智能门禁安防报警系统的仿真应用
时间:12-31
来源:互联网
点击:
4 人脸数据库模块
人脸数据库模块的两个选项分别链接着人脸图像库中整幅人脸图像特征空间和子图像特征空间的数据,供测试时与待测人脸图像对应的特征空间进行对比识别。
将YALE人脸图像库中选定的图像进行训练后,得到人脸图像矩阵、整幅人脸图像的特征脸空间、子图像的特征脸空间等数据,存储在人脸数据库中,以备实时调用。加入新的人脸图像的类别样本时,需要重新针对所有样本图像进行训练,更新人脸数据库。
5 人脸图像识别模块
人脸图像识别模块链接着基于贝叶斯估计的分类识别方法、基于RBF网络和贝叶斯分类器融合的人脸识别方法两个选项。
6 贝叶斯估计识别模块
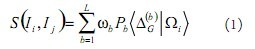
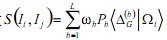
人脸图像分块后应用奇异值分解方法进行数据压缩,对每个特征分块设计一个贝叶斯分类器,最后将这些分类器融合(如图3所示)。
本文采取加权求和的方法:
其中,S(Ii,Ij)表示两幅图像Ii与Ij的相似度,L是贝叶斯分类器(FBBC)的总数,是Ii与Ij的第b个特征块之间的差值。是由第b个贝叶斯分类器计算出的类条件概率密度。wb是第b个贝叶斯分类器对应的权值。
7 RBF神经网络识别模块
RBF神经网络为三层结构(如图4所示)。
训练时:输入层的维数r与子图像的数目对应;隐含层选用高斯核函数:
实现聚类算法,其中,si为隐含层第i个神经元的宽度;输出层类别k的输出值为:
式中,w(k,i)为隐含层第i个节点与输出层第k个输出节点的连接权值。
测试时:利用贝叶斯估计的方法设置隐含层
函数和输出层
函数。
8 识别结果模块
利用贝叶斯分类器估计测试样本与训练样本之间的人脸图像相似度,满足阈值初始化设定值的人脸图像和相关类别情况的文字说明显示于相应界面内。满足阈值要求的人脸图像可以按照50%的比例输出,也可以按照其他的比例输出。
四、仿真实验结果及分析
利用在Yale人脸库中的人脸图像,分以下4种分块加权的情况进行实验(识别结果见表1和表2)。
1、b1=b3=4;b5=2;b8=2;b2=b4=b6=b7=b9=1,权值分配情况如图5所示。
如图6所示,满足阈值要求的人脸图像输出情况和必要的文字说明,图中选择的人脸图像输出比例选择为50%;也可以选择其他的人脸图像输出比例。
2、b1=b3=4;b5=3;b8=2;b2=b4=b6=b7=b9=1
3、b1=b3=4;b5=2;b8=0;b2=b4=b6=b7=b9=1
4、b1=b3=4;b5=3;b8=0;b2=b4=b6=b7=b9=1
仿真实验结果表明,通过子图像权值的分配,突出人脸骨骼特征,识别效果良好(见表1和表2),模拟了人类识别人脸时主要依据人脸骨骼等稳定特征,而对嘴部和皮肤折皱等表情变化部分特征给予弱化或剔除这一特点。通过对人脸图像进行分块,降低图像维度,减小了计算量。
五、结语
本文研究了在智能门禁报警系统中,人脸识别结合ID技术的仿真应用问题,验证了基于RBF网络和贝叶斯估计人脸识别方法在提高安防报警系统的快速、准确和安全性方面的有效性,提高了门禁系统的安全性和防欺诈性,与ID技术相结合,实现了快速识别。将分块后对人脸图像奇异值分解压缩,提高传输效率,节省存储空间,改善局域网的应用环境。在本文所研究的算法基础上,使用MATLAB语言开发了人脸图像仿真识别系统的管理操作界面,基于Yale标准人脸图像库,用户可以非常方便地对人脸图像仿真识别系统进行操作使用,对所研究的人脸识别方法进行仿真测试与对比分析,系统运行结果非常直观地显示出来。
人脸数据库模块的两个选项分别链接着人脸图像库中整幅人脸图像特征空间和子图像特征空间的数据,供测试时与待测人脸图像对应的特征空间进行对比识别。
将YALE人脸图像库中选定的图像进行训练后,得到人脸图像矩阵、整幅人脸图像的特征脸空间、子图像的特征脸空间等数据,存储在人脸数据库中,以备实时调用。加入新的人脸图像的类别样本时,需要重新针对所有样本图像进行训练,更新人脸数据库。
5 人脸图像识别模块
人脸图像识别模块链接着基于贝叶斯估计的分类识别方法、基于RBF网络和贝叶斯分类器融合的人脸识别方法两个选项。
6 贝叶斯估计识别模块
人脸图像分块后应用奇异值分解方法进行数据压缩,对每个特征分块设计一个贝叶斯分类器,最后将这些分类器融合(如图3所示)。

本文采取加权求和的方法:
其中,S(Ii,Ij)表示两幅图像Ii与Ij的相似度,L是贝叶斯分类器(FBBC)的总数,是Ii与Ij的第b个特征块之间的差值。是由第b个贝叶斯分类器计算出的类条件概率密度。wb是第b个贝叶斯分类器对应的权值。
7 RBF神经网络识别模块
RBF神经网络为三层结构(如图4所示)。

训练时:输入层的维数r与子图像的数目对应;隐含层选用高斯核函数:
实现聚类算法,其中,si为隐含层第i个神经元的宽度;输出层类别k的输出值为:

式中,w(k,i)为隐含层第i个节点与输出层第k个输出节点的连接权值。
测试时:利用贝叶斯估计的方法设置隐含层
函数和输出层
函数。
8 识别结果模块
利用贝叶斯分类器估计测试样本与训练样本之间的人脸图像相似度,满足阈值初始化设定值的人脸图像和相关类别情况的文字说明显示于相应界面内。满足阈值要求的人脸图像可以按照50%的比例输出,也可以按照其他的比例输出。
四、仿真实验结果及分析
利用在Yale人脸库中的人脸图像,分以下4种分块加权的情况进行实验(识别结果见表1和表2)。

1、b1=b3=4;b5=2;b8=2;b2=b4=b6=b7=b9=1,权值分配情况如图5所示。

如图6所示,满足阈值要求的人脸图像输出情况和必要的文字说明,图中选择的人脸图像输出比例选择为50%;也可以选择其他的人脸图像输出比例。

2、b1=b3=4;b5=3;b8=2;b2=b4=b6=b7=b9=1
3、b1=b3=4;b5=2;b8=0;b2=b4=b6=b7=b9=1
4、b1=b3=4;b5=3;b8=0;b2=b4=b6=b7=b9=1
仿真实验结果表明,通过子图像权值的分配,突出人脸骨骼特征,识别效果良好(见表1和表2),模拟了人类识别人脸时主要依据人脸骨骼等稳定特征,而对嘴部和皮肤折皱等表情变化部分特征给予弱化或剔除这一特点。通过对人脸图像进行分块,降低图像维度,减小了计算量。
五、结语
本文研究了在智能门禁报警系统中,人脸识别结合ID技术的仿真应用问题,验证了基于RBF网络和贝叶斯估计人脸识别方法在提高安防报警系统的快速、准确和安全性方面的有效性,提高了门禁系统的安全性和防欺诈性,与ID技术相结合,实现了快速识别。将分块后对人脸图像奇异值分解压缩,提高传输效率,节省存储空间,改善局域网的应用环境。在本文所研究的算法基础上,使用MATLAB语言开发了人脸图像仿真识别系统的管理操作界面,基于Yale标准人脸图像库,用户可以非常方便地对人脸图像仿真识别系统进行操作使用,对所研究的人脸识别方法进行仿真测试与对比分析,系统运行结果非常直观地显示出来。
- 一种新型防伪读码器的设计(01-01)
- 基于ARM与DSP的嵌入式运动控制器设计(04-25)
- 航天器DC/DC变换器的可靠性设计(02-12)
- 我国科学家人脸与笔迹识别领域获突破(04-29)
- 基于ARM核的AT75C220及其在指纹识别系统中的应用(05-24)
- 基于nRF2401智能小区无线抄表系统集中器设计(04-30)
