基于场景切换的H.264码率控制技术
时间:12-14
来源:互联网
点击:
2.2 视频场景切换快速检测算法
视频场景切换包含如下几种类型:突变场景切换、消融和淡入淡出等。目前,已有的场景切换检测算法分为3类:基于灰度值检测、基于运动搜索检测和基于边缘轮廓检测。虽然后2种检测算法具有比较好的性能,但是算法的高复杂度极大地限制了它们的应用,尤其是在对于实时性要求比较高的视频通信码率控制算法中。
通过对视频序列的统计分析发现,当有场景切换时,当前帧与其参考帧在灰度和色彩信息上有很大的区别,而没有场景切换的时候,整个序列的灰度和色彩基本处于平稳或者缓变的状态。选择mobile和grandma 2个YUV视频序列(无场景切换),其各分量(Y为亮度分量,U、V为色度分量)的均值变化缓慢,如图2所示。同时,对于有频繁场景切换的视频序列(以CNN新闻摘要片断和一个构造序列为例),可知在场景切换处,3个分量的均值全部或部分出现突变,如图3所示。

图中mean(x)为枧频序列X分量的均值,X代表视频序列的Y、U、V 3个分量。
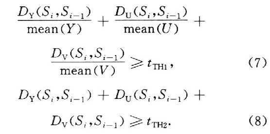
通过以上分析可知,当图像序列的各分量的均值发生突变时,一般来说是有场景切换发生。据此,采用当前帧和参考帧3个分量均值的绝对差值作为判断当前帧图像是否有场景切换的差异函数为

其中:mean()为均值函数;Scur和Sref分别表示当前帧图像和其参考帧图像;X代表其3个分量。
根据差异函数,判断是否有场景切换可以依据式(7)和(8):

当式(7)和式(8)同时满足时,可以判定当前帧有场景切换发生。式中:mean(Y)、mean(U)和mean(V)分别为当前GOP内当前帧之前所有帧各分量均值的平均值;tTHl和tTH2为判决门限系数,分别描述当前帧和参考帧之间亮度和色度均值的相对差异和绝对差异。
显然,上述算法只需要计算各帧图像3个分量的均值,算法复杂度非常低,很适合于码率控
制等实时性要求高的应用中。通过对超过2105帧的视频序列进行仿真,超过90%的场景切换能够被检测出来,并且误检率几乎为0。
2.3 仿真结果
为了验证提出的码率控制算法,本文采用图3中两个序列进行验证。一个是CNN新闻摘要中一段序列(QCIF,277帧共9处场景切换),另一个为将23帧grandma、38帧foreman、27帧news、41帧sales、33帧silent和29帧table合成为一个测试序列(QCIF,191帧共有5处场景切换)。采用本文提出的快速场景切换检测算法,2个序列共14处场景切换可以全部被检测出,其中2个参数tTH1和tTH2分别设为0.1和10。采用JM8.6平台,测试序列编码采取IPPP结构,默认GOP长度为10。
通过对本文提出的算法和JM8.6算法进行仿真比较可知,采用本文的算法,可以有效降低场景切换对后续帧编码质量的影响,且更合理地分配码率资源,使编码后的视频图像质量更平稳,同时也可以从整体上提升了视频序列的编码质量。表1列出了
采用本文算法与JM8.6算法时,测试序列各场景切换点前后10帧Y分量PSNR均值变化情况,从中可以看出采用本文算法可以有效提高场景切换点后续帧的编码质量;图4给出了2种算法下测试序列3个分量PSNR值变化曲线,从图中可以看出,采用本文的算法,重建视频质量更加平稳,同时也提高了整个序列的平均编码质量,仿真结果表明当给定码率为80 kb/s,量化参数Qp初始值为32时,序列3个分量的PSNR值平均可以提高0.36 dB、0.42dB、0.37 dB。对CNN视频序列进行仿真,也可以得到与表1和图4相似的结果,在码率为80 kb/s,初始Qp值为32时序列编码质量可以提高0.3 dB。实验结果表明,本文的算法可以有效地将码率控制在给定码率,误差在3%以内。

在编码时间上,本文的算法避免了由于场景切换导致的无效的运动搜索,节省了场景切换帧的编码时间,而算法本身引入的额外运算量可以忽略不计,因而节省了整个序列的编码时间。仿真结果也表明,对于含有5个场景切换的P帧的测试序列(191
帧),编码时间节省了2%~3%。很显然,随着序列中场景切换的P帧数量占序列总帧数的比例增大,节省的编码时间的比例也会增大。
3 结 论
本文分析了场景切换对于视频序列编码带来的影响,并提出了一种基于快速场景切换检测的自适应码率控制算法,有效地降低了场景切换对后续帧编码质量的影响。结合H.264/AVC编码器的实验研究表明,采用本文的算法,可以更合理地分配码率资源,使编码后的视频图像质量更平稳,也可以从整体上提升视频序列的编码质量。同时,本文的算法也降低了场景切换帧的编码时间,且自身算法复杂度低,可以有效节省频繁场景切换的视频序列的编码时间。该算法可有效地应用于如新闻摘要和电视短广告等有频繁场景切换的视频序列编码,有效地提高其编码质量和降低编码时间。
视频场景切换包含如下几种类型:突变场景切换、消融和淡入淡出等。目前,已有的场景切换检测算法分为3类:基于灰度值检测、基于运动搜索检测和基于边缘轮廓检测。虽然后2种检测算法具有比较好的性能,但是算法的高复杂度极大地限制了它们的应用,尤其是在对于实时性要求比较高的视频通信码率控制算法中。
通过对视频序列的统计分析发现,当有场景切换时,当前帧与其参考帧在灰度和色彩信息上有很大的区别,而没有场景切换的时候,整个序列的灰度和色彩基本处于平稳或者缓变的状态。选择mobile和grandma 2个YUV视频序列(无场景切换),其各分量(Y为亮度分量,U、V为色度分量)的均值变化缓慢,如图2所示。同时,对于有频繁场景切换的视频序列(以CNN新闻摘要片断和一个构造序列为例),可知在场景切换处,3个分量的均值全部或部分出现突变,如图3所示。

图中mean(x)为枧频序列X分量的均值,X代表视频序列的Y、U、V 3个分量。
通过以上分析可知,当图像序列的各分量的均值发生突变时,一般来说是有场景切换发生。据此,采用当前帧和参考帧3个分量均值的绝对差值作为判断当前帧图像是否有场景切换的差异函数为

其中:mean()为均值函数;Scur和Sref分别表示当前帧图像和其参考帧图像;X代表其3个分量。
根据差异函数,判断是否有场景切换可以依据式(7)和(8):

当式(7)和式(8)同时满足时,可以判定当前帧有场景切换发生。式中:mean(Y)、mean(U)和mean(V)分别为当前GOP内当前帧之前所有帧各分量均值的平均值;tTHl和tTH2为判决门限系数,分别描述当前帧和参考帧之间亮度和色度均值的相对差异和绝对差异。
显然,上述算法只需要计算各帧图像3个分量的均值,算法复杂度非常低,很适合于码率控
制等实时性要求高的应用中。通过对超过2105帧的视频序列进行仿真,超过90%的场景切换能够被检测出来,并且误检率几乎为0。
2.3 仿真结果
为了验证提出的码率控制算法,本文采用图3中两个序列进行验证。一个是CNN新闻摘要中一段序列(QCIF,277帧共9处场景切换),另一个为将23帧grandma、38帧foreman、27帧news、41帧sales、33帧silent和29帧table合成为一个测试序列(QCIF,191帧共有5处场景切换)。采用本文提出的快速场景切换检测算法,2个序列共14处场景切换可以全部被检测出,其中2个参数tTH1和tTH2分别设为0.1和10。采用JM8.6平台,测试序列编码采取IPPP结构,默认GOP长度为10。
通过对本文提出的算法和JM8.6算法进行仿真比较可知,采用本文的算法,可以有效降低场景切换对后续帧编码质量的影响,且更合理地分配码率资源,使编码后的视频图像质量更平稳,同时也可以从整体上提升了视频序列的编码质量。表1列出了
采用本文算法与JM8.6算法时,测试序列各场景切换点前后10帧Y分量PSNR均值变化情况,从中可以看出采用本文算法可以有效提高场景切换点后续帧的编码质量;图4给出了2种算法下测试序列3个分量PSNR值变化曲线,从图中可以看出,采用本文的算法,重建视频质量更加平稳,同时也提高了整个序列的平均编码质量,仿真结果表明当给定码率为80 kb/s,量化参数Qp初始值为32时,序列3个分量的PSNR值平均可以提高0.36 dB、0.42dB、0.37 dB。对CNN视频序列进行仿真,也可以得到与表1和图4相似的结果,在码率为80 kb/s,初始Qp值为32时序列编码质量可以提高0.3 dB。实验结果表明,本文的算法可以有效地将码率控制在给定码率,误差在3%以内。

在编码时间上,本文的算法避免了由于场景切换导致的无效的运动搜索,节省了场景切换帧的编码时间,而算法本身引入的额外运算量可以忽略不计,因而节省了整个序列的编码时间。仿真结果也表明,对于含有5个场景切换的P帧的测试序列(191
帧),编码时间节省了2%~3%。很显然,随着序列中场景切换的P帧数量占序列总帧数的比例增大,节省的编码时间的比例也会增大。
3 结 论
本文分析了场景切换对于视频序列编码带来的影响,并提出了一种基于快速场景切换检测的自适应码率控制算法,有效地降低了场景切换对后续帧编码质量的影响。结合H.264/AVC编码器的实验研究表明,采用本文的算法,可以更合理地分配码率资源,使编码后的视频图像质量更平稳,也可以从整体上提升视频序列的编码质量。同时,本文的算法也降低了场景切换帧的编码时间,且自身算法复杂度低,可以有效节省频繁场景切换的视频序列的编码时间。该算法可有效地应用于如新闻摘要和电视短广告等有频繁场景切换的视频序列编码,有效地提高其编码质量和降低编码时间。
- 基于ARM与DSP的嵌入式运动控制器设计(04-25)
- 智能视频多媒体技术的应用(05-31)
- 高精度压力测控系统的试验研究(04-08)
- 2009视频监控:网络化及其推动的几大趋势(06-03)
- MSP430在大量程浮子式液位计中的应用(06-20)
- 无线IP视频监控应用即将井喷,Blackfin助您赢得先机(07-23)
