开关电源钳位保护电路及散热器的设计
时间:12-11
来源:互联网
点击:
摘 要:首先阐述开关电源漏极钳位保护电路的设计要点及步骤,并给出一种典型钳位保护电路的设计实例;然后对开关电源散热器的设计做深入分析,并从中得出了结论。
0 引言
开关电源漏极钳位保护电路的作用是当功率开关管(MOSFET)关断时,对由高频变压器漏感所形成的尖峰电压进行钳位和吸收,以防止MOSFET因过电压而损坏。散热器的作用则是将单片开关电源内部产生的热量及时散发掉,避免因散热不良导致管芯温度超过最高结温,使开关电源无法正常工作,甚至损坏芯片。
下面分别阐述漏极钳位保护电路和散热器的设计要点、设计方法及注意事项。
1 设计开关电源漏极钳位保护电路的要点及实例
在“输入整流滤波器及钳位保护电路的设计”一文中,介绍了反激式开关电源漏极钳位保护电路的工作原理。下面以最典型的一种漏极钳位保护电路为例,详细阐述其设计要点及设计实例。
1)设计实例
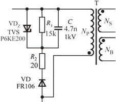
采用由瞬态电压抑制器TVS(P6KE200,亦称钳位二极管)、阻容吸收元件(钳位电容C和钳位电阻R 1)、阻尼电阻(R 2)和阻塞二极管(快恢复二极管FR106)构成的VDZ、R、C、VD型漏极钳位保护电路,如图1所示。选择TOPswitch-HX系列TOP258P芯片,开关频率f=132kHz,u=85~265V,两路输出分别为UO1(+12V、2A)、UO2(+5V、2.2A)。P O=35W,漏极峰值电流I P=I LIMIT=1.65A.实测高频变压器的一次侧漏感L 0=20μH。
2)设计要点及步骤
(1)选择钳位二极管。
采用P6KE200型瞬态电压抑制器(TVS),钳位电压UB=200V。
(2)确定钳位电压的最大值UQ(max)。
令一次侧感应电压(亦称二次侧反射电压)为UOR ,要求:
1.5U OR≤U Q(max)≤200V
实际可取U Q(max)=U B=200V.
(3)计算最大允许漏极电压U D(max)
为安全起见,U D ( max)至少应比漏-源极击穿电压7 00V留出5 0V的余量。这其中还考虑到P6KE200具有0.108%/℃的温度系数,当环境温度T A=25℃时,U B=200V;当T A=100℃时,UB=200V×[(1+0.108)%/℃]×100℃=221.6V,可升高21.6V。
URI=0.1U Q(max)=0.1U B=0.1×200V=20V
(5)确定钳位电压的最小值U Q(min)
UQ(min) =UQ(max) -URI=U B-0.1U B=90%U B=180V
(6)计算钳位电路的平均电压。
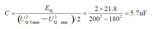
当1.5W≤P O≤50W时,E Q=0.8E L0=0.8×27.2μJ=21.8μJ
注意:当P O>50W时,E Q=E L0=27.2μJ.当P O<1.5W时,不要求使用钳位电路。
(9)计算钳位电阻R1
(10)计算钳位电容C
(11)选择钳位电容和钳位电阻。
令由R 1、C确定的时间常数为τ:
=0.95UB和f=132kHz一并代入上式,化简后得到:
τ=R 1C =9.47/f=9.47T (μs)
这表明R 1、C 的时间常数与开关周期有关,在数值上它就等于开关周期的9 。 4 7倍。当f=132kHz时,开关周期T =7.5μs,τ=9.47×7.5μs=71.0μs.
实取钳位电阻R 1=1 5 kΩ,钳位电容C =4.7nF.此时τ=70.5μs.
当钳位保护电路工作时,R 1上的功耗为:
令一次侧直流高压为U I(max)。钳位电容的耐压值U C>1.5U Q(max) +U I(max)=1.5×200V+265V×=674V.实际耐压值取1kV.
(12)选择阻塞二极管VD
要求反向耐压U BR≥1.5U Q(max) =300V
采用快恢复二极管FR106(1A/800V,正向峰值电流可达30A)。要求其正向峰值电流远大于IP(这里为30A>1.65A)。
说明:这里采用快恢复二极管而不使用超快恢复二极管,目的是配合阻尼电阻R 2,将部分漏感能量传输到二次侧,以提高电源效率。
(13)计算阻尼电阻R 2.
有时为了提高开关电源的效率,还在阻塞二极管上面串联一只低阻值的阻尼电阻R 2.在R 2与漏极分布电容的共同作用下,可使漏感所产生尖峰电压的起始部分保留下来并产生衰减振荡,而不被RC电路吸收掉。通常将这种衰减振荡的电压称作振铃电压,由于振铃电压就叠加在感应电压U OR上,因此可被高频变压器传输到二次侧。
阻尼电阻应满足以下条件:
0 引言
开关电源漏极钳位保护电路的作用是当功率开关管(MOSFET)关断时,对由高频变压器漏感所形成的尖峰电压进行钳位和吸收,以防止MOSFET因过电压而损坏。散热器的作用则是将单片开关电源内部产生的热量及时散发掉,避免因散热不良导致管芯温度超过最高结温,使开关电源无法正常工作,甚至损坏芯片。
下面分别阐述漏极钳位保护电路和散热器的设计要点、设计方法及注意事项。
1 设计开关电源漏极钳位保护电路的要点及实例
在“输入整流滤波器及钳位保护电路的设计”一文中,介绍了反激式开关电源漏极钳位保护电路的工作原理。下面以最典型的一种漏极钳位保护电路为例,详细阐述其设计要点及设计实例。
1)设计实例
采用由瞬态电压抑制器TVS(P6KE200,亦称钳位二极管)、阻容吸收元件(钳位电容C和钳位电阻R 1)、阻尼电阻(R 2)和阻塞二极管(快恢复二极管FR106)构成的VDZ、R、C、VD型漏极钳位保护电路,如图1所示。选择TOPswitch-HX系列TOP258P芯片,开关频率f=132kHz,u=85~265V,两路输出分别为UO1(+12V、2A)、UO2(+5V、2.2A)。P O=35W,漏极峰值电流I P=I LIMIT=1.65A.实测高频变压器的一次侧漏感L 0=20μH。
图1 最典型的一种漏极钳位保护电路
2)设计要点及步骤
(1)选择钳位二极管。
采用P6KE200型瞬态电压抑制器(TVS),钳位电压UB=200V。
(2)确定钳位电压的最大值UQ(max)。
令一次侧感应电压(亦称二次侧反射电压)为UOR ,要求:
1.5U OR≤U Q(max)≤200V
实际可取U Q(max)=U B=200V.
(3)计算最大允许漏极电压U D(max)
为安全起见,U D ( max)至少应比漏-源极击穿电压7 00V留出5 0V的余量。这其中还考虑到P6KE200具有0.108%/℃的温度系数,当环境温度T A=25℃时,U B=200V;当T A=100℃时,UB=200V×[(1+0.108)%/℃]×100℃=221.6V,可升高21.6V。
URI=0.1U Q(max)=0.1U B=0.1×200V=20V
(5)确定钳位电压的最小值U Q(min)
UQ(min) =UQ(max) -URI=U B-0.1U B=90%U B=180V
(6)计算钳位电路的平均电压。
当1.5W≤P O≤50W时,E Q=0.8E L0=0.8×27.2μJ=21.8μJ
注意:当P O>50W时,E Q=E L0=27.2μJ.当P O<1.5W时,不要求使用钳位电路。
(9)计算钳位电阻R1
(10)计算钳位电容C
(11)选择钳位电容和钳位电阻。
令由R 1、C确定的时间常数为τ:
=0.95UB和f=132kHz一并代入上式,化简后得到:τ=R 1C =9.47/f=9.47T (μs)
这表明R 1、C 的时间常数与开关周期有关,在数值上它就等于开关周期的9 。 4 7倍。当f=132kHz时,开关周期T =7.5μs,τ=9.47×7.5μs=71.0μs.
实取钳位电阻R 1=1 5 kΩ,钳位电容C =4.7nF.此时τ=70.5μs.
当钳位保护电路工作时,R 1上的功耗为:
令一次侧直流高压为U I(max)。钳位电容的耐压值U C>1.5U Q(max) +U I(max)=1.5×200V+265V×=674V.实际耐压值取1kV.
(12)选择阻塞二极管VD
要求反向耐压U BR≥1.5U Q(max) =300V
采用快恢复二极管FR106(1A/800V,正向峰值电流可达30A)。要求其正向峰值电流远大于IP(这里为30A>1.65A)。
说明:这里采用快恢复二极管而不使用超快恢复二极管,目的是配合阻尼电阻R 2,将部分漏感能量传输到二次侧,以提高电源效率。
(13)计算阻尼电阻R 2.
有时为了提高开关电源的效率,还在阻塞二极管上面串联一只低阻值的阻尼电阻R 2.在R 2与漏极分布电容的共同作用下,可使漏感所产生尖峰电压的起始部分保留下来并产生衰减振荡,而不被RC电路吸收掉。通常将这种衰减振荡的电压称作振铃电压,由于振铃电压就叠加在感应电压U OR上,因此可被高频变压器传输到二次侧。
阻尼电阻应满足以下条件:
开关电源 电路 MOSFET 变压器 电压 滤波器 二极管 电容 电阻 电流 相关文章:
- 超低静态电流电源管理IC延长便携应用工作时间(04-14)
- 负载点降压稳压器及其稳定性检查方法(07-19)
- 电源设计小贴士 3:阻尼输入滤波器(第一部分)(01-16)
- 高效地驱动LED(04-23)
- 开关电源要降低纹波主要要在三个方面下功夫(06-24)
- 超宽输入范围工业控制电源的设计(10-15)
