UTA6905在超声波电子式水表中的应用
时间:07-13
来源:互联网
点击:
作者: 冉建辉
1. 概述
电子式水表,也称智能水表,是指具备预付费功能或远传功能的水表,它是微电子技术、现代传感技术和智能IC卡技术结合的产物,在数据传递及交易结算方面,电子式水表比传统水表在抄表方式和数据统计方面都有很大优势,电子式水表应符合国家GB/T778-2007《封闭满管道中水流量的测量 饮用冷水水表和热水水表》和住建部CJ/T224-2012《电子远传水表》的技术要求。所谓超声波电子式水表是指该类电子水表的流量计量采用超声波技术方案,和传统基于叶轮旋转的机械式流量采集方案相比,超声波水表具备机械结构简单,计量过程无压力损耗,流量采集精度受水质影响小,量程宽的优点。对于家用小口径表,目前国外品牌的超声波水表精度和价格都比较高,国内的研发虽然初级阶段,但可以观察到近一两年来主流水表厂商的研发力度不断加大,已经有产品推出市场,随着阶梯水价的实施以及国家对物联网的深入推广,超声波电子式水表将迎来广阔的市场前景。
在现有超声波水表技术方案中,大体包含噪声法、相关法和传播速度差法三种,基于精度、功耗、可实现性方面的考虑,速度差法是目前较为成熟的一种方式,随着微电子技术的不断进步,一系列可用于超声波水表的专用芯片不断推出,例如ACAM公司的GP22,ICCI公司的UTA6903B等。ICCI于2014年推出了一款超声波流量计量芯片UTA6905,具备更高的测量精度和稳定性,本文将详细介绍UTA6905在超声波电子式水表中的应用。
2. 超声波流量测量原理
采用超声波进行流量测量的基本原理是利用超声波在顺逆流流体中的传播时差,推算出流体的速度,再根据面积积分法推算出当前的瞬时流量,对瞬时流量进行积分计算出累积流量,计算过程中还需要考虑温度对声速的影响等。
图1:超声波流量测量原理
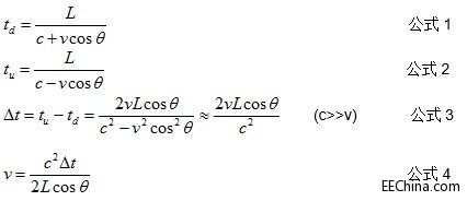
图1所示,管道上安装有一对换能器:顺流换能器和逆流换能器,管道直径为D,超声波声程为L,顺流传播时间为tu,逆流传播时间为td,超声波传播防线与流体方向夹角为θ,根据速度的叠加原理,在水流速度v的作用下,超声波顺流传播时间要比逆流传播时间短,其时间差可以计算出来。
公式4得到的速度v是沿声道方向的线平均速度,由于流体的流速沿管道直径的不均匀分布,线平均速度v并不等于实际的流速,需要乘上流速分布修正系数k,才能得到截面的平均流速,再乘以管道的截面积,得到瞬时流量Q。
图2:超声波在纯水中的传播速度与温度的关系
从公式4看,流体流速v是声速c和传播时差△t的函数,因为超声波在水中的传播速度c是一个随温度变化的值,如图2所示。所以在超声波水表中,除了对顺逆流传播时差△t进行测量,还需要对流体温度进行测量,通过查表得到当前温度下的超声波传播速度c。
在公式5中,流速分布修正系数k代表管道内流体的面平均速度与超声波水表测量到的线平均速的的比值,k的取值与雷诺系数Re有关,但关系复杂,在整个流量范围内呈现明显的非线性特点,主要原因在于随着流速由慢至快,流体会经过层流、过渡流和紊流的不同区域,各个区域呈现不同的流速分布,实际中常采用拟合直线方程的方式[3]对k值进行分段校正,将测量误差降低至标准之内,这个过程一般在产品量产的校表环节进行。
3. 基于UTA6905的超声波水表流量采集方案
3.1. UTA6905芯片简介
UTA6905是一款超声波流量表和超声波热量表的专用芯片,其内部结构如图3所示,集成了相位差测量单元、温度测量单元、脉冲发生器等设计超声波电子式水表必需功能,芯片采用了先进的时间数字转换技术,对时差的测量分辨率可达32ps,温度测量单元分辨率高达0.002℃;此外芯片还集成了第一波检测、换能器回波振幅检测、换能器断线检测等额外功能,使水表可以完成部分自诊断功能,智能化水平得以提高。
图3:UTA6905内部结构图
UTA6905采用QFN32或LQFP32两种封装;芯片采用SPI口与外部MCU进行通信,内部包含4个32位的配置寄存器、4个32位的结果寄存器以及1个32位的状态寄存器;UTA6905还包含一个低电平有效的中断引脚INTN,可用于在测量结束后唤醒外部MCU;比较器和时间测量单元等功耗比较大的元件只有在工作时才开启,在应用中大部分时间处于休眠状态,静态电流低至纳安级别,适用于电池供电场合,UTA6905的详细资料可以参考其数据手册[1],不再赘述。
3.2. 基于UTA6905的电子水表流量采集方案
采用UTA6905设计的超声波电子式水表方案框图如图4所示,给出了详细的流量采集相关的外围电路:时钟部分包括一个32768HZ的晶体振荡器和一个4MHz的陶瓷振荡器,相位差测量电路需要一对谐振频率1MHz的超声波换能器和一对由电阻电容构成的信号通路,温度测量电路需要一只PT1000热电阻、一只低温漂(50ppm)的1K欧姆电阻和一只100nF充放电电容,主控芯片选择了一款低功耗的MSP430系列MCU,通过IO口连接UTA6905的SPI引脚和中断引脚;此外还包括电源稳压电路、LCD显示电路,通信方面可支持红外、MBUS等功能,以实现无线抄表或数据的远传。
图4:UTA6905流量采集方案
顺流回波与逆流回波在两次方向相反的收发过程中先后出现的,因此无法直接测量两次回波的相位差脉冲,UTA6905利用相差法原理是通过分别测量顺逆流回波相对于同一个参考信号的相位差,间接推算出顺逆流回波的相位差,最后得到的相位差和时间差实际上是一致的,UTA6905与目前主流的时差法芯片另一个重要区别在于它可以在一次顺逆流测量流程中记录多达31个回波的相位差并进行自动积分运算,起到了提高精度的作用,而其他的时差法芯片例如GP22等在一次顺逆游测量中最多记录3个脉冲的传播时间,实际测试也证实了UTA6905测量的精度和稳定性都有明显的提高。
UTA6905要求选定振幅稳定的回波进行相差测量,测量前首先根据第一波检测功能确定第一波的到达时间,实测值约为59μs,根据示波器观察,所选换能器在第14个回波的振幅达到稳定值,因此将第一波的回波时间加上13.5μs,作为回波的延时屏蔽,之后再进行相差的测量,UTA6905第一波检测和相位差测量的流程分别如图5和图6所示。
图5:第一波检测流程图
图6:相位差测量及时差计算流程图
图7:温度测量流程图
UTA6905进行温度测量的流程如图7所示,外部MCU在配置好寄存器之后发送start_temp命令,中断信号有效后从结果寄存器读数即可,如果温度传感器发生了开路或短路故障,UTA6905状态寄存器的相应标志会生效,软件可以根据状态值发出报警。国标规定冷水表的介质温度范围在0-30℃,为节省MCU存储空间,对应电阻值到温度的查找表只需要满足该温度范围即可。
1. 概述
电子式水表,也称智能水表,是指具备预付费功能或远传功能的水表,它是微电子技术、现代传感技术和智能IC卡技术结合的产物,在数据传递及交易结算方面,电子式水表比传统水表在抄表方式和数据统计方面都有很大优势,电子式水表应符合国家GB/T778-2007《封闭满管道中水流量的测量 饮用冷水水表和热水水表》和住建部CJ/T224-2012《电子远传水表》的技术要求。所谓超声波电子式水表是指该类电子水表的流量计量采用超声波技术方案,和传统基于叶轮旋转的机械式流量采集方案相比,超声波水表具备机械结构简单,计量过程无压力损耗,流量采集精度受水质影响小,量程宽的优点。对于家用小口径表,目前国外品牌的超声波水表精度和价格都比较高,国内的研发虽然初级阶段,但可以观察到近一两年来主流水表厂商的研发力度不断加大,已经有产品推出市场,随着阶梯水价的实施以及国家对物联网的深入推广,超声波电子式水表将迎来广阔的市场前景。
在现有超声波水表技术方案中,大体包含噪声法、相关法和传播速度差法三种,基于精度、功耗、可实现性方面的考虑,速度差法是目前较为成熟的一种方式,随着微电子技术的不断进步,一系列可用于超声波水表的专用芯片不断推出,例如ACAM公司的GP22,ICCI公司的UTA6903B等。ICCI于2014年推出了一款超声波流量计量芯片UTA6905,具备更高的测量精度和稳定性,本文将详细介绍UTA6905在超声波电子式水表中的应用。
2. 超声波流量测量原理
采用超声波进行流量测量的基本原理是利用超声波在顺逆流流体中的传播时差,推算出流体的速度,再根据面积积分法推算出当前的瞬时流量,对瞬时流量进行积分计算出累积流量,计算过程中还需要考虑温度对声速的影响等。
图1:超声波流量测量原理
图1所示,管道上安装有一对换能器:顺流换能器和逆流换能器,管道直径为D,超声波声程为L,顺流传播时间为tu,逆流传播时间为td,超声波传播防线与流体方向夹角为θ,根据速度的叠加原理,在水流速度v的作用下,超声波顺流传播时间要比逆流传播时间短,其时间差可以计算出来。
公式4得到的速度v是沿声道方向的线平均速度,由于流体的流速沿管道直径的不均匀分布,线平均速度v并不等于实际的流速,需要乘上流速分布修正系数k,才能得到截面的平均流速,再乘以管道的截面积,得到瞬时流量Q。
图2:超声波在纯水中的传播速度与温度的关系
从公式4看,流体流速v是声速c和传播时差△t的函数,因为超声波在水中的传播速度c是一个随温度变化的值,如图2所示。所以在超声波水表中,除了对顺逆流传播时差△t进行测量,还需要对流体温度进行测量,通过查表得到当前温度下的超声波传播速度c。
在公式5中,流速分布修正系数k代表管道内流体的面平均速度与超声波水表测量到的线平均速的的比值,k的取值与雷诺系数Re有关,但关系复杂,在整个流量范围内呈现明显的非线性特点,主要原因在于随着流速由慢至快,流体会经过层流、过渡流和紊流的不同区域,各个区域呈现不同的流速分布,实际中常采用拟合直线方程的方式[3]对k值进行分段校正,将测量误差降低至标准之内,这个过程一般在产品量产的校表环节进行。
3. 基于UTA6905的超声波水表流量采集方案
3.1. UTA6905芯片简介
UTA6905是一款超声波流量表和超声波热量表的专用芯片,其内部结构如图3所示,集成了相位差测量单元、温度测量单元、脉冲发生器等设计超声波电子式水表必需功能,芯片采用了先进的时间数字转换技术,对时差的测量分辨率可达32ps,温度测量单元分辨率高达0.002℃;此外芯片还集成了第一波检测、换能器回波振幅检测、换能器断线检测等额外功能,使水表可以完成部分自诊断功能,智能化水平得以提高。
图3:UTA6905内部结构图
UTA6905采用QFN32或LQFP32两种封装;芯片采用SPI口与外部MCU进行通信,内部包含4个32位的配置寄存器、4个32位的结果寄存器以及1个32位的状态寄存器;UTA6905还包含一个低电平有效的中断引脚INTN,可用于在测量结束后唤醒外部MCU;比较器和时间测量单元等功耗比较大的元件只有在工作时才开启,在应用中大部分时间处于休眠状态,静态电流低至纳安级别,适用于电池供电场合,UTA6905的详细资料可以参考其数据手册[1],不再赘述。
3.2. 基于UTA6905的电子水表流量采集方案
采用UTA6905设计的超声波电子式水表方案框图如图4所示,给出了详细的流量采集相关的外围电路:时钟部分包括一个32768HZ的晶体振荡器和一个4MHz的陶瓷振荡器,相位差测量电路需要一对谐振频率1MHz的超声波换能器和一对由电阻电容构成的信号通路,温度测量电路需要一只PT1000热电阻、一只低温漂(50ppm)的1K欧姆电阻和一只100nF充放电电容,主控芯片选择了一款低功耗的MSP430系列MCU,通过IO口连接UTA6905的SPI引脚和中断引脚;此外还包括电源稳压电路、LCD显示电路,通信方面可支持红外、MBUS等功能,以实现无线抄表或数据的远传。
图4:UTA6905流量采集方案
顺流回波与逆流回波在两次方向相反的收发过程中先后出现的,因此无法直接测量两次回波的相位差脉冲,UTA6905利用相差法原理是通过分别测量顺逆流回波相对于同一个参考信号的相位差,间接推算出顺逆流回波的相位差,最后得到的相位差和时间差实际上是一致的,UTA6905与目前主流的时差法芯片另一个重要区别在于它可以在一次顺逆流测量流程中记录多达31个回波的相位差并进行自动积分运算,起到了提高精度的作用,而其他的时差法芯片例如GP22等在一次顺逆游测量中最多记录3个脉冲的传播时间,实际测试也证实了UTA6905测量的精度和稳定性都有明显的提高。
UTA6905要求选定振幅稳定的回波进行相差测量,测量前首先根据第一波检测功能确定第一波的到达时间,实测值约为59μs,根据示波器观察,所选换能器在第14个回波的振幅达到稳定值,因此将第一波的回波时间加上13.5μs,作为回波的延时屏蔽,之后再进行相差的测量,UTA6905第一波检测和相位差测量的流程分别如图5和图6所示。
图5:第一波检测流程图
图6:相位差测量及时差计算流程图
图7:温度测量流程图
UTA6905进行温度测量的流程如图7所示,外部MCU在配置好寄存器之后发送start_temp命令,中断信号有效后从结果寄存器读数即可,如果温度传感器发生了开路或短路故障,UTA6905状态寄存器的相应标志会生效,软件可以根据状态值发出报警。国标规定冷水表的介质温度范围在0-30℃,为节省MCU存储空间,对应电阻值到温度的查找表只需要满足该温度范围即可。
电子 物联网 MCU 比较器 电流 电路 振荡器 电阻 电容 MSP430 LCD 红外 示波器 传感器 相关文章:
- 一种新型防伪读码器的设计(01-01)
- 基于ARM与DSP的嵌入式运动控制器设计(04-25)
- 航天器DC/DC变换器的可靠性设计(02-12)
- 我国科学家人脸与笔迹识别领域获突破(04-29)
- 基于ARM核的AT75C220及其在指纹识别系统中的应用(05-24)
- 基于nRF2401智能小区无线抄表系统集中器设计(04-30)
