一种基于局部信息的脸部特征定位方法
时间:12-07
来源:互联网
点击:
2.2 纹理建模
对于训练集中每幅人脸图像,笔者定义了一组特征点,Pi(i=1,2,…,n),n是特征点的个数(选取了58个)。对于每个点,Gabor特征计算方法如下
以第i幅图第j个特征点为中心在其周围选取一个半径为4的圆形邻域Rij,这里i=1,2,…,N,N为训练集中图像的个数,j=1,2,…,n,n是特征点的个数,计算该区域内每个点对应的Gabor Jet,将这些Jet连接合成一个新的复矢量JetL,J’ij作为该点的局部特征。假设第j个点对应的J’ij(i=1,…,N)服从多变量高斯分布,求其均值为

从而用每个均值来代替表示所有的J’ij。
2.3 搜索过程
搜索与标准ASM的搜索过程类似,只是在估计当前点的偏移量时有所不同。当前点偏移量的估计采取在特征点当前位置周围取块进行全搜索的方法,具体做法如下:以当前Pi点为中心在其周围取一个大小为16×16的方形邻域Rei,采用与建模时相同方法计算邻域中每个点处的特征复矢量Jjs(s=1,…,256)。在Jjs中搜索与该点模型相似度最大的,并将对应点的位置作为当前点的新位置。选取的判定准则为

可知,只需使上式中f(s)取得最小值便可以获得当前点Pj的偏移量dxj。相同的方法计算得到各点的偏移量,从而得到形状的改变量dx。
3 实验结果及分析
为了测试文中提出的方法RGASM的有效性,将它与ASM方法进行比较。这里所用的人脸库是IMM库,从库中挑选了每人两幅共80幅人脸图像作为训练集。图像的大小为640×480,每幅图已经进行了特征点的人工标定。特征点个数为58个,分布在眉毛、眼睛、鼻子、嘴以及外轮廓部位。
这里分别做两种误差估计,一种是针对单幅图像的偏差估计,计算给定图像中搜索得到的特征点位置与对应的人工标定位置的偏移量。如图4所示,x坐标为特征点搜索所得位置与目标位置的平均偏移量(以像素为单位),y坐标为偏移量为对应值的特征点个数占图像中特征点总数的百分比。

从图4可以看出,通过RGASM方法得到的定位结果在平均误差上小于ASM的平均定位误差,方差也较小,算法对各特征点定位效果均衡。因此,与ASM方法相比,采用RGASM方法进行特征定位可以在单幅图像的特征点意义上取得好的定位效果。
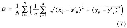
另一种是针对整个测试集的平均偏差估计,度量准则为欧式距离

其中N为测试图像的个数,n为标定特征点的个数,这里N取值为30,为58。(xij,yij)表示在第i幅测试图像中的j个标定点人工标定的位置,而(x’ij,y’ij)为搜索得到的位置坐标。

表l给出了RGASM方法与ASM方法在特征定位上的效果比较情况。该测试说明在训练集较小时RGASM方法在定位精度上与ASM相比具有一定的优势。
测试是在CPU为Pentium(R)43.0 GHz的计算机上完成的,采用标准ASM方法处理一幅图像的平均时间为0.2~0.4 s,文中的RGASM方法的平均时间为0.6~0.9 s。可以看出,文中提出的方法是有效、可行的。
4 结束语
文中提出了一种基于局部纹理信息的脸部特征定位方法,在纹理建模时对特征点及其给定邻域各点均做Gabor变换以作为该特征点的局部纹理特征,然后采用统计方法进行局部纹理建模,搜索时采用在当前位置周围取块进行全搜索的方法进行特征的搜索定位。实验结果表明,该方法是一种有效的脸部特征定位方法。
对于训练集中每幅人脸图像,笔者定义了一组特征点,Pi(i=1,2,…,n),n是特征点的个数(选取了58个)。对于每个点,Gabor特征计算方法如下
以第i幅图第j个特征点为中心在其周围选取一个半径为4的圆形邻域Rij,这里i=1,2,…,N,N为训练集中图像的个数,j=1,2,…,n,n是特征点的个数,计算该区域内每个点对应的Gabor Jet,将这些Jet连接合成一个新的复矢量JetL,J’ij作为该点的局部特征。假设第j个点对应的J’ij(i=1,…,N)服从多变量高斯分布,求其均值为

从而用每个均值来代替表示所有的J’ij。
2.3 搜索过程
搜索与标准ASM的搜索过程类似,只是在估计当前点的偏移量时有所不同。当前点偏移量的估计采取在特征点当前位置周围取块进行全搜索的方法,具体做法如下:以当前Pi点为中心在其周围取一个大小为16×16的方形邻域Rei,采用与建模时相同方法计算邻域中每个点处的特征复矢量Jjs(s=1,…,256)。在Jjs中搜索与该点模型相似度最大的,并将对应点的位置作为当前点的新位置。选取的判定准则为

可知,只需使上式中f(s)取得最小值便可以获得当前点Pj的偏移量dxj。相同的方法计算得到各点的偏移量,从而得到形状的改变量dx。
3 实验结果及分析
为了测试文中提出的方法RGASM的有效性,将它与ASM方法进行比较。这里所用的人脸库是IMM库,从库中挑选了每人两幅共80幅人脸图像作为训练集。图像的大小为640×480,每幅图已经进行了特征点的人工标定。特征点个数为58个,分布在眉毛、眼睛、鼻子、嘴以及外轮廓部位。
这里分别做两种误差估计,一种是针对单幅图像的偏差估计,计算给定图像中搜索得到的特征点位置与对应的人工标定位置的偏移量。如图4所示,x坐标为特征点搜索所得位置与目标位置的平均偏移量(以像素为单位),y坐标为偏移量为对应值的特征点个数占图像中特征点总数的百分比。

从图4可以看出,通过RGASM方法得到的定位结果在平均误差上小于ASM的平均定位误差,方差也较小,算法对各特征点定位效果均衡。因此,与ASM方法相比,采用RGASM方法进行特征定位可以在单幅图像的特征点意义上取得好的定位效果。
另一种是针对整个测试集的平均偏差估计,度量准则为欧式距离

其中N为测试图像的个数,n为标定特征点的个数,这里N取值为30,为58。(xij,yij)表示在第i幅测试图像中的j个标定点人工标定的位置,而(x’ij,y’ij)为搜索得到的位置坐标。

表l给出了RGASM方法与ASM方法在特征定位上的效果比较情况。该测试说明在训练集较小时RGASM方法在定位精度上与ASM相比具有一定的优势。
测试是在CPU为Pentium(R)43.0 GHz的计算机上完成的,采用标准ASM方法处理一幅图像的平均时间为0.2~0.4 s,文中的RGASM方法的平均时间为0.6~0.9 s。可以看出,文中提出的方法是有效、可行的。
4 结束语
文中提出了一种基于局部纹理信息的脸部特征定位方法,在纹理建模时对特征点及其给定邻域各点均做Gabor变换以作为该特征点的局部纹理特征,然后采用统计方法进行局部纹理建模,搜索时采用在当前位置周围取块进行全搜索的方法进行特征的搜索定位。实验结果表明,该方法是一种有效的脸部特征定位方法。
滤波器 相关文章:
- 基于nRF2401智能小区无线抄表系统集中器设计(04-30)
- 卫星电源分系统可靠性设计与研究(02-12)
- 新型锁相环芯片全面提升红外无线麦克风产品性能(05-04)
- 基于音频信号的轴承故障诊断方法(03-17)
- 基于nRF2401智能无线火灾监控系统设计(04-01)
- 提高实时系统数据采集质量的研究(04-09)
