热插拔电路的TVS钳位
时间:11-04
来源:互联网
点击:
TVS Clamping in Hot-Swap Circuits
■ 美国国家半导体公司电力产品部 Timothy Hegarty
本文探讨了在线卡输入端使用TVS二极管钳位的理由。作者利用典型系统的实验测量得出的瞬态电压波形为基础研究提供了关键参数,并介绍了选择系统保护元件的主要步骤。
热插拔电路保护
下一代高性能刀片服务器、数据中心、存储和通信基础设施系统使用的电源系统让人们感觉到一种需求——对速度的需求!具体来说,不断提高的处理器时钟速率和数据吞吐量的长期趋势显而易见。除非全球对高带宽数据的贪婪需求有所改变,这种趋势很可能一直继续下去。不幸的是,这些系统所消耗的功率高得惊人,而冷却这些系统的成本又在迅速攀升。因此,重点在于系统和设施级别的能源监测和节能。此外,当务之急是必须了解系统背板、线卡连接器以及线卡本身的电气应力,以确保最高的可靠性并保持这些系统的连续正常运行时间。
为此,热插拔控制器曾被断言是为分布式电源系统提供非常可行的系统保护和电气管理的首选方法,特别是可以满足服务器市场的严格要求。这类应用的热插拔控制器的特点一般包括:带电板插入和拔出的安全控制(浪涌电流控制)、故障监测诊断和保护、精确的电气(电压、电流、功率)和环境(温度)参数测量,以提供模拟或数字域的实时系统遥测。特别是,如果一个服务器机架上的一个线卡发生故障,该故障应与该特定线卡相隔离,这样既不影响系统背板,也不影响由带电背板供电的其他线卡。通常情况下,热插拔控制器连接到以下器件:
• 与电源路径串联、用于启动开/关功能的通路MOSFET
• 检测电流的低阻值分流器
图1显示了一个典型服务器系统的线卡接口和热插拔电路原理图,它代表了随后讨论中的模板。我们在此并不讨论边缘卡到背板连接器和热插拔电路下游元件的详细描述。图1所示的热插拔控制器是专门为服务器和数据中心应用的电源而优化的。
图1 典型的热插拔电路配置
热插拔断路器故障
从本质上讲,当检测到故障和电流中断期间的电流转换率可能达到100A/μs或以上时,图1中的通路MOSFET Q1将迅速被热插拔控制器关闭。不过,输入功率路径的电源轨总线结构难免出现寄生电感(与电源母线的长度和固有环路面积有关)。储存在该电感的能量将转移到电路中的其他元件,以产生过压动态行为。该动态最准确地表现为从寄生电感到有效电路电容的能量共振转移,它是随电路中的固有电阻(寄生或以其他方式)提供的阻尼而出现的。这遵循了法拉第定律的典型感性负载电压过冲,它建立的一个常常被忽视的潜在损坏性电压瞬变仍会在系统上危及热插拔MOSFET、热插拔控制器和下游电路的可靠性。
由于在检测到故障之前允许建立起尽可能高的电流,图1中电路的输出两端直接拉低的零阻抗短路尤其麻烦。在短路故障响应时间之后,通路MOSFET最终是由“断路器”故障条件下的热插拔控制器命令关闭的,同时正向电流迅速被中断。
我们总需要一个电压钳位来限制过压幅值。当MOSFET关断时,寄生能量必须倒入钳位电路。非钳位的过压峰值近似值可以用下式计算:
式中IP是电路中断之前的输入电流,ZO是等效LC电路的特性阻抗。可以这样说,虽然本地输入旁路电容Cin因可降低ZO而有一定好处,但它通常不利于电容器的可靠性,因为实际上很少有电流脉冲对插入/热插拔卡上的Cin充电。由于电容器的位置在热插拔电路之前,因此它所代表的是对系统级可靠性的关注,且通常未被安装。
热插拔系统的TVS二极管
为了防止在这些条件下损坏脆弱的下游元件,分流保护配置中从VIN至GND处连接了响应速度快的单向TVS(瞬态电压抑制)硅二极管,如图1所示。TVS二极管类似于齐纳二极管,但优化了片芯元件(die element)面积和键合(bonding),可应付在雪崩击穿(ABD)期间出现的大浪涌电流和峰值功耗。这些器件的电气测试和筛选因目标应用的差别而不同。
在热插拔应用中,TVS主要用作需要被中断的差模电流的接地分流路径。
这类热插拔应用中的边界限制TVS由下列参数驱动:
• 电气特性
- 独立的关断电压VR(等于或高于直流或连续工作电压峰值水平);
- 峰值脉冲功率PPP(与有源p-n结面积有关);
- 所承受峰值脉冲电流IP(断路器故障)的钳位电压VC(max);
- 影响所需电压开销的锐度I–V曲线;
• 机械特性
- 有限的可用PC板面积;
- 元件的外形尺寸(面积和高度)规格;
- 热和散热性能;
• 成本
由Littelfuse带来的适合保护图1所示电路的TVS相关参数列于表1。这个TVS的分段线性近似I-V特性曲线,如图2所示。反向击穿电压VBR和切断电压VR分别决定哪一个TVS器件开启和关闭(导通状态和高阻抗)。钳位电压VC(max)与额定峰值脉冲电流IPP的乘积等于标称TVS额定功率。电路脉冲电流的幅值IP的实际钳位电压由公式(2)给出。
等式括号中的量是ABD期间的TVS动态阻抗Rd。请注意,较高额定功率的TVS将为给定VC(max)提供较高的IPP,并将因此得到较低的动态阻抗。所以,如果需要更陡峭的下降(sharper knee),比较有利的方法是完全基于峰值功率规格选择一个比通常所需值更大的TVS。特别相关的TVS品质因数(FOM)是钳位因数CF=VC(max)/VBR,以及电压钳位比VC(max)/VR。
图2 TVS线性化I-V特性曲线(单向TVS,阴极端子定义为阳性)
* VR = 90% VBR(min)。VBR(min)≈ 90% VBR(max)。
** VC(max)通常为145% VBR(min)。
*** PPP额定值的规定条件是TA=25℃,而在0.01%占空比重复率条件下,随10/1000μs参考波形从25℃至150℃线性下降。
表1:热插拔电路TVS元件的规格和细节(Littelfuse5.0SMDJ15A)
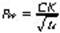
典型双指数10/1000μs测试波形(10μs为波前时间(front time),1000μs为半峰值下降时间)与TVS PPP额定值通常是根据上世纪60年代末贝尔实验室规范规定的。该脉冲是一个非重复性单脉冲(one-shot)事件,或者在最坏情况下随非常低的占空比(如0.01%)进行重复,这样片芯的热平衡时间常数可以使片芯在下一个脉冲到来之前冷却回到环境温度。10/1000μs参考以外的脉冲持续时间规格可以使用PPP与td的曲线得出,实例如图3(a)所示。这是公认的典型Wunsch-Bell双对数图 ,其中脉冲持续时间长达约1毫秒,PPP和td的相互关系由公式(3)得出。正如预期的那样,TVS可以在较短脉冲宽度维持较高的峰值功率水平。
C是与TVS大小相关的一个比例常数。在ABD期间PPP和IPP通常与TVS片芯结点大小成正比,所以不同PPP额定值的器件通常会沿功率轴垂直增加,同时保留与如图3(a)相同的负斜率。系数K取决于电流波形的形状,且基于能量e,见公式(4);系数K或取决于整个脉冲持续时间的电流波形面积。三角、双指数,以及半正弦波波脉冲的K系数分别为方波脉冲的2、1.5和1.33倍。因此,三角波电流的TVS具有比数据表引用的10/1000μs波形放大了1.33倍的PPP与td关系曲线。
在热插拔电路中实现的TVS电流下降到零的时间tp由电路寄生电感L控制的,如公式(5)所示。由于电流衰减是线性的,电流波形为三角形,由公式(6)给出。
图3(b)所示的是随环境温度增加的PPP热降额。重要的是要牢记,PCB到(表面贴装)TVS的焊接主要起散热作用。因此,TVS可以采用覆铜多边形、平面和散热通孔,这些都已于主板PCB层堆叠时提供,可改善其热特性。不过,如果在重复脉冲钳位过程中存在稳态功耗,板级热设计就变得很重要了。当发生故障时,热插拔控制器设计应该通过锁断来减少热量,或通过在重试被启动可提供足够打嗝时间的情况下来做到这一点。
TVS的选择程序
热插拔电路应用的TVS的明智选择可从以下几个方面(迭代)获得:
1. 用切断电压VR选择单向TVS,该电压等于或大于直流或连续峰值工作母线电压水平。14V或15V TVS适合低阻抗12VDC±10%的服务器系统输入总线。
2. 根据热插拔控制器断路器阈值电压、响应时间和所选分流电阻器来确定峰值脉冲电流水平IP。
3. 利用公式(2)、由第2步和相关数据表参数给定的IP水平来计算电路钳位电压VC。VC是否足够低?如果不是,另一种方法是使用一个较大的TVS,以获得较陡峭的下降。请注意,VC的电压温度系数与VBR类似(例如在75℃的工作环境条件下,0.1%/℃意味着该系数增加了5%)。
4. 计算出VC和IP的乘积,以获得由TVS维持的实际峰值功率水平。
5. 利用公式(5)和已知的输入寄生电感来确定三角脉冲波形的脉冲持续时间td(即衰减到零的时间)。
6. 使用类似图3(a)曲线的第5步脉冲持续时间降额PPP。如前所述,三角脉冲电流波形可以实现比双指数参考波形曲线高33%的脉冲功率。
7. 使用类似图3(b)曲线的环境温度降额PPP。同时应该考虑相邻元件的相互热效应。
图3 Littelfuse 5.0SMDJ15A TVS(a)峰值脉冲功率与脉冲持续时间,(b)热降额特性
8. 第7步的净降额PPP是否实现了由第4步计算的实际TVS峰值功率的足够设计余量(至少50%)?如果没有,选择一个较大的TVS并重复1-8步骤。
实验结果
现在让我们来使用捕获的定量信息,并考虑基于输入电压范围为12V±10%的LM25066热插拔控制器评估板的可行实施方法。从前面的讨论得知, 高电流变化率在输入路径的寄生感抗中产生一个可能导致潜在破坏的瞬态尖峰,这个尖峰在LM25066关断旁路MOSFET时刻叠加在VIN和SENSE引脚之间。15V Littelfuse TVS 5.0SMDJ15A应尽可能靠近IC连接在输入两端。25V MOSFET的雪崩额定值处在较高电压水平。利用0.5mΩ分流电阻,LM25066可在50A条件下提供有功电流限制(25mV电流限制阈值电压),以及90A条件下的快速动作电路断路器功能(45mV断路器阈值电压)。断路器故障(输出短路)期间的相关电流和电压波形如图4的示波器波形所示。
图4 输出短路引起的热插拔断路器故障的示波器波形
在短路故障条件下,随着来自其45A初始稳态水平输入电流的增加,电源轨阻抗引起输入电压(见褐色电压轨迹)下跌。当输入电流达到90A时,通路MOSFET关断(见绿色电流轨迹)。在这个瞬间,由于一些寄生引线电感会出现输入电压初始尖峰,但很快就在约18V时被TVS钳位了。由于TVS的动态阻抗,随着TVS电流降至接近零,钳位电压略有降低。TVS电流下降到零所需的时间为11μs,而这是为TVS选择的脉冲持续时间td。从公式(5)得出的电流摆率和18V的钳位电压表明,串联寄生电感约为1.1μH,因此其在90A储存的峰值能量是8.9mJ(兆焦耳)。这个能量也相当于图4中TVS瞬时功率波形的面积。
虽然每个热插拔应用中不一定必需,但TVS应该是高电流系统中考虑的基本电路元件,这样才能提高瞬态电路故障期间的耐用性和可靠性。
■ 美国国家半导体公司电力产品部 Timothy Hegarty
本文探讨了在线卡输入端使用TVS二极管钳位的理由。作者利用典型系统的实验测量得出的瞬态电压波形为基础研究提供了关键参数,并介绍了选择系统保护元件的主要步骤。
热插拔电路保护
下一代高性能刀片服务器、数据中心、存储和通信基础设施系统使用的电源系统让人们感觉到一种需求——对速度的需求!具体来说,不断提高的处理器时钟速率和数据吞吐量的长期趋势显而易见。除非全球对高带宽数据的贪婪需求有所改变,这种趋势很可能一直继续下去。不幸的是,这些系统所消耗的功率高得惊人,而冷却这些系统的成本又在迅速攀升。因此,重点在于系统和设施级别的能源监测和节能。此外,当务之急是必须了解系统背板、线卡连接器以及线卡本身的电气应力,以确保最高的可靠性并保持这些系统的连续正常运行时间。
为此,热插拔控制器曾被断言是为分布式电源系统提供非常可行的系统保护和电气管理的首选方法,特别是可以满足服务器市场的严格要求。这类应用的热插拔控制器的特点一般包括:带电板插入和拔出的安全控制(浪涌电流控制)、故障监测诊断和保护、精确的电气(电压、电流、功率)和环境(温度)参数测量,以提供模拟或数字域的实时系统遥测。特别是,如果一个服务器机架上的一个线卡发生故障,该故障应与该特定线卡相隔离,这样既不影响系统背板,也不影响由带电背板供电的其他线卡。通常情况下,热插拔控制器连接到以下器件:
• 与电源路径串联、用于启动开/关功能的通路MOSFET
• 检测电流的低阻值分流器
图1显示了一个典型服务器系统的线卡接口和热插拔电路原理图,它代表了随后讨论中的模板。我们在此并不讨论边缘卡到背板连接器和热插拔电路下游元件的详细描述。图1所示的热插拔控制器是专门为服务器和数据中心应用的电源而优化的。
图1 典型的热插拔电路配置
热插拔断路器故障
从本质上讲,当检测到故障和电流中断期间的电流转换率可能达到100A/μs或以上时,图1中的通路MOSFET Q1将迅速被热插拔控制器关闭。不过,输入功率路径的电源轨总线结构难免出现寄生电感(与电源母线的长度和固有环路面积有关)。储存在该电感的能量将转移到电路中的其他元件,以产生过压动态行为。该动态最准确地表现为从寄生电感到有效电路电容的能量共振转移,它是随电路中的固有电阻(寄生或以其他方式)提供的阻尼而出现的。这遵循了法拉第定律的典型感性负载电压过冲,它建立的一个常常被忽视的潜在损坏性电压瞬变仍会在系统上危及热插拔MOSFET、热插拔控制器和下游电路的可靠性。
由于在检测到故障之前允许建立起尽可能高的电流,图1中电路的输出两端直接拉低的零阻抗短路尤其麻烦。在短路故障响应时间之后,通路MOSFET最终是由“断路器”故障条件下的热插拔控制器命令关闭的,同时正向电流迅速被中断。
我们总需要一个电压钳位来限制过压幅值。当MOSFET关断时,寄生能量必须倒入钳位电路。非钳位的过压峰值近似值可以用下式计算:
式中IP是电路中断之前的输入电流,ZO是等效LC电路的特性阻抗。可以这样说,虽然本地输入旁路电容Cin因可降低ZO而有一定好处,但它通常不利于电容器的可靠性,因为实际上很少有电流脉冲对插入/热插拔卡上的Cin充电。由于电容器的位置在热插拔电路之前,因此它所代表的是对系统级可靠性的关注,且通常未被安装。
热插拔系统的TVS二极管
为了防止在这些条件下损坏脆弱的下游元件,分流保护配置中从VIN至GND处连接了响应速度快的单向TVS(瞬态电压抑制)硅二极管,如图1所示。TVS二极管类似于齐纳二极管,但优化了片芯元件(die element)面积和键合(bonding),可应付在雪崩击穿(ABD)期间出现的大浪涌电流和峰值功耗。这些器件的电气测试和筛选因目标应用的差别而不同。
在热插拔应用中,TVS主要用作需要被中断的差模电流的接地分流路径。
这类热插拔应用中的边界限制TVS由下列参数驱动:
• 电气特性
- 独立的关断电压VR(等于或高于直流或连续工作电压峰值水平);
- 峰值脉冲功率PPP(与有源p-n结面积有关);
- 所承受峰值脉冲电流IP(断路器故障)的钳位电压VC(max);
- 影响所需电压开销的锐度I–V曲线;
• 机械特性
- 有限的可用PC板面积;
- 元件的外形尺寸(面积和高度)规格;
- 热和散热性能;
• 成本
由Littelfuse带来的适合保护图1所示电路的TVS相关参数列于表1。这个TVS的分段线性近似I-V特性曲线,如图2所示。反向击穿电压VBR和切断电压VR分别决定哪一个TVS器件开启和关闭(导通状态和高阻抗)。钳位电压VC(max)与额定峰值脉冲电流IPP的乘积等于标称TVS额定功率。电路脉冲电流的幅值IP的实际钳位电压由公式(2)给出。
等式括号中的量是ABD期间的TVS动态阻抗Rd。请注意,较高额定功率的TVS将为给定VC(max)提供较高的IPP,并将因此得到较低的动态阻抗。所以,如果需要更陡峭的下降(sharper knee),比较有利的方法是完全基于峰值功率规格选择一个比通常所需值更大的TVS。特别相关的TVS品质因数(FOM)是钳位因数CF=VC(max)/VBR,以及电压钳位比VC(max)/VR。
图2 TVS线性化I-V特性曲线(单向TVS,阴极端子定义为阳性)
* VR = 90% VBR(min)。VBR(min)≈ 90% VBR(max)。
** VC(max)通常为145% VBR(min)。
*** PPP额定值的规定条件是TA=25℃,而在0.01%占空比重复率条件下,随10/1000μs参考波形从25℃至150℃线性下降。
表1:热插拔电路TVS元件的规格和细节(Littelfuse5.0SMDJ15A)
典型双指数10/1000μs测试波形(10μs为波前时间(front time),1000μs为半峰值下降时间)与TVS PPP额定值通常是根据上世纪60年代末贝尔实验室规范规定的。该脉冲是一个非重复性单脉冲(one-shot)事件,或者在最坏情况下随非常低的占空比(如0.01%)进行重复,这样片芯的热平衡时间常数可以使片芯在下一个脉冲到来之前冷却回到环境温度。10/1000μs参考以外的脉冲持续时间规格可以使用PPP与td的曲线得出,实例如图3(a)所示。这是公认的典型Wunsch-Bell双对数图 ,其中脉冲持续时间长达约1毫秒,PPP和td的相互关系由公式(3)得出。正如预期的那样,TVS可以在较短脉冲宽度维持较高的峰值功率水平。
C是与TVS大小相关的一个比例常数。在ABD期间PPP和IPP通常与TVS片芯结点大小成正比,所以不同PPP额定值的器件通常会沿功率轴垂直增加,同时保留与如图3(a)相同的负斜率。系数K取决于电流波形的形状,且基于能量e,见公式(4);系数K或取决于整个脉冲持续时间的电流波形面积。三角、双指数,以及半正弦波波脉冲的K系数分别为方波脉冲的2、1.5和1.33倍。因此,三角波电流的TVS具有比数据表引用的10/1000μs波形放大了1.33倍的PPP与td关系曲线。
在热插拔电路中实现的TVS电流下降到零的时间tp由电路寄生电感L控制的,如公式(5)所示。由于电流衰减是线性的,电流波形为三角形,由公式(6)给出。
图3(b)所示的是随环境温度增加的PPP热降额。重要的是要牢记,PCB到(表面贴装)TVS的焊接主要起散热作用。因此,TVS可以采用覆铜多边形、平面和散热通孔,这些都已于主板PCB层堆叠时提供,可改善其热特性。不过,如果在重复脉冲钳位过程中存在稳态功耗,板级热设计就变得很重要了。当发生故障时,热插拔控制器设计应该通过锁断来减少热量,或通过在重试被启动可提供足够打嗝时间的情况下来做到这一点。
TVS的选择程序
热插拔电路应用的TVS的明智选择可从以下几个方面(迭代)获得:
1. 用切断电压VR选择单向TVS,该电压等于或大于直流或连续峰值工作母线电压水平。14V或15V TVS适合低阻抗12VDC±10%的服务器系统输入总线。
2. 根据热插拔控制器断路器阈值电压、响应时间和所选分流电阻器来确定峰值脉冲电流水平IP。
3. 利用公式(2)、由第2步和相关数据表参数给定的IP水平来计算电路钳位电压VC。VC是否足够低?如果不是,另一种方法是使用一个较大的TVS,以获得较陡峭的下降。请注意,VC的电压温度系数与VBR类似(例如在75℃的工作环境条件下,0.1%/℃意味着该系数增加了5%)。
4. 计算出VC和IP的乘积,以获得由TVS维持的实际峰值功率水平。
5. 利用公式(5)和已知的输入寄生电感来确定三角脉冲波形的脉冲持续时间td(即衰减到零的时间)。
6. 使用类似图3(a)曲线的第5步脉冲持续时间降额PPP。如前所述,三角脉冲电流波形可以实现比双指数参考波形曲线高33%的脉冲功率。
7. 使用类似图3(b)曲线的环境温度降额PPP。同时应该考虑相邻元件的相互热效应。
图3 Littelfuse 5.0SMDJ15A TVS(a)峰值脉冲功率与脉冲持续时间,(b)热降额特性
8. 第7步的净降额PPP是否实现了由第4步计算的实际TVS峰值功率的足够设计余量(至少50%)?如果没有,选择一个较大的TVS并重复1-8步骤。
实验结果
现在让我们来使用捕获的定量信息,并考虑基于输入电压范围为12V±10%的LM25066热插拔控制器评估板的可行实施方法。从前面的讨论得知, 高电流变化率在输入路径的寄生感抗中产生一个可能导致潜在破坏的瞬态尖峰,这个尖峰在LM25066关断旁路MOSFET时刻叠加在VIN和SENSE引脚之间。15V Littelfuse TVS 5.0SMDJ15A应尽可能靠近IC连接在输入两端。25V MOSFET的雪崩额定值处在较高电压水平。利用0.5mΩ分流电阻,LM25066可在50A条件下提供有功电流限制(25mV电流限制阈值电压),以及90A条件下的快速动作电路断路器功能(45mV断路器阈值电压)。断路器故障(输出短路)期间的相关电流和电压波形如图4的示波器波形所示。
图4 输出短路引起的热插拔断路器故障的示波器波形
在短路故障条件下,随着来自其45A初始稳态水平输入电流的增加,电源轨阻抗引起输入电压(见褐色电压轨迹)下跌。当输入电流达到90A时,通路MOSFET关断(见绿色电流轨迹)。在这个瞬间,由于一些寄生引线电感会出现输入电压初始尖峰,但很快就在约18V时被TVS钳位了。由于TVS的动态阻抗,随着TVS电流降至接近零,钳位电压略有降低。TVS电流下降到零所需的时间为11μs,而这是为TVS选择的脉冲持续时间td。从公式(5)得出的电流摆率和18V的钳位电压表明,串联寄生电感约为1.1μH,因此其在90A储存的峰值能量是8.9mJ(兆焦耳)。这个能量也相当于图4中TVS瞬时功率波形的面积。
虽然每个热插拔应用中不一定必需,但TVS应该是高电流系统中考虑的基本电路元件,这样才能提高瞬态电路故障期间的耐用性和可靠性。
半导体 二极管 电压 电路 连接器 电流 MOSFET 总线 电感 电容 电阻 电容器 PCB 示波器 相关文章:
- 航天器DC/DC变换器的可靠性设计(02-12)
- 安森美90W太阳能LED街灯高能效解决方案(05-18)
- 中国安防电子产业发展现状与展望(05-31)
- 用CMOS-NAND门控制水泵(08-10)
- 现实性分析:RFID逐步释放其潜力(06-21)
- 基于 SoPC 的震动信号采集设备设计(08-14)
