所示。
图4-6(a)为电路原理图,图中S1,S2,S3,和S4分别
- 电源设计小贴士 1:为您的电源选择正确的工作频率(12-25)
- 用于电压或电流调节的新调节器架构(07-19)
- 超低静态电流电源管理IC延长便携应用工作时间(04-14)
- 电源设计小贴士 2:驾驭噪声电源(01-01)
- 负载点降压稳压器及其稳定性检查方法(07-19)
- 电源设计小贴士 3:阻尼输入滤波器(第一部分)(01-16)
