电路老化试验箱恒温控制系统的设计
时间:12-07
来源:互联网
点击:
2.2 基于自整定PID算法的软件设计
系统的软件设计流程图如图4所示。系统首先进行初始化,通过键盘设定控制器的参数,通过PID自整定键启动PID自整定功能。然后通过键盘设定所需的温度值,接着调用测量显示子程序显示当前温度。当测量温度等于设定温度时,程序返回温度设定模块,当测量温度不等于设定温度时,启动PID控制模块,然后返回测量显示模块,如此循环下去,直到测量温度等于设定温度为止。由于恒温箱温度控制系统具有大时滞和非线性特性,常规PID控制参数难以整定。在此设计了自整定PID算法,解决了PID整定困难的问题。下面介绍自整定PID算法的设计过程。

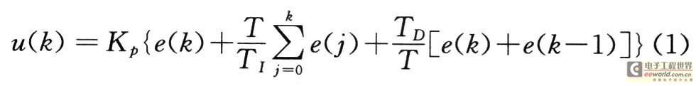
离散PID控制算法表达式为:

根据Ziegler-Nichle条件,PID三个参数可由以下公式整定:

式中:TC为临界振荡周期。
将式(2)代入式(1),则离散PID算法只存在一个整定参数
KP选取具有快速平稳特性的偏差绝对值乘时间的积分(ITAE)最优准则:

作为目标函数。当其为最小值时,控制系统为最佳状态。它具有对单位阶跃响应的起始误差考虑少,而着重权衡瞬态响应后期出现误差的功能。应用这种准则设计的系统特点是其瞬态响应的超调量很小,即抗干扰能力强,且振荡有足够的阻尼,具有良好的选择性和灵敏度。
离散化式(3)得:

参数自整定方法:每次计算QITAEn后与上次计算的QITAEn-1比较,根据QITAE的变化趋势对PID算法中的KP进行修正,修正周期一般取(5~10)T。具体修正算法如下:

当QITAE趋于恒定时,PID自整定算法结束。
3 结束语
根据电路老化试验箱的温度控制要求设计出的基于固态继电器的自整定PID恒温控制系统,具有设计方法简单可靠、使用方便、控制精度高的特点。此设计可应用于企业的电路老化试验箱新产品开发设计中,能取得了良好的控制效果,满足用户的产品需求,值得向广大企业推广应用。
系统的软件设计流程图如图4所示。系统首先进行初始化,通过键盘设定控制器的参数,通过PID自整定键启动PID自整定功能。然后通过键盘设定所需的温度值,接着调用测量显示子程序显示当前温度。当测量温度等于设定温度时,程序返回温度设定模块,当测量温度不等于设定温度时,启动PID控制模块,然后返回测量显示模块,如此循环下去,直到测量温度等于设定温度为止。由于恒温箱温度控制系统具有大时滞和非线性特性,常规PID控制参数难以整定。在此设计了自整定PID算法,解决了PID整定困难的问题。下面介绍自整定PID算法的设计过程。

离散PID控制算法表达式为:

根据Ziegler-Nichle条件,PID三个参数可由以下公式整定:

式中:TC为临界振荡周期。
将式(2)代入式(1),则离散PID算法只存在一个整定参数
KP选取具有快速平稳特性的偏差绝对值乘时间的积分(ITAE)最优准则:

作为目标函数。当其为最小值时,控制系统为最佳状态。它具有对单位阶跃响应的起始误差考虑少,而着重权衡瞬态响应后期出现误差的功能。应用这种准则设计的系统特点是其瞬态响应的超调量很小,即抗干扰能力强,且振荡有足够的阻尼,具有良好的选择性和灵敏度。
离散化式(3)得:

参数自整定方法:每次计算QITAEn后与上次计算的QITAEn-1比较,根据QITAE的变化趋势对PID算法中的KP进行修正,修正周期一般取(5~10)T。具体修正算法如下:

当QITAE趋于恒定时,PID自整定算法结束。
3 结束语
根据电路老化试验箱的温度控制要求设计出的基于固态继电器的自整定PID恒温控制系统,具有设计方法简单可靠、使用方便、控制精度高的特点。此设计可应用于企业的电路老化试验箱新产品开发设计中,能取得了良好的控制效果,满足用户的产品需求,值得向广大企业推广应用。
电子 电路 单片机 可控硅 继电器 集成电路 电压 电流 三极管 治疗仪 51单片机 电阻 LED ADC PWM 相关文章:
- 一种新型防伪读码器的设计(01-01)
- 基于ARM与DSP的嵌入式运动控制器设计(04-25)
- 航天器DC/DC变换器的可靠性设计(02-12)
- 我国科学家人脸与笔迹识别领域获突破(04-29)
- 基于ARM核的AT75C220及其在指纹识别系统中的应用(05-24)
- 基于nRF2401智能小区无线抄表系统集中器设计(04-30)
