GPS接收机中锁频环频率误锁的检测
时间:12-14
来源:互联网
点击:
为了解决全球定位系统(GPS)接收机中的锁频环在载波同步过程中可能出现的频率误锁问题,在分析了锁频环在噪声环境下的工作原理及产生频率误锁原因的基础上基于有无发生频率误锁时同一信息符号对应的多个预检测积分值的变化规律,提出了一种用于频率误锁检测和快速纠正的算法。仿真结果表明:该方法能够在锁频环完成工作之后及时判决是否有误锁发生,误锁时可在1~2个导航比特时间内把载波频率调整到正确频率上。该方法实现简单,可有效消除频率误锁给信号同步时间带来的影响。
载波的恢复与跟踪是对全球定位系统(GPS)C/A(coarse/acquisition)码信号进行相干解调的关键。通过捕获过程中伪码相位和载波频率的二维搜索,可获得载波频率的粗略估值,对载波相位的精确跟踪需采用锁相环实现。锁相环工作的频率动态范围很小,而捕获过程获得的载波频率估值仍存在较大的不确定度,故需先把载波频率牵引至锁相环的线性工作范围之内。一般可采用锁频环完成对载波频率的这一牵引过程。
接收机算法中,预检测积分时间的选择受到鉴频范围和信号信噪比的限制。GPS接收机中一般选用一个C/A码周期(1 ms)作为预检测积分时间,此时鉴频范围为250 Hz。为保证伪码捕获正常工作,预检测积分时间为1 ms时,捕获过程的最大频率间隔为667Hz;为尽可能快地捕获,捕获过程的频率间隔一般取得尽可能大,但不能超过鉴频范围,可取为500 Hz,此时捕获后的频率不确定度正好对应鉴频器的线性工作范围。若Doppler频偏落在线性鉴频区域的边界附近,受噪声的影响,跟踪频率可能越过线性鉴频区域,最终锁定在一个错误的频率上,造成误锁现象。如不能及时发现误锁,将会大大增加信号的同步时间。目前尚未在相关文献上见到如何解决这一误锁现象的方案。
本文分析了GPS接收机中锁频环的频率误锁现象,在此基础上提出了一种进行误锁判决,并在发生误锁的情况下把载波频率迅速调整到正确频率上的算法,最后通过仿真证明了本文的结论。
1 信号模型
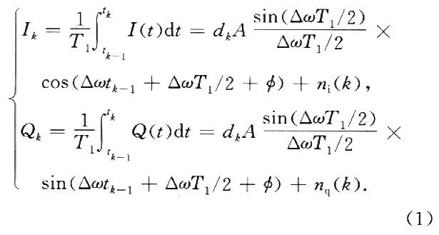
GPS的C/A码信号是二进制相移键控(BPSK)调制的直接序列扩频信号(DSSS)。对正交下变频得到的两路基带信号分别进行相关累积,得到预检测积分结果:

其中:tk=tk-1+T1,T1为预检测积分时间,选为一个C/A码周期;A为信号幅值;dk以为积分周期内信息比特的符号;△ω为接收信号载波与本地载波间的频率差,φ为接收信号载波与本地载波间的初始相差;ni(k)、nq(k)为噪声项。
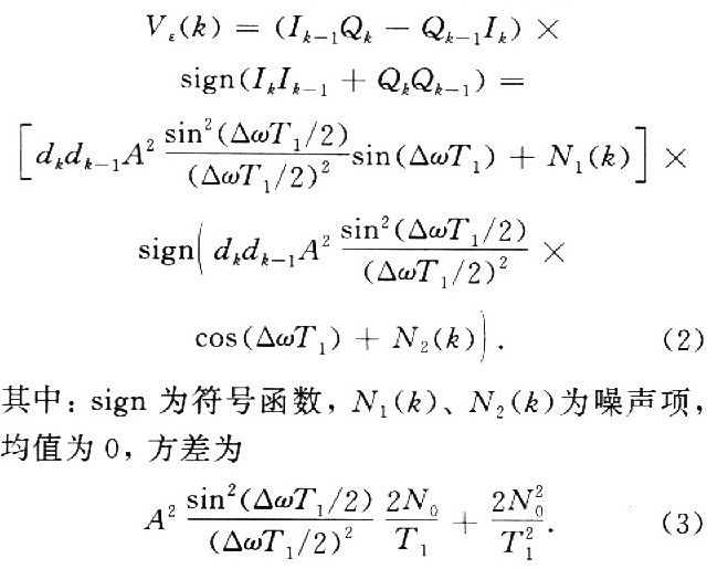
鉴频器使用正交两支路相邻两时刻预检测积分值的叉积值估计频差,使用其点积值的正负消除信息比特符号翻转的影响。鉴频器输出如下:

图1为鉴频器鉴频特性曲线(其中ψ=△ωT1/π)。频差估值经环路滤波器反馈回本地载波NCO(number controloscillator),逐渐消除本地载波与接收信号载波间频差,完成频率牵引过程。

完成频率牵引之后鉴相器开始工作,鉴相器输出信号的表达式为
其中N3(k)为噪声项。鉴相器输出相差估值控制本地载波NCO,调整本地载波相位,跟踪输入信号载波相位的变化。
锁相环锁定判决器用于判定环路是否完成对载波相位的锁定,其输出为
其中N4(k)为噪声项,锁相环锁定时,相差趋于零,判决器输出趋于1。
2 鉴频器环路频率误锁现象分析
不考虑噪声的情况下,参照鉴频特性曲线,分析鉴频器工作的原理及产生误锁现象的原因。
当O<|△ωT1|<π/2时,有正(负)的频偏,鉴频器输出也为正(负)值,通过负反馈调整本地频率,可使频偏减小,鉴频器输出将逐渐收敛到原点(0,0),即频偏为零的状态。
当π/2<|△ωT1|<π时,有正(负)的频偏,但鉴频器的输出为负(正)值,经过负反馈调整本地载波频率值,频偏反而会继续增大,鉴频器的输出将逐渐收敛到点(1,O)(-1,0)),之后鉴频器输出值为零,即频率锁定在使得△ωT1=π的状态点上,有一个固定的频率偏差△ω=π/T1,出现了误锁的情况。
有噪声情况下,考察(2)式中的点积项(IkIk-1+QkQk-1)。当频偏越接近线性鉴频区域边界时(|△ωT1|约等于π),余弦项的值越小,噪声项N2(k)对点积项的正负符号就具有越大的影响力。这样点积项的符号就不再能够正确反映dkdk-1的符号,估计的频偏值就可能与实际的频偏值正负相反,控制载波NCO向相反的方向调整,以至频率差值进一步增大。频偏值一旦超过线性鉴频范围,点积项符号与dkdk-1符号相反的概率也进一步增大,频偏不断向相反的方向调整,导致鉴频器逐渐收敛到误锁频率点上。
鉴相器并不能发现并纠正这一误锁现象。误锁时,本地载波与接收信号的载波间有一固定的频偏△ω0=π/T1及噪声造成的微小频偏△ω。此时鉴相器的输出为
其中:tk-1=(k一1)T1,φs为输入信号载波与本地恢复载波的相位差。当鉴相器趋于稳定时,φs收敛于π/2,两载波间存在固定的相差。根据锁相环的特性,固定的相差干π/2正好对应输出固定的角频率偏差π/T1,锁相环仍将锁定在误锁频率点上。
考察误锁时锁相环锁定判决器的输出
频率偏差带来的相位项为π/2,而稳态相差为π/2,二者之和为0,Va(k)仍是接近于1的值,锁定判决器无法分辨出锁相环是锁定在误锁频率上还是锁定在正确频率上。
图2为误锁时鉴频器及锁相环的工作状态。

载波的恢复与跟踪是对全球定位系统(GPS)C/A(coarse/acquisition)码信号进行相干解调的关键。通过捕获过程中伪码相位和载波频率的二维搜索,可获得载波频率的粗略估值,对载波相位的精确跟踪需采用锁相环实现。锁相环工作的频率动态范围很小,而捕获过程获得的载波频率估值仍存在较大的不确定度,故需先把载波频率牵引至锁相环的线性工作范围之内。一般可采用锁频环完成对载波频率的这一牵引过程。
接收机算法中,预检测积分时间的选择受到鉴频范围和信号信噪比的限制。GPS接收机中一般选用一个C/A码周期(1 ms)作为预检测积分时间,此时鉴频范围为250 Hz。为保证伪码捕获正常工作,预检测积分时间为1 ms时,捕获过程的最大频率间隔为667Hz;为尽可能快地捕获,捕获过程的频率间隔一般取得尽可能大,但不能超过鉴频范围,可取为500 Hz,此时捕获后的频率不确定度正好对应鉴频器的线性工作范围。若Doppler频偏落在线性鉴频区域的边界附近,受噪声的影响,跟踪频率可能越过线性鉴频区域,最终锁定在一个错误的频率上,造成误锁现象。如不能及时发现误锁,将会大大增加信号的同步时间。目前尚未在相关文献上见到如何解决这一误锁现象的方案。
本文分析了GPS接收机中锁频环的频率误锁现象,在此基础上提出了一种进行误锁判决,并在发生误锁的情况下把载波频率迅速调整到正确频率上的算法,最后通过仿真证明了本文的结论。
1 信号模型
GPS的C/A码信号是二进制相移键控(BPSK)调制的直接序列扩频信号(DSSS)。对正交下变频得到的两路基带信号分别进行相关累积,得到预检测积分结果:

其中:tk=tk-1+T1,T1为预检测积分时间,选为一个C/A码周期;A为信号幅值;dk以为积分周期内信息比特的符号;△ω为接收信号载波与本地载波间的频率差,φ为接收信号载波与本地载波间的初始相差;ni(k)、nq(k)为噪声项。
鉴频器使用正交两支路相邻两时刻预检测积分值的叉积值估计频差,使用其点积值的正负消除信息比特符号翻转的影响。鉴频器输出如下:

图1为鉴频器鉴频特性曲线(其中ψ=△ωT1/π)。频差估值经环路滤波器反馈回本地载波NCO(number controloscillator),逐渐消除本地载波与接收信号载波间频差,完成频率牵引过程。

完成频率牵引之后鉴相器开始工作,鉴相器输出信号的表达式为
其中N3(k)为噪声项。鉴相器输出相差估值控制本地载波NCO,调整本地载波相位,跟踪输入信号载波相位的变化。
锁相环锁定判决器用于判定环路是否完成对载波相位的锁定,其输出为
其中N4(k)为噪声项,锁相环锁定时,相差趋于零,判决器输出趋于1。
2 鉴频器环路频率误锁现象分析
不考虑噪声的情况下,参照鉴频特性曲线,分析鉴频器工作的原理及产生误锁现象的原因。
当O<|△ωT1|<π/2时,有正(负)的频偏,鉴频器输出也为正(负)值,通过负反馈调整本地频率,可使频偏减小,鉴频器输出将逐渐收敛到原点(0,0),即频偏为零的状态。
当π/2<|△ωT1|<π时,有正(负)的频偏,但鉴频器的输出为负(正)值,经过负反馈调整本地载波频率值,频偏反而会继续增大,鉴频器的输出将逐渐收敛到点(1,O)(-1,0)),之后鉴频器输出值为零,即频率锁定在使得△ωT1=π的状态点上,有一个固定的频率偏差△ω=π/T1,出现了误锁的情况。
有噪声情况下,考察(2)式中的点积项(IkIk-1+QkQk-1)。当频偏越接近线性鉴频区域边界时(|△ωT1|约等于π),余弦项的值越小,噪声项N2(k)对点积项的正负符号就具有越大的影响力。这样点积项的符号就不再能够正确反映dkdk-1的符号,估计的频偏值就可能与实际的频偏值正负相反,控制载波NCO向相反的方向调整,以至频率差值进一步增大。频偏值一旦超过线性鉴频范围,点积项符号与dkdk-1符号相反的概率也进一步增大,频偏不断向相反的方向调整,导致鉴频器逐渐收敛到误锁频率点上。
鉴相器并不能发现并纠正这一误锁现象。误锁时,本地载波与接收信号的载波间有一固定的频偏△ω0=π/T1及噪声造成的微小频偏△ω。此时鉴相器的输出为
其中:tk-1=(k一1)T1,φs为输入信号载波与本地恢复载波的相位差。当鉴相器趋于稳定时,φs收敛于π/2,两载波间存在固定的相差。根据锁相环的特性,固定的相差干π/2正好对应输出固定的角频率偏差π/T1,锁相环仍将锁定在误锁频率点上。
考察误锁时锁相环锁定判决器的输出
频率偏差带来的相位项为π/2,而稳态相差为π/2,二者之和为0,Va(k)仍是接近于1的值,锁定判决器无法分辨出锁相环是锁定在误锁频率上还是锁定在正确频率上。
图2为误锁时鉴频器及锁相环的工作状态。

- 中国研制北斗2系统可压制美GPS军事优势(05-15)
- ADS-B技术及其在空管中的发展与应用(06-21)
- 什么是原子钟(07-04)
- 相对论有没有用?(07-04)
- IEEE 1588是什么?(11-26)
- Q2686无线CPU和LonWorks的无线监控网关设计(01-25)
