数字升压型功率因数校正转换器的分析与设计
时间:11-17
来源:互联网
点击:
3 控制器设计与负载电流注入法
设计一个高功率因数升压型AC/DC转换器,其规格为输入电压90~130Vrms、输出电压312V、最大输出功率450W。元件参数为电感L=1Mh,输出电容Co=848uF,负载RL=216,功率开关切换频率fs=100kHz。

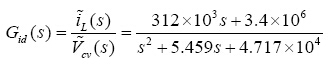
高功率因数升压型转换器的内回路电流控制方框图如图6所示,脉冲宽度调制等效增益为1/10;将电气型号与元件参数值代入式(9)可得:

(21)
设计的电流控制器CI(S)为PI控制器GI(s)=0.4+900/s (22)
得到内回路电流控制系统频率与响应,系统的频宽为1.33Hz,满足内回路系统频宽远大于120kHz的要求。

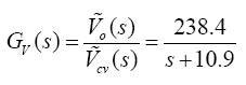
高功率因数转换器的外回路电压控制系统方框图如图7所示,为了使输入电压V0不受输入电压Vm幅值变动及负RL载变动的影响,设计稳压控制器Cv(s),以达到稳压性能。实际中降压比Kv=1/39、Kf=1/104,调整比Km=1000,代入公式(20) 得:

(23)
设计稳压控制器Cv(s)为积分器与相位超前控制器的组合

(24)
可得外回路电压控制系统频率响应的波特图如8所示,系统的频宽约为74.9rad/s=11.9Hz,满足步阶响应的稳态误差为零及外回路系统频宽在10Hz~20Hz的要求。

为实现数字控制,将控制器传递函数转换成离散时间状态的空间表示式,在取样频率为6kHz下,得到电流控制器为:

(25)

(26)
同样地,在取样频率为2kHz下,可得电压控制器离散状态空间表示为:

(27)

(28)
在外回路电压控制器设计上,为减少控制器信号与乘法器信号受120Hz输出电压的影响,降低了功率因数的性能,所以外回路系统的频宽通常设计在10Hz~20Hz之间。因此,在负载变动时,输出电压很难恢复至稳压状态。本文利用负载电流注入法将负载电流状态作为控制反馈,以改善输出电压的暂态响应。负载电流注入法是将负载电流接入控制回路,当负载发生变动时,立刻产生稳态输入电流的参考信号,改善外回路电压控制器缓慢的动态响应。
4 数字控制系统试验验证
以16位数字信号处理器DsPIC30F4011为基础,完成数字控制高功率因数升压型转换器的设计。在试验验证过程中,输入电压90~130 Vrms、输出电压312 V、最大输出功率450 W的高功率因数升压型AC/DC转换器。试验测量结果如下:

图9为输入电压110Vrms、输出功率450W时,输入电压Vin和电流iin的实际波型,利用万用表测量的功率因数值为0.968,说明了该设计系统的高功率因数特性。

随后,对系统输出电压的稳压性能进行测试,针对输入电压从110 V变动到130 V,再从110 V变到90 V,输出的电压响应如图10(a)。当负载从250 W变动到450 W时,输出的电压响应如图10(b)。当额外加入负载电流且负载变动同时发生时,输出的电压响应如图10(c)。比较图10(b)和10(c),图10(c)的输出电压变动较小时,负载电流注入法具有较高的稳压效果。当Vin=110 Vrms时,针对不同输出功率,测得高功率因数升压型转换器的功率因数曲线如图11(a)所示,在Po=450W时,功率因数最高可达0.966。针对不同输出功率,测量高功率因数升压型转换器的效率曲线如图11(b)所示,在Po=450W时,效率最高可达92.2%。

5 结论
本文以升压型转换器为AC/DC功率因数校正整流器的基本结构,以数字信号处理器DsPIC30F4011为控制核心,应用主动式功率因数校正技术的平均电流控制法,使平均输入电流随输入电压波形变化,以提高功率因数性能。利用负载电流注入控制法,改善输出电压动态响应较慢的缺点。最后设计输出功率为450W的高功率因数升压型转换器并进行试验,试验结果表明,该功率因数升压型转换器符合电流谐波的高功率因数特性,并且在输入电压幅值变动及负载变动时,输出具有良好的稳压特性。
参考文献:
[1]周志敏, 周纪海. 开关电源功率因数校正电路设计与应用[M]. 北京: 人民邮电出版社出版, 2004
[2]宗凡. Boost APFC电路的设计与实现[D]. 西安: 西北工业大学, 2006
[3]王志强等译. Abraham I. Pressman著. 开关电源设计[M]. 北京: 电子工业出版社, 2005
[4]E. Figures, J.M Benavent, G. Garcer’a, M. Pascual. A control circuit with load-current injection for single-phase power-factor-correction rectifiers[J]. IEEE Trans. Industrial Electronics, 2007, (54):1272-1281
[5]A.J Prodic, R.W. Chen, Erikson, D. Maksimovic. Digitally controlled low-harmonic rectifier having fast dynamic response[C]. IEEE APEC, 2002, 476-482
[6]S. Buso, P. Mattavelli, L. Rossetto, G. Spiazzi. Simple digital control improving dynamic performance of power factor preregulators[J]. IEEE Trans. Power Electronics, 1998, 13(5): 814-823
[7]M.G. Villalva, J.R. Gazoli, E.R. Filho. Comprehensive Approach to Modeling and Simulation of Photovoltaic Arrays [J]. IEEE Transactions on Power Electronics, 2009, 24(5): 1198-2008
[8]L. Fangrui, D. Shanxu, L. Fei, L. Bangyin, K. Yong. A Variable Step Size INC MPPT Method for PV Systems [J]. IEEE Transactions on Industrial Electronics, 2008, (55): 2622-28
[9]R.W. Erickson, D. Maksimovic. Fundamentals of power electronics[M]. Kluwer Academic Publishers, 2001, Second Edition
[10]J.L. Lin, C.Y. Chen, Y.K. Wang. AC/DC converter analysis based on LFR model[C]. Proceeding of Taiwan Power Electronics Conference. 2006, 1015-1020
设计一个高功率因数升压型AC/DC转换器,其规格为输入电压90~130Vrms、输出电压312V、最大输出功率450W。元件参数为电感L=1Mh,输出电容Co=848uF,负载RL=216,功率开关切换频率fs=100kHz。

高功率因数升压型转换器的内回路电流控制方框图如图6所示,脉冲宽度调制等效增益为1/10;将电气型号与元件参数值代入式(9)可得:

(21)
设计的电流控制器CI(S)为PI控制器GI(s)=0.4+900/s (22)
得到内回路电流控制系统频率与响应,系统的频宽为1.33Hz,满足内回路系统频宽远大于120kHz的要求。

高功率因数转换器的外回路电压控制系统方框图如图7所示,为了使输入电压V0不受输入电压Vm幅值变动及负RL载变动的影响,设计稳压控制器Cv(s),以达到稳压性能。实际中降压比Kv=1/39、Kf=1/104,调整比Km=1000,代入公式(20) 得:

(23)
设计稳压控制器Cv(s)为积分器与相位超前控制器的组合

(24)
可得外回路电压控制系统频率响应的波特图如8所示,系统的频宽约为74.9rad/s=11.9Hz,满足步阶响应的稳态误差为零及外回路系统频宽在10Hz~20Hz的要求。

为实现数字控制,将控制器传递函数转换成离散时间状态的空间表示式,在取样频率为6kHz下,得到电流控制器为:

(25)

(26)
同样地,在取样频率为2kHz下,可得电压控制器离散状态空间表示为:

(27)

(28)
在外回路电压控制器设计上,为减少控制器信号与乘法器信号受120Hz输出电压的影响,降低了功率因数的性能,所以外回路系统的频宽通常设计在10Hz~20Hz之间。因此,在负载变动时,输出电压很难恢复至稳压状态。本文利用负载电流注入法将负载电流状态作为控制反馈,以改善输出电压的暂态响应。负载电流注入法是将负载电流接入控制回路,当负载发生变动时,立刻产生稳态输入电流的参考信号,改善外回路电压控制器缓慢的动态响应。
4 数字控制系统试验验证
以16位数字信号处理器DsPIC30F4011为基础,完成数字控制高功率因数升压型转换器的设计。在试验验证过程中,输入电压90~130 Vrms、输出电压312 V、最大输出功率450 W的高功率因数升压型AC/DC转换器。试验测量结果如下:

图9为输入电压110Vrms、输出功率450W时,输入电压Vin和电流iin的实际波型,利用万用表测量的功率因数值为0.968,说明了该设计系统的高功率因数特性。

随后,对系统输出电压的稳压性能进行测试,针对输入电压从110 V变动到130 V,再从110 V变到90 V,输出的电压响应如图10(a)。当负载从250 W变动到450 W时,输出的电压响应如图10(b)。当额外加入负载电流且负载变动同时发生时,输出的电压响应如图10(c)。比较图10(b)和10(c),图10(c)的输出电压变动较小时,负载电流注入法具有较高的稳压效果。当Vin=110 Vrms时,针对不同输出功率,测得高功率因数升压型转换器的功率因数曲线如图11(a)所示,在Po=450W时,功率因数最高可达0.966。针对不同输出功率,测量高功率因数升压型转换器的效率曲线如图11(b)所示,在Po=450W时,效率最高可达92.2%。

5 结论
本文以升压型转换器为AC/DC功率因数校正整流器的基本结构,以数字信号处理器DsPIC30F4011为控制核心,应用主动式功率因数校正技术的平均电流控制法,使平均输入电流随输入电压波形变化,以提高功率因数性能。利用负载电流注入控制法,改善输出电压动态响应较慢的缺点。最后设计输出功率为450W的高功率因数升压型转换器并进行试验,试验结果表明,该功率因数升压型转换器符合电流谐波的高功率因数特性,并且在输入电压幅值变动及负载变动时,输出具有良好的稳压特性。
参考文献:
[1]周志敏, 周纪海. 开关电源功率因数校正电路设计与应用[M]. 北京: 人民邮电出版社出版, 2004
[2]宗凡. Boost APFC电路的设计与实现[D]. 西安: 西北工业大学, 2006
[3]王志强等译. Abraham I. Pressman著. 开关电源设计[M]. 北京: 电子工业出版社, 2005
[4]E. Figures, J.M Benavent, G. Garcer’a, M. Pascual. A control circuit with load-current injection for single-phase power-factor-correction rectifiers[J]. IEEE Trans. Industrial Electronics, 2007, (54):1272-1281
[5]A.J Prodic, R.W. Chen, Erikson, D. Maksimovic. Digitally controlled low-harmonic rectifier having fast dynamic response[C]. IEEE APEC, 2002, 476-482
[6]S. Buso, P. Mattavelli, L. Rossetto, G. Spiazzi. Simple digital control improving dynamic performance of power factor preregulators[J]. IEEE Trans. Power Electronics, 1998, 13(5): 814-823
[7]M.G. Villalva, J.R. Gazoli, E.R. Filho. Comprehensive Approach to Modeling and Simulation of Photovoltaic Arrays [J]. IEEE Transactions on Power Electronics, 2009, 24(5): 1198-2008
[8]L. Fangrui, D. Shanxu, L. Fei, L. Bangyin, K. Yong. A Variable Step Size INC MPPT Method for PV Systems [J]. IEEE Transactions on Industrial Electronics, 2008, (55): 2622-28
[9]R.W. Erickson, D. Maksimovic. Fundamentals of power electronics[M]. Kluwer Academic Publishers, 2001, Second Edition
[10]J.L. Lin, C.Y. Chen, Y.K. Wang. AC/DC converter analysis based on LFR model[C]. Proceeding of Taiwan Power Electronics Conference. 2006, 1015-1020
PIC 电流 电压 电容 电路 二极管 电感 电阻 万用表 开关电源 电子 相关文章:
- 电源设计小贴士 7:高效驱动 LED 离线式照明(04-05)
- DC-DC变换器中一种高性能振荡电路的设计(04-08)
- 使用低侧PWM IC的降压转换器(08-04)
- 多重转换:冗余电源系统电流限制的一种新方法(12-24)
- 对双向可控硅内部电路的探讨(05-18)
- 电流模式控制移相全桥零电压软开关(ZVS)DC/DC功率变换器(06-11)
