理解MOSFET开关损耗和主导参数
时间:02-25
来源:互联网
点击:
本文详细分析计算开关损耗,并论述实际状态下功率MOSFET的开通过程和自然零电压关断的过程,从而使电子工程师知道哪个参数起主导作用并更加深入理解MOSFET。
MOSFET开关损耗1 开通过程中MOSFET开关损耗
功率MOSFET的栅极电荷特性如图1所示。值得注意的是:下面的开通过程对应着BUCK变换器上管的开通状态,对于下管是0电压开通,因此开关损耗很小,可以忽略不计。
开通过程中,从t0时刻起,栅源极间电容开始充电,栅电压开始上升,栅极电压为
其中:
,VGS为PWM栅极驱动器的输出电压,Ron为PWM栅极驱动器内部串联导通电阻,Ciss为MOSFET输入电容,Rg为MOSFET的栅极电阻。
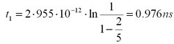
VGS电压从0增加到开启阈值电压VTH前,漏极没有电流流过,时间t1为
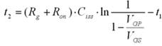
VGS电压从VTH增加到米勒平台电压VGP的时间t2为
VGS处于米勒平台的时间t3为
t3也可以用下面公式计算:
注意到了米勒平台后,漏极电流达到系统最大电流ID,就保持在电路决定的恒定最大值ID,漏极电压开始下降,MOSFET固有的转移特性使栅极电压和漏极电流保持比例的关系,漏极电流恒定,因此栅极电压也保持恒定,这样栅极电压不变,栅源极间的电容不再流过电流,驱动的电流全部流过米勒电容。过了米勒平台后,MOSFET完全导通,栅极电压和漏极电流不再受转移特性的约束,就继续地增大,直到等于驱动电路的电源的电压。
MOSFET开通损耗主要发生在t2和t3时间段。下面以一个具体的实例计算。输入电压12V,输出电压3.3V/6A,开关频率350kHz,PWM栅极驱动器电压为5V,导通电阻1.5Ω,关断的下拉电阻为0.5Ω,所用的MOSFET为AO4468,具体参数为Ciss=955pF,Coss=145pF,Crss=112pF,Rg=0.5Ω;当VGS=4.5V,Qg=9nC;当VGS=10V,Qg=17nC,Qgd=4.7nC,Qgs=3.4nC;当VGS=5V且ID=11.6A,跨导gFS=19S;当VDS=VGS且ID=250μA,VTH=2V;当VGS=4.5V且ID=10A,RDS(ON)=17.4mΩ。
开通时米勒平台电压VGP:
计算可以得到电感L=4.7μH.,满载时电感的峰峰电流为1.454A,电感的谷点电流为5.273A,峰值电流为6.727A,所以,开通时米勒平台电压VGP=2+5.273/19=2.278V,可以计算得到:
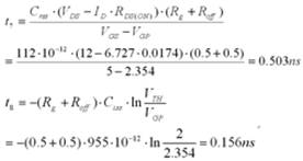
开通过程中产生开关损耗为
开通过程中,Crss和米勒平台时间t3成正比,计算可以得出米勒平台所占开通损耗比例为84%,因此米勒电容Crss及所对应的Qgd在MOSFET的开关损耗中起主导作用。Ciss=Crss+Cgs,Ciss所对应电荷为Qg。对于两个不同的MOSFET,两个不同的开关管,即使A管的Qg和Ciss小于B管的,但如果A管的Crss比B管的大得多时,A管的开关损耗就有可能大于B管。因此在实际选取MOSFET时,需要优先考虑米勒电容Crss的值。
减小驱动电阻可以同时降低t3和t2,从而降低开关损耗,但是过高的开关速度会引起EMI的问题。提高栅驱动电压也可以降低t3时间。降低米勒电压,也就是降低阈值开启电压,提高跨导,也可以降低t3时间从而降低开关损耗。但过低的阈值开启会使MOSFET容易受到干扰误导通,增大跨导将增加工艺复杂程度和成本。
2 关断过程中MOSFET开关损耗
关断的过程如图1所示,分析和上面的过程相同,需注意的就是此时要用PWM驱动器内部的下拉电阻0.5Ω和Rg串联计算,同时电流要用最大电流即峰值电流6.727A来计算关断的米勒平台电压及相关的时间值:VGP=2+6.727/19=2.354V。
关断过程中产生开关损耗为:
Crss一定时,Ciss越大,除了对开关损耗有一定的影响,还会影响开通和关断的延时时间,开通延时为图1中的t1和t2,图2中的t8和t9。
Coss产生开关损耗与对开关过程的影响。
1 Coss产生的开关损耗
通常,在MOSFET关断的过程中,Coss充电,能量将储存在其中。Coss同时也影响MOSFET关断过程中的电压的上升率dVDS/dt,Coss越大,dVDS/dt就越小,这样引起的EMI就越小。反之,Coss越小,dVDS/dt就越大,就越容易产生EMI的问题。
但是,在硬开关的过程中,Coss又不能太大,因为Coss储存的能量将在MOSFET开通的过程中,放电释放能量,将产生更多的功耗降低系统的整体效率,同时在开通过程中,产生大的电流尖峰。
开通过程中大的电流尖峰产生大的电流应力,瞬态过程中有可能损坏MOSFET,同时还会产生电流干扰,带来EMI的问题;另外,大的开通电流尖峰也会给峰值电流模式的PWM控制器带来电流检测的问题,需要更大的前沿消隐时间,防止电流误检测,从而降低了系统能够工作的最小占空比值。
Coss产生的损耗为:
对于BUCK变换器,工作在连续模式时,开通时MOSFET的电压为输入电源电压。当工作在断续模式时,由于输出电感以输出电压为中心振荡,Coss电压值为开通瞬态时MOSFET的两端电压值,如图2所示。
2 Coss对开关过程的影响
图1中VDS的电压波形是基于理想状态下,用工程简化方式来分析的。由于Coss存在,实际的开关过程中的电压和电流波形与图1波形会有一些差异,如图3所示。下面以关断过程为例说明。基于理想状态下,以工程简化方式,认为VDS在t7时间段内线性地从最小值上升到输入电压,电流在t8时间段内线性地从最大值下降到0。
MOSFET开关损耗1 开通过程中MOSFET开关损耗
功率MOSFET的栅极电荷特性如图1所示。值得注意的是:下面的开通过程对应着BUCK变换器上管的开通状态,对于下管是0电压开通,因此开关损耗很小,可以忽略不计。
图1 MOSFET开关过程中栅极电荷特性
开通过程中,从t0时刻起,栅源极间电容开始充电,栅电压开始上升,栅极电压为
其中:
,VGS为PWM栅极驱动器的输出电压,Ron为PWM栅极驱动器内部串联导通电阻,Ciss为MOSFET输入电容,Rg为MOSFET的栅极电阻。
VGS电压从0增加到开启阈值电压VTH前,漏极没有电流流过,时间t1为
VGS电压从VTH增加到米勒平台电压VGP的时间t2为
VGS处于米勒平台的时间t3为
t3也可以用下面公式计算:
注意到了米勒平台后,漏极电流达到系统最大电流ID,就保持在电路决定的恒定最大值ID,漏极电压开始下降,MOSFET固有的转移特性使栅极电压和漏极电流保持比例的关系,漏极电流恒定,因此栅极电压也保持恒定,这样栅极电压不变,栅源极间的电容不再流过电流,驱动的电流全部流过米勒电容。过了米勒平台后,MOSFET完全导通,栅极电压和漏极电流不再受转移特性的约束,就继续地增大,直到等于驱动电路的电源的电压。
MOSFET开通损耗主要发生在t2和t3时间段。下面以一个具体的实例计算。输入电压12V,输出电压3.3V/6A,开关频率350kHz,PWM栅极驱动器电压为5V,导通电阻1.5Ω,关断的下拉电阻为0.5Ω,所用的MOSFET为AO4468,具体参数为Ciss=955pF,Coss=145pF,Crss=112pF,Rg=0.5Ω;当VGS=4.5V,Qg=9nC;当VGS=10V,Qg=17nC,Qgd=4.7nC,Qgs=3.4nC;当VGS=5V且ID=11.6A,跨导gFS=19S;当VDS=VGS且ID=250μA,VTH=2V;当VGS=4.5V且ID=10A,RDS(ON)=17.4mΩ。
开通时米勒平台电压VGP:
计算可以得到电感L=4.7μH.,满载时电感的峰峰电流为1.454A,电感的谷点电流为5.273A,峰值电流为6.727A,所以,开通时米勒平台电压VGP=2+5.273/19=2.278V,可以计算得到:
开通过程中产生开关损耗为
开通过程中,Crss和米勒平台时间t3成正比,计算可以得出米勒平台所占开通损耗比例为84%,因此米勒电容Crss及所对应的Qgd在MOSFET的开关损耗中起主导作用。Ciss=Crss+Cgs,Ciss所对应电荷为Qg。对于两个不同的MOSFET,两个不同的开关管,即使A管的Qg和Ciss小于B管的,但如果A管的Crss比B管的大得多时,A管的开关损耗就有可能大于B管。因此在实际选取MOSFET时,需要优先考虑米勒电容Crss的值。
减小驱动电阻可以同时降低t3和t2,从而降低开关损耗,但是过高的开关速度会引起EMI的问题。提高栅驱动电压也可以降低t3时间。降低米勒电压,也就是降低阈值开启电压,提高跨导,也可以降低t3时间从而降低开关损耗。但过低的阈值开启会使MOSFET容易受到干扰误导通,增大跨导将增加工艺复杂程度和成本。
2 关断过程中MOSFET开关损耗
关断的过程如图1所示,分析和上面的过程相同,需注意的就是此时要用PWM驱动器内部的下拉电阻0.5Ω和Rg串联计算,同时电流要用最大电流即峰值电流6.727A来计算关断的米勒平台电压及相关的时间值:VGP=2+6.727/19=2.354V。
关断过程中产生开关损耗为:
Crss一定时,Ciss越大,除了对开关损耗有一定的影响,还会影响开通和关断的延时时间,开通延时为图1中的t1和t2,图2中的t8和t9。
图2 断续模式工作波形
Coss产生开关损耗与对开关过程的影响。
1 Coss产生的开关损耗
通常,在MOSFET关断的过程中,Coss充电,能量将储存在其中。Coss同时也影响MOSFET关断过程中的电压的上升率dVDS/dt,Coss越大,dVDS/dt就越小,这样引起的EMI就越小。反之,Coss越小,dVDS/dt就越大,就越容易产生EMI的问题。
但是,在硬开关的过程中,Coss又不能太大,因为Coss储存的能量将在MOSFET开通的过程中,放电释放能量,将产生更多的功耗降低系统的整体效率,同时在开通过程中,产生大的电流尖峰。
开通过程中大的电流尖峰产生大的电流应力,瞬态过程中有可能损坏MOSFET,同时还会产生电流干扰,带来EMI的问题;另外,大的开通电流尖峰也会给峰值电流模式的PWM控制器带来电流检测的问题,需要更大的前沿消隐时间,防止电流误检测,从而降低了系统能够工作的最小占空比值。
Coss产生的损耗为:
对于BUCK变换器,工作在连续模式时,开通时MOSFET的电压为输入电源电压。当工作在断续模式时,由于输出电感以输出电压为中心振荡,Coss电压值为开通瞬态时MOSFET的两端电压值,如图2所示。
2 Coss对开关过程的影响
图1中VDS的电压波形是基于理想状态下,用工程简化方式来分析的。由于Coss存在,实际的开关过程中的电压和电流波形与图1波形会有一些差异,如图3所示。下面以关断过程为例说明。基于理想状态下,以工程简化方式,认为VDS在t7时间段内线性地从最小值上升到输入电压,电流在t8时间段内线性地从最大值下降到0。
MOSFET 电压 电子 电容 PWM 电阻 电流 电路 电感 二极管 相关文章:
- 电源设计小贴士 1:为您的电源选择正确的工作频率(12-25)
- 超低静态电流电源管理IC延长便携应用工作时间(04-14)
- 电源SOC:或许好用的“疯狂”创意(07-24)
- 过压保护及瞬态电压抑制电路设计(04-03)
- 用于低成本高效率离线LED驱动器的初级端调节技术(05-14)
- 隔离式MOSFET驱动器集成电路的功率效率在轻负载时得到改善(07-31)
