利用Snubber电路消除开关电源和ClassD功放电路中的振铃
时间:04-06
来源:互联网
点击:
概述
开关电源和ClassD功放,因为电路工作在开关状态,大大降低了电路的功率损耗,在当今的电子产品中得到了广泛的应用。由于寄生电感和寄生电容的存在,电路的PWM开关波形在跳变时,常常伴随着振铃现象。这些振铃常常会带来令人烦恼的EMC问题。本文对振铃进行探讨,并采用snubber电路对PWM开关信号上的振铃进行抑制。
振铃现象



图1:不同阻尼系数对应的阶跃信号(从左至右分别为欠阻尼、临界阻尼、过阻尼时对应的阶跃信号)

OS(%)定义为过冲量的幅度跟信号幅度的比值,以百分比表示。表1列出了不同阻尼系数对应的过冲OS(%)。

图2:过冲图示

表1,不同阻尼系数对应的过冲OS(%)
振铃的危害
对于振铃,我们直观感受到的是示波器屏幕上的电压的波动。实际带来问题的通常是电路的电流的谐振。在图三所示的电路里面,当PWM开关信号V1在0V和12V切换时,流过电感L1和电容C1的谐振电流可以达到安培量级,如图四所示。在高频(图3所示电路的谐振频率为232MHz,开关电源和ClassD电路里常见的振铃频率在几十兆到几百兆Hz之间),安培量级的电流通过很小的回路,都可能造成辐射超标,使产品无法通过EMC认证。

图3:LC谐振电路

图4:电容C1两端的电压和流过电容C1的谐振电流
避免测量引入的振铃
为了提高电路的效率,开关电源和ClassD功放的PWM开关信号的上升/下降时间都比较短,常常在10ns量级。测量这样的快速切换信号,需要考虑到示波器探头,特别是探头的接地线对测量结果的影响。在图5的测量方法中,示波器探头的地线过长,跟探头尖端的探针构成很大的回路。捕获到的信号出现了很大的振铃,如图6所示。

图5:示波器探头上长的地线会影响PWM开关信号的测量结果

图6:图5测量方法对应的测试结果
为了降低示波器探头对测量结果的影响,我们在电路板上焊接测量接地探针,并去除示波器探头上的地线,如图7所示。通过这种方法,我们可以大大降低示波器探头地线对测量引入的振铃。图8是使用这种方法捕获到的PWM开关信号的前后沿波形。

图7:通过在PCB上焊接接地点改善测量结果

图 8:图7测量试方法对应的测试结果
开关电源和Class D功放电路中的谐振电路
在开关电源和Class D功放电路中,芯片退耦电容到芯片电源引脚之间的PCB走线,芯片电源引脚到内部硅片之间的绑定线可以等效成一个寄生电感。在功率MOSFET截止时,功率MOSFET电极之间的电容(Cgs、Cgd、Cds)可等效成一个寄生电容。如图9所示。这些寄生电感和寄生电容构成了LC谐振电路。图9中的高端MOSFET导通,低端MOSFET截止时,可以等效成图十所示的LC谐振电路。为了提高电路的效率,当今芯片内部集成的功率MOSFET的RDSQN都做得比较小,常常在几十毫欧到几百毫欧之间。这意味着谐振电路的阻尼系数可能很小。造成的结果是在PWM开关切换时,伴随着比较大的振铃。

图9:开关电源和D类功放电路里的寄生电感和电容

图10:图9中高端MOSFET导通,低端MOSFET截止时的等效电路
利用Snubber抑制振铃
上面对LC谐振电路的振铃做了介绍。下面介绍利用snubber电路对振铃进行抑制。如图十一中虚线框内的电路所示,Snubber电路由一个小阻值的电阻Rsnubber和一个电容Csnubber串联构成。其中电阻Rsnubber用来调节LC谐振电路的阻尼系数。电容Csnubber在振铃频率(即LC谐振频率)处呈现很低的容抗,近似于短路。在PWM开关频率又呈现出较高的容抗。如果没有电容Csnubber的存在,PWM信号会一直加在电阻Rsnubber两端,电阻Rsnubber会消耗过多的能量。
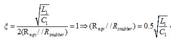
下面给Rsnubber选取合适的电阻值,让PWM开关信号能快速稳定到终值,而又不产生振铃(临界阻尼)。我们以图11的电路为例。其中L1是电路的寄生电感,C1是电路的寄生电容,Reqv是电路的等效并联电阻。


图11:snubber电路
整理得到:

用snubber改善振铃实例
下面以一个实例介绍snubber电路元件值的选取。图12a是一款降压DC-DC在PWM开关引脚处测到的波形。在PWM信号开关时,伴随着振铃现象。通过示波器测量到的振铃频率为215.5MHz。我们可以构建第一个方程:

为了得到L1和C1的值,我们需要构建另外一个方程。我们给电容C1并联一个小电容:在PWM引脚临时对地焊接一个56pF的电容。这时,振铃频率变为146.2MHz,如图十二b。据此,我们构建另一个方程:


图13:阶跃信号过冲

电容Csnubber的选择:Csnubber元件值的选取原则是,在LC谐振频率(振铃频率)处,容抗要远小于Rsnubber的阻值。对PWM开关信号,又要呈现出足够高的容抗。图14是Csnubber采用560pF的电容,Rsnubber采用18欧姆电阻时,PWM开关信号的前沿波形。对比图12a中的波形,振铃得到了很大的改善。

图14:加入snubber电路后的PWM前沿波形
开关电源和ClassD功放,因为电路工作在开关状态,大大降低了电路的功率损耗,在当今的电子产品中得到了广泛的应用。由于寄生电感和寄生电容的存在,电路的PWM开关波形在跳变时,常常伴随着振铃现象。这些振铃常常会带来令人烦恼的EMC问题。本文对振铃进行探讨,并采用snubber电路对PWM开关信号上的振铃进行抑制。
振铃现象



图1:不同阻尼系数对应的阶跃信号(从左至右分别为欠阻尼、临界阻尼、过阻尼时对应的阶跃信号)

OS(%)定义为过冲量的幅度跟信号幅度的比值,以百分比表示。表1列出了不同阻尼系数对应的过冲OS(%)。

图2:过冲图示

表1,不同阻尼系数对应的过冲OS(%)
振铃的危害
对于振铃,我们直观感受到的是示波器屏幕上的电压的波动。实际带来问题的通常是电路的电流的谐振。在图三所示的电路里面,当PWM开关信号V1在0V和12V切换时,流过电感L1和电容C1的谐振电流可以达到安培量级,如图四所示。在高频(图3所示电路的谐振频率为232MHz,开关电源和ClassD电路里常见的振铃频率在几十兆到几百兆Hz之间),安培量级的电流通过很小的回路,都可能造成辐射超标,使产品无法通过EMC认证。

图3:LC谐振电路

图4:电容C1两端的电压和流过电容C1的谐振电流
避免测量引入的振铃
为了提高电路的效率,开关电源和ClassD功放的PWM开关信号的上升/下降时间都比较短,常常在10ns量级。测量这样的快速切换信号,需要考虑到示波器探头,特别是探头的接地线对测量结果的影响。在图5的测量方法中,示波器探头的地线过长,跟探头尖端的探针构成很大的回路。捕获到的信号出现了很大的振铃,如图6所示。

图5:示波器探头上长的地线会影响PWM开关信号的测量结果

图6:图5测量方法对应的测试结果
为了降低示波器探头对测量结果的影响,我们在电路板上焊接测量接地探针,并去除示波器探头上的地线,如图7所示。通过这种方法,我们可以大大降低示波器探头地线对测量引入的振铃。图8是使用这种方法捕获到的PWM开关信号的前后沿波形。

图7:通过在PCB上焊接接地点改善测量结果

图 8:图7测量试方法对应的测试结果
开关电源和Class D功放电路中的谐振电路
在开关电源和Class D功放电路中,芯片退耦电容到芯片电源引脚之间的PCB走线,芯片电源引脚到内部硅片之间的绑定线可以等效成一个寄生电感。在功率MOSFET截止时,功率MOSFET电极之间的电容(Cgs、Cgd、Cds)可等效成一个寄生电容。如图9所示。这些寄生电感和寄生电容构成了LC谐振电路。图9中的高端MOSFET导通,低端MOSFET截止时,可以等效成图十所示的LC谐振电路。为了提高电路的效率,当今芯片内部集成的功率MOSFET的RDSQN都做得比较小,常常在几十毫欧到几百毫欧之间。这意味着谐振电路的阻尼系数可能很小。造成的结果是在PWM开关切换时,伴随着比较大的振铃。

图9:开关电源和D类功放电路里的寄生电感和电容

图10:图9中高端MOSFET导通,低端MOSFET截止时的等效电路
利用Snubber抑制振铃
上面对LC谐振电路的振铃做了介绍。下面介绍利用snubber电路对振铃进行抑制。如图十一中虚线框内的电路所示,Snubber电路由一个小阻值的电阻Rsnubber和一个电容Csnubber串联构成。其中电阻Rsnubber用来调节LC谐振电路的阻尼系数。电容Csnubber在振铃频率(即LC谐振频率)处呈现很低的容抗,近似于短路。在PWM开关频率又呈现出较高的容抗。如果没有电容Csnubber的存在,PWM信号会一直加在电阻Rsnubber两端,电阻Rsnubber会消耗过多的能量。
下面给Rsnubber选取合适的电阻值,让PWM开关信号能快速稳定到终值,而又不产生振铃(临界阻尼)。我们以图11的电路为例。其中L1是电路的寄生电感,C1是电路的寄生电容,Reqv是电路的等效并联电阻。


图11:snubber电路
整理得到:

用snubber改善振铃实例
下面以一个实例介绍snubber电路元件值的选取。图12a是一款降压DC-DC在PWM开关引脚处测到的波形。在PWM信号开关时,伴随着振铃现象。通过示波器测量到的振铃频率为215.5MHz。我们可以构建第一个方程:

为了得到L1和C1的值,我们需要构建另外一个方程。我们给电容C1并联一个小电容:在PWM引脚临时对地焊接一个56pF的电容。这时,振铃频率变为146.2MHz,如图十二b。据此,我们构建另一个方程:


图13:阶跃信号过冲

电容Csnubber的选择:Csnubber元件值的选取原则是,在LC谐振频率(振铃频率)处,容抗要远小于Rsnubber的阻值。对PWM开关信号,又要呈现出足够高的容抗。图14是Csnubber采用560pF的电容,Rsnubber采用18欧姆电阻时,PWM开关信号的前沿波形。对比图12a中的波形,振铃得到了很大的改善。

图14:加入snubber电路后的PWM前沿波形
开关电源 电路 电子 电感 电容 PWM EMC 示波器 电压 电流 PCB MOSFET 电阻 相关文章:
- 超低静态电流电源管理IC延长便携应用工作时间(04-14)
- 负载点降压稳压器及其稳定性检查方法(07-19)
- 电源设计小贴士 3:阻尼输入滤波器(第一部分)(01-16)
- 高效地驱动LED(04-23)
- 开关电源要降低纹波主要要在三个方面下功夫(06-24)
- 超宽输入范围工业控制电源的设计(10-15)
