机载大功率射频同轴继电器设计
阻。
当线圈在激励状态下,驱动机构的静态吸力F为:

φm2、φm1为磁钢的磁通量,由公式(3)求得:

式(3)中:Hm导磁体中的磁场强度,由磁钢的去磁曲线求得,lm为磁钢的长度,k1为修正系数,Rδ为气隙磁阻,μ0为真空磁导系数,S为极靴面积。
φn为线圈的磁通量,由公式(4)求得:

式(4)中:N为线圈匝数,I为线圈电流,Rm为磁路磁阻。
电磁系统的电磁吸力计算比较烦琐,通常使用Ansoft Maxwell软件进行仿真, 为了提高产品的可靠性,保证在全温度范围(-55℃~+85℃)正常工作,实际动作电压按+85℃时进行设计。由于额定工作电压范围24v~32v,为了保证可靠的驱动电流,设计中必须考虑到电磁线圈漆包线铜材料的电阻随环境温度变化的趋势,由公式(5)确定:
11(暂缺)
式(5)中:R20为20℃的电阻值;Rt为在t温度范围下测量的电阻值;t为测量的环境温度;α为电阻温度系数,单位1/℃。
(3)射频切换及射频接口设计
射频切换是在矩形同轴传输线中完成的,矩形同轴传输线截面见图6,在矩形传输线中设置中间簧片的通断切换结构,它的结构特点就是中间簧片位于上下接地板的对称面上。

图6 矩形同轴传输线截面图
矩形同轴传输线的传输功率,由以下公式决定:
13(暂缺)
式(6)中:Pmax为最大峰值的击穿功率(KW); ρ为电压驻波比;p为空气大气压力(atm);b为接地板高度(cm);t为中间簧片厚度;Z0为特性阻抗,50Ω。
通过式(6)可以看出,要增加矩形同轴传输线的传输功率,可以增加中间簧片厚度t、接地板之间距离b,减少电压驻波比,而电压驻波比ρ由同轴线特性阻抗Z0相关,而影响矩形同轴线特性阻抗Z0的重要参数为中间簧片厚度t、宽度w和接地板高度b、宽度w′。其相关尺寸关系计算时参照矩形同轴线特性,见表1。
表1 矩形同轴线特性

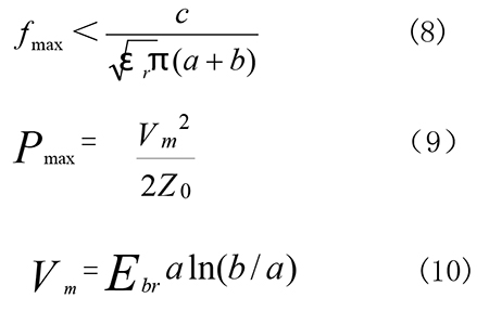
射频输入输出端口均为N型同轴连接器,是圆形同轴传输线,截面见图7,其设计主要是根据同轴传输线理论相关公式(7)、(8)、(9)(10)确定内外导体尺寸。

图7 圆形同轴传输线截面图
同轴线的特性阻抗Zc为:

式(7)中:Z0为特性阻抗,50Ω;εr为内外导体间介质材料的相对介电常数;μγ为介质相对导磁系数,b为外导体内半径,mm;a为内导体外半径,mm。

式(8)、(9)、(10)、中:为同轴线传输的最高频率;为同轴线最大传输功率;Vm为同轴线行波峰值电压;c为光速3×108米/秒,;Z0为特性阻抗;Ebr为介质击穿场强。
由式(7),当特性阻抗Z0一定时, b/a是定值,由式(8),a、b增加时,截止频率降低,由(9)、(10),a、b增加,最大传输功率也增加。由于射频同轴继电器随着工作频率的下降,其传输功率上升,所以,其截止频率不宜设计过高,而应略高于其最高工作频率,这是保证产品较大功率的重要方法,即在满足产品最高工作频率时,为提高功率,应尽量加大b和a的尺寸。
在初步确定相关尺寸后,进行建模,见图8,采用HFSS软件对射频传输线进行电场仿真验证,射频输入端口输入350W@8GHz功率信号,电场分布图见图9。

图8射频传输线模型

图9射频传输线电场仿真模型
该产品中间簧片与接地板最小距离为1.5mm,空气击穿场强约为4.5×106V/m,通过仿真得到的射频传输线最大场强为4.6672×105V/m,完全满足设计要求,并且产品已经多次通过了耐功率试验验证。
三、结论
根据机载产品的特殊要求,通过封闭式结构及上下放置结构设计、提高了产品耐环境适应性及抗电磁干扰性能。TTL自关断电路设计、自保持结构设计降低产品驱动电流及功耗,“平衡旋转式”电磁系统设计,提高了抗冲击、振动性能,采用射频大功率设计技术提高了产品射频功率传输能力。目前该产品通过鉴定试验,性能指标完全达到了机载要求,性能稳定并得到了广泛应用。
射频 继电器 电流 电路 连接器 电压 电子 PCB 电容 电阻 仿真 相关文章:
- 基于nRF2401智能小区无线抄表系统集中器设计(04-30)
- 基于nRF2401智能无线火灾监控系统设计(04-01)
- 家居安防无线监控报警系统(04-02)
- 什么是原子钟(07-04)
- 基于nRF905智能小区照明控制系统设计(08-20)
- 航天飞机将退出历史舞台,专家讲解原因(11-09)
