无线传感器网络带状拓扑路由研究与应用
时间:12-07
来源:互联网
点击:
无线传感器网络技术目前处于计算机网络研究领域的前沿,并有可能发展成为一个新的巨大经济规模的高科技市场。如今,由美国军方资助的学术研究机构、跨国公司和全球最大的IT供应商们均已将传感器网络列入研发计划并积极开展。随着无线传感器网络的深入研究和广泛应用,无线传感器网络将逐渐深入到人类生活的各个领域。
无线传感器网络在智能交通中应用的有着巨大前景,在道路交通中,传感网又有其特殊的网络拓扑结构,带状的拓扑结构。本文结合无线传感器网络的特点,研究适合带状拓扑结构的易实现的网络路由协议。
1 网络结构及路由分析
现有的路由技术的局限性使其不能直接用于传感器网络,而针对移动Ad Hoc网络设计的组网和通信协议一般也不适合于传感器网络。其重要原因之一是其扩展性的要求不同,移动Ad Hoc网络相对节点的移动性来讲,扩展性问题并不十分突出;而传感器网络要求支持大规模网络,节点的移动性较弱甚至没有,主要问题变为如何延长网络的生存时间。这决定了两种网络有不同的优化目标。因此,有必要针对交通示范工程中交通信息数据采集、传输等特点,研究传感器网络路由协议,重点解决提高扩展性、低功耗、适应网络拓扑结构的变化等问题。
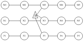
带状拓扑的网络,如图1,网络呈树型链状结构,借用分级网络的概念,将网络分为两层,底层是传感器节点采集环境参数,高层是网络的汇聚节点,或是本地区小网络的管理中心,汇聚本地区的信息经数据融合后传至更高层的网络。由于带状网络的特殊性,按地理位置将底层网络分为多个簇,合理的簇结构是按链的方向分簇,并不指定簇头,所以底层网络也可称为无簇头的分级网络。正常情况下,不同簇间节点互不通信,所有节点的采集信息经本簇节点传送至上层网络。

图1 带状结构的网络拓扑图
如图1中,将底层分为M、N、P三个簇,簇内成员数可以在带状区域任意扩展。上层网络节点B可以高速移动。
这样一个带状结构的网络,路由建立与维护都有其特殊性。由于底层节点无需移动,或在某一范围缓慢移动,其目的是将采集的信息传至上层移动的节点。所以底层网络路由采用表驱动方式。由上层网络节点来建立整个网络的路由,但维护路由的任务却由本地节点来完成。
2 带状网络结构路由协议
2.1 路由建立
路由建立过程的思想是,由上层节点在全网范围内广播路由请求数据包RREQ,底层节点收到RREQ后即更新邻居链表,同时更新路由表,然后同样以广播的方式转发RREQ,但只转发同一簇内的RREQ;本地节点在同一簇内建立路由,但维护的邻居链表包括整个网络的邻居信息,以记录网络的连通性。
借用AODV路由协议中RREQ包格式,定义协议RREQ格式如表1[3,4]。

其中,包类型:用于标明该数据包是RREQ包,广播包;源地址:发起RREQ的节点地址,应为上层网络节点的地址;跳数:源节点到接收到RREQ包的节点经过的跳段数;广播ID:由源节点维护的序列号,用于唯一标识RREQ包。

其中,目的节点:记录目的节点地址,应为上层网络节点的地址;路由状态:路由是否有效标志;下一跳:本地节点到目的节点的下一跳节点地址;路由过期时间:路由不再有效的时间点。
按照建立路由过程中不同节点的作用,路由建立过程如下:
1)上层移动节点:向全网广播RREQ用于建立路由;接收各个簇内节点携带信息的数据包。如图1中节点B。由广播ID和源地址序列对唯一标识RREQ,用于判断处理是否收到重复的RREQ包
2)可以和移动节点直接通信的节点:接收到RREQ后,首先更新邻居链表,然后将本地路由表里的下一跳写下B,更新路由表。如图1中,M3、N3、P3此时和B直接相连,分别是三个簇内其它节点接入上层节点的出口。

图2 本地节点建立路由流程
3)底层网络中其它节点:M3、N3、P3接到B的RREQ,更新路由表后同样以广播的方式转发RREQ,此时不同簇内节点会互相收到转发的RREQ,利用此信息更新本地节点的邻居链表。例如图1中,N4收到N3转发的RREQ,同时也可能收到M3、P3转发的RREQ,N4利用此信息更新其邻居链表。但N4用同一簇成员转发的RREQ更新路由表,路由表中下一跳记录为N3地址,然后丢掉接收到的其它同一RREQ包。同样以广播的方式再次转发RREQ。这样处理的好处是,在同一簇内广播RREQ,即建立了路由,记录了本地节点的所有邻居节点,包括其它簇内的邻居节点,又有效的避免了RREQ在整个网络中引起“广播风暴”的问题。其它节点均按同样的方式处理,直到RREQ包达到最大的网络半径。
路由建立的过程见图2的流程图。
2.2 路由维护
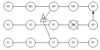
在带状的拓扑结构里,同一簇内邻居节点有限,多数情况下只有左右两个节点是其邻居节点,如果某一节点由于能量耗尽,簇内节点可能会断开,将影响网络的健壮性和可扩展性,如图3,节点N4由于某种原因不再具有传感器节点的功能,N4以右的节点按先前发现的路由无法将数据传送至目的节点B,因此必须采取某种措施以维护网络的连通性。节点同时拥有其它簇内的邻居节点,可以借助其它簇内的节点续传数据包。

图3 网络故障时路由的维护
鉴于带状拓扑结构的特殊性,数据报文在找到目的节点的方向(即路由)后,如“接力”的方式依次往下传,所以不采用端到端的应答方式,而采用点到点的应答,这样节点能够知道下一节点的状态,发送数据包时,如果不能收到下一跳节点的应答包,则重复发送一次,仍然没有应答情况下,即认为下一跳发生故障,立刻从邻居链表中选择其它簇内的邻居节点作为下一跳节点,由此簇节点负责传送数据包。
在图3中,N5以右的数据包转发至N5后,由于N5没有收到N4的应答, N5需要从邻居链表中选择其一作为下一跳,如果有簇内其它邻居节点(如N3也是N5邻居),优先选择(注意避免路由环),如果没有,选择其它簇内邻居,图中N5选择M5,N5将数据包成功的交给簇M内的成员,由簇M负责将数据包转发至目的节点。此时N5路由表下一跳字段更改为M5,路由过期时间为邻居节点M5的过期时间,直至N5再次收到同簇内的节点转发的RREQ更新路由。同时N5将N4的故障信息及时通知上层网络。
路由维护的过程见图4流程图。

图4 本地节点维护路由流程
无线传感器网络在智能交通中应用的有着巨大前景,在道路交通中,传感网又有其特殊的网络拓扑结构,带状的拓扑结构。本文结合无线传感器网络的特点,研究适合带状拓扑结构的易实现的网络路由协议。
1 网络结构及路由分析
现有的路由技术的局限性使其不能直接用于传感器网络,而针对移动Ad Hoc网络设计的组网和通信协议一般也不适合于传感器网络。其重要原因之一是其扩展性的要求不同,移动Ad Hoc网络相对节点的移动性来讲,扩展性问题并不十分突出;而传感器网络要求支持大规模网络,节点的移动性较弱甚至没有,主要问题变为如何延长网络的生存时间。这决定了两种网络有不同的优化目标。因此,有必要针对交通示范工程中交通信息数据采集、传输等特点,研究传感器网络路由协议,重点解决提高扩展性、低功耗、适应网络拓扑结构的变化等问题。
带状拓扑的网络,如图1,网络呈树型链状结构,借用分级网络的概念,将网络分为两层,底层是传感器节点采集环境参数,高层是网络的汇聚节点,或是本地区小网络的管理中心,汇聚本地区的信息经数据融合后传至更高层的网络。由于带状网络的特殊性,按地理位置将底层网络分为多个簇,合理的簇结构是按链的方向分簇,并不指定簇头,所以底层网络也可称为无簇头的分级网络。正常情况下,不同簇间节点互不通信,所有节点的采集信息经本簇节点传送至上层网络。

图1 带状结构的网络拓扑图
如图1中,将底层分为M、N、P三个簇,簇内成员数可以在带状区域任意扩展。上层网络节点B可以高速移动。
这样一个带状结构的网络,路由建立与维护都有其特殊性。由于底层节点无需移动,或在某一范围缓慢移动,其目的是将采集的信息传至上层移动的节点。所以底层网络路由采用表驱动方式。由上层网络节点来建立整个网络的路由,但维护路由的任务却由本地节点来完成。
2 带状网络结构路由协议
2.1 路由建立
路由建立过程的思想是,由上层节点在全网范围内广播路由请求数据包RREQ,底层节点收到RREQ后即更新邻居链表,同时更新路由表,然后同样以广播的方式转发RREQ,但只转发同一簇内的RREQ;本地节点在同一簇内建立路由,但维护的邻居链表包括整个网络的邻居信息,以记录网络的连通性。
借用AODV路由协议中RREQ包格式,定义协议RREQ格式如表1[3,4]。

其中,包类型:用于标明该数据包是RREQ包,广播包;源地址:发起RREQ的节点地址,应为上层网络节点的地址;跳数:源节点到接收到RREQ包的节点经过的跳段数;广播ID:由源节点维护的序列号,用于唯一标识RREQ包。

其中,目的节点:记录目的节点地址,应为上层网络节点的地址;路由状态:路由是否有效标志;下一跳:本地节点到目的节点的下一跳节点地址;路由过期时间:路由不再有效的时间点。
按照建立路由过程中不同节点的作用,路由建立过程如下:
1)上层移动节点:向全网广播RREQ用于建立路由;接收各个簇内节点携带信息的数据包。如图1中节点B。由广播ID和源地址序列对唯一标识RREQ,用于判断处理是否收到重复的RREQ包
2)可以和移动节点直接通信的节点:接收到RREQ后,首先更新邻居链表,然后将本地路由表里的下一跳写下B,更新路由表。如图1中,M3、N3、P3此时和B直接相连,分别是三个簇内其它节点接入上层节点的出口。

图2 本地节点建立路由流程
3)底层网络中其它节点:M3、N3、P3接到B的RREQ,更新路由表后同样以广播的方式转发RREQ,此时不同簇内节点会互相收到转发的RREQ,利用此信息更新本地节点的邻居链表。例如图1中,N4收到N3转发的RREQ,同时也可能收到M3、P3转发的RREQ,N4利用此信息更新其邻居链表。但N4用同一簇成员转发的RREQ更新路由表,路由表中下一跳记录为N3地址,然后丢掉接收到的其它同一RREQ包。同样以广播的方式再次转发RREQ。这样处理的好处是,在同一簇内广播RREQ,即建立了路由,记录了本地节点的所有邻居节点,包括其它簇内的邻居节点,又有效的避免了RREQ在整个网络中引起“广播风暴”的问题。其它节点均按同样的方式处理,直到RREQ包达到最大的网络半径。
路由建立的过程见图2的流程图。
2.2 路由维护
在带状的拓扑结构里,同一簇内邻居节点有限,多数情况下只有左右两个节点是其邻居节点,如果某一节点由于能量耗尽,簇内节点可能会断开,将影响网络的健壮性和可扩展性,如图3,节点N4由于某种原因不再具有传感器节点的功能,N4以右的节点按先前发现的路由无法将数据传送至目的节点B,因此必须采取某种措施以维护网络的连通性。节点同时拥有其它簇内的邻居节点,可以借助其它簇内的节点续传数据包。

图3 网络故障时路由的维护
鉴于带状拓扑结构的特殊性,数据报文在找到目的节点的方向(即路由)后,如“接力”的方式依次往下传,所以不采用端到端的应答方式,而采用点到点的应答,这样节点能够知道下一节点的状态,发送数据包时,如果不能收到下一跳节点的应答包,则重复发送一次,仍然没有应答情况下,即认为下一跳发生故障,立刻从邻居链表中选择其它簇内的邻居节点作为下一跳节点,由此簇节点负责传送数据包。
在图3中,N5以右的数据包转发至N5后,由于N5没有收到N4的应答, N5需要从邻居链表中选择其一作为下一跳,如果有簇内其它邻居节点(如N3也是N5邻居),优先选择(注意避免路由环),如果没有,选择其它簇内邻居,图中N5选择M5,N5将数据包成功的交给簇M内的成员,由簇M负责将数据包转发至目的节点。此时N5路由表下一跳字段更改为M5,路由过期时间为邻居节点M5的过期时间,直至N5再次收到同簇内的节点转发的RREQ更新路由。同时N5将N4的故障信息及时通知上层网络。
路由维护的过程见图4流程图。

图4 本地节点维护路由流程
- 多核及虚拟化技术在工业和安全领域的应用(05-23)
- 基于ARM核的AT75C220及其在指纹识别系统中的应用(05-24)
- 基于音频信号的轴承故障诊断方法(03-17)
- 采用信号调理IC驱动应变片电桥传感器(05-26)
- 基于nRF2401智能无线火灾监控系统设计(04-01)
- 家居安防无线监控报警系统(04-02)
