多传感器信息融合技术在智能驾驶系统中的应用
时间:12-08
来源:互联网
点击:
3 CLARK算法
CLARK算法是用于精确测量障碍位置和道路状况的方法,它同时使用来自距离传感器(雷达)和摄像机的信息。CLARK算法主要由以下两部分组成:①使用多传感器融合技术对障碍进行鲁棒探测;②在LOIS(Likelihood of Image Shape)道路探测算法中综合考虑上述信息,以提高远距离道路和障碍的识别性能。
3.1 用雷达探测障碍
目前经常使用一个雷达传感器探测前方的车辆或障碍。如前面所分析,雷达虽然在直路上的性能良好,但当道路弯曲时,探测的信号将不完全可靠,有时还会有探测的盲点或产生错误报警。为了防止错误报警,常对雷达的输出进行标准卡尔曼(Kalman)滤波,但这并不能有效解决探测盲点问题。为了更可靠地解决这类问题,可以使用扫描雷达或多波束雷达,但其价格昂贵。这里选用低价的视觉传感器作为附加信息,视觉传感器经常能提供扫描雷达和多波束雷达所不能提供的信息。
3.2 在目标识别中融合视觉信息
CLARK算法使用视觉图像的对比度和颜色信息探测目标,使用矩形模板方法识别目标。这个模板由具有不同左右边界和底部尺寸的矩形构成,再与视觉图像对比度域匹配,选择与雷达传感器输出最接近的障碍模板。
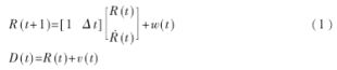
CLARK算法首先对雷达信号进行卡尔曼滤波,用于剔除传感器输出的强干扰,这由下列状态和观测方程处理:

式中,R(t)为前方障碍的真实距离(未知),

是其速度(未知),D(t)为距离观测值,Δt为两次观测的间隔时间,w(t)和v(t)为高斯噪声。给定D(t),由Kalman滤波器估计R(t)和

的值,并把估计值

作为距离输入值,使用

和D(t)的差值确定所用矩形模板的偏差。由于使用雷达探测的位置与雷达波的中心位置总有一个偏差,可通过改变道路一侧的位置作为补偿。
使用上述算法可以有效提高雷达探测的可靠性,但当图像包含很强的边缘信息或障碍只占据相平面一个很小的区域时,仍不能得到满意的结果。因此,除对比度外,又引入视觉图像的颜色域。
3.3 相合似然法
在探测到障碍后,CLARK算法将这些信息整合到道路探测算法(LOIS)中。LOIS利用变形道路的边缘应为图像中对比度的最大值部分且其方位应垂直于道路边缘来搜索道路。如果只是简单地将两个信息整合,则障碍探测部分的像素被隐藏,其图像梯度值不会影响LOIS的似然性。这样可以防止LOIS将汽车前方障碍的边缘误认为是道路的边缘来处理。但是当道路的真实边缘非常接近障碍的边缘时,隐藏技术则失效。
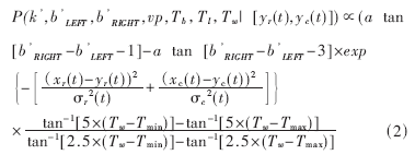
为了使隐藏技术有效,可以在障碍和道路探测之间采取折中的处理方法。这种折中的处理方法就是相合似然法。它将探测障碍固定的位置和尺寸参数变为可以在小范围内变化的参数。新的似然函数由LOIS的似然和探测障碍的似然融合而成。它使用七维参数探测方法(三维用于障碍,四维用于道路),能同时给出障碍和道路预测的最好结果。其公式如下:

式中,Tb、Tl、Tw为相平面内矩形模板的底部位置、左边界和宽度的三个变形参数,[xr(t),xc(t)]为变形模板相平面的中心。[yr(t),yc(t)]为由雷达探测并经Kalman滤波的障碍在相平面的位置。将地平面压缩变换为相平面,σr2(t)为

的实时估计,σc2为相平面内一个路宽的值(3.2m)。tan-1的压缩比率在相平面内不小于Tmin(路宽的一半),不大于Tmax(路宽)。通过求解七维后验pdf P(k’,b’LEFT,b’RIGHT,vp,Tb,Tl,Tw|[yr(t),yc(t)],Observed Image)的最大值获得障碍和道路目标。
3.4 CLARK算法的局限性
CLARK算法假定障碍为矩形形状且其最小尺寸为标准路宽的一半,所以当障碍为客车、货车、拖拉机及公共汽车时满足要求;但当障碍为摩托车、自行车及行人时就不适用了。这种矩形形状的假设也要求雷达为窄波束雷达,对其它宽波束雷达、扫描雷达或多波束雷达则无效,并假定探测障碍的偏向位置总是在雷达波束的中心。
多传感器信息融合技术在智能驾驶系统(ITS)中的使用极大地提高了系统的稳定性和安全性,各种融合算法也都从不同方面更好地改善了系统的性能,但目前仍存在如何降低成本的问题,这对于ITS系统的普遍使用是很重要的。另外降低运算量、增强对多目标识别的可靠性也都有待进一步研究解决。
CLARK算法是用于精确测量障碍位置和道路状况的方法,它同时使用来自距离传感器(雷达)和摄像机的信息。CLARK算法主要由以下两部分组成:①使用多传感器融合技术对障碍进行鲁棒探测;②在LOIS(Likelihood of Image Shape)道路探测算法中综合考虑上述信息,以提高远距离道路和障碍的识别性能。
3.1 用雷达探测障碍
目前经常使用一个雷达传感器探测前方的车辆或障碍。如前面所分析,雷达虽然在直路上的性能良好,但当道路弯曲时,探测的信号将不完全可靠,有时还会有探测的盲点或产生错误报警。为了防止错误报警,常对雷达的输出进行标准卡尔曼(Kalman)滤波,但这并不能有效解决探测盲点问题。为了更可靠地解决这类问题,可以使用扫描雷达或多波束雷达,但其价格昂贵。这里选用低价的视觉传感器作为附加信息,视觉传感器经常能提供扫描雷达和多波束雷达所不能提供的信息。
3.2 在目标识别中融合视觉信息
CLARK算法使用视觉图像的对比度和颜色信息探测目标,使用矩形模板方法识别目标。这个模板由具有不同左右边界和底部尺寸的矩形构成,再与视觉图像对比度域匹配,选择与雷达传感器输出最接近的障碍模板。
CLARK算法首先对雷达信号进行卡尔曼滤波,用于剔除传感器输出的强干扰,这由下列状态和观测方程处理:

式中,R(t)为前方障碍的真实距离(未知),

是其速度(未知),D(t)为距离观测值,Δt为两次观测的间隔时间,w(t)和v(t)为高斯噪声。给定D(t),由Kalman滤波器估计R(t)和

的值,并把估计值

作为距离输入值,使用

和D(t)的差值确定所用矩形模板的偏差。由于使用雷达探测的位置与雷达波的中心位置总有一个偏差,可通过改变道路一侧的位置作为补偿。
使用上述算法可以有效提高雷达探测的可靠性,但当图像包含很强的边缘信息或障碍只占据相平面一个很小的区域时,仍不能得到满意的结果。因此,除对比度外,又引入视觉图像的颜色域。
3.3 相合似然法
在探测到障碍后,CLARK算法将这些信息整合到道路探测算法(LOIS)中。LOIS利用变形道路的边缘应为图像中对比度的最大值部分且其方位应垂直于道路边缘来搜索道路。如果只是简单地将两个信息整合,则障碍探测部分的像素被隐藏,其图像梯度值不会影响LOIS的似然性。这样可以防止LOIS将汽车前方障碍的边缘误认为是道路的边缘来处理。但是当道路的真实边缘非常接近障碍的边缘时,隐藏技术则失效。
为了使隐藏技术有效,可以在障碍和道路探测之间采取折中的处理方法。这种折中的处理方法就是相合似然法。它将探测障碍固定的位置和尺寸参数变为可以在小范围内变化的参数。新的似然函数由LOIS的似然和探测障碍的似然融合而成。它使用七维参数探测方法(三维用于障碍,四维用于道路),能同时给出障碍和道路预测的最好结果。其公式如下:

式中,Tb、Tl、Tw为相平面内矩形模板的底部位置、左边界和宽度的三个变形参数,[xr(t),xc(t)]为变形模板相平面的中心。[yr(t),yc(t)]为由雷达探测并经Kalman滤波的障碍在相平面的位置。将地平面压缩变换为相平面,σr2(t)为

的实时估计,σc2为相平面内一个路宽的值(3.2m)。tan-1的压缩比率在相平面内不小于Tmin(路宽的一半),不大于Tmax(路宽)。通过求解七维后验pdf P(k’,b’LEFT,b’RIGHT,vp,Tb,Tl,Tw|[yr(t),yc(t)],Observed Image)的最大值获得障碍和道路目标。
3.4 CLARK算法的局限性
CLARK算法假定障碍为矩形形状且其最小尺寸为标准路宽的一半,所以当障碍为客车、货车、拖拉机及公共汽车时满足要求;但当障碍为摩托车、自行车及行人时就不适用了。这种矩形形状的假设也要求雷达为窄波束雷达,对其它宽波束雷达、扫描雷达或多波束雷达则无效,并假定探测障碍的偏向位置总是在雷达波束的中心。
多传感器信息融合技术在智能驾驶系统(ITS)中的使用极大地提高了系统的稳定性和安全性,各种融合算法也都从不同方面更好地改善了系统的性能,但目前仍存在如何降低成本的问题,这对于ITS系统的普遍使用是很重要的。另外降低运算量、增强对多目标识别的可靠性也都有待进一步研究解决。
- 多核及虚拟化技术在工业和安全领域的应用(05-23)
- 基于ARM核的AT75C220及其在指纹识别系统中的应用(05-24)
- 基于音频信号的轴承故障诊断方法(03-17)
- 采用信号调理IC驱动应变片电桥传感器(05-26)
- 基于nRF2401智能无线火灾监控系统设计(04-01)
- 家居安防无线监控报警系统(04-02)
