基于主从式双处理器的光纤比色测温仪软件设计
时间:12-06
来源:互联网
点击:
介绍一种基于DSP和MCU双处理器的内调制光纤比色测温仪的设计原理。测温仪以AT89C55和TMS320F206为核心,对内调制光电探测器进行线性补偿和温度补偿,并加入比辐射率的修正。本系统能够对环境温度变化大、周围环境恶劣的高温物体进行高精度的温度测量。
在冶金、钢铁、建筑材料、化工等众多行业中,温度是确保顺利生产和质量控制的重要参数。温度测量直接关系到产品的质量,关系到生产成本。熔融状态下,钢、铁温度在1200℃以上,主要测量方法有接触式的金属热电偶温度计和非接触式的辐射温度计。
内调制光电管利用内调制机制,把高温物体辐射出的光信号直接转化为受调制的交流信号,方便了后级放大处理,简化了测试设备,克服了直流放大的缺点,为提高系统信噪比和可靠性奠定了基础。笔者对利用内调制探测器进行高温测量开展了多年的应用研究,并研制出了基于单片机的光纤比色温度仪;
基本上能完成温度测量的功能。从武钢连铸、济钢转炉等生产现场的使用情况看,仪器还可以进一步改进。由于单片机先天数据处理能力不足,当要建立较为完善的处理模型,例如进行线性补偿及温度补偿;
发射系数修正、甚至进行四比色测温时,面对大量的数据要进行复杂快速的处理,单片机已不可能实现实时测温。引入DSP对数据进行高效处理,强有力地提升了测温仪的功能。采用主从式双处理器结构能较好地解决这些问题,并且还具有进一步开发的潜力。
1 系统测温原理
从经典物理学的观点看,任何黑体都会向外辐射能量,其辐射出度与温度及波长有关,具体有普郎克定律和维恩定律描述。而物体的比色温度简称色温是指如果黑体与实际物体在某一光谱区内的两个波长下的单色亮度之比相等,则黑体的温度为实际物体的颜色温度。
根据比色测温原理,假设两路不同波长辐射转换后的光电流分别为I1和I2,T为待求温度,则可以写出:
I1=Mλ1D1 (1)
I2=Mλ2D2 (2)
式中,M是单色辐射出度,由维恩近似公式得到

由此可以得到:

D1和D2分别为两路系统的系数,C1和C2分别为普朗克第一、第二辐射常数。当λ1和λ2两单色波长接近时,求出两路光强比值,即可以计算出被测物体的温度T。
2 系统结构及设计
2.1 系统的信号处理总体流程
测温仪系统主要由内调制光电探测器、前置模拟处理部分和以单片机、DSP为核心的双处理器控制及处理部分构成。
内调制光敏探测器输出的微弱电信号由前置模拟电路处理,得到与光强成正比的电压信号;两路光电信号由两个独立的16位高精度模数转换器MAX195同步采集,同时数字温度传感器DS18B20得到环境温度数据,单片机将这些数据传递给DSP;DSP再根据事先设定的修正模式及参数经过运算处理后,得到被测温度数据,反馈给单片机;由单片机根据用户的操作将温度数据输出到LED、微型打印机、上传给微机或者通过D/A转换以电流形式输出给监控仪表。
2.2 测温仪硬件结构
测温仪硬件结构如图1所示。

系统软件由两部分组成:作为主机的单片机MCU部分主要完成系统的外部接口、控制功能;作为从机的数字信号处理器则通过主机传送来的各种数据通过一系列修正模型计算出温度,然后将结果返回给主机。
这样将原本由单片机处理需要花费很长时间的数学模型计算交给DSP,让MCU和DSP各取所长,使得整个系统计算温度的速度大大提高,提高了测温仪的实时响应特性。
2.2.1 单片机MCU部分
单片机主要负责信号的采集和人机接口。主要包括A/D采集和转换模块、与数字温度传感器DS18B20的接口模块、显示模块以及键盘输入处理模块。
由于光敏管具有非线性特性,此外还受环境温度的影响,因此,为提高测量精度,不仅要对其非线性进行校正,还要对其温度特性进行补偿,这就导致其数字信号修正表是二维的。大量实验结果表明,内调制光敏管的输出特性随温度变化的漂移相对其非线性较小,故先校正非线性特性,再对温度进行补偿。
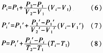
设被测物体辐射出的光信号经过内调制光敏管转换后变成微弱电压信号,再由放大器放大,然后经A/D转换得到的结果为Vi,测得环境温度为Ti,假设T1≤Ti≤T2,对应于修正表中的位置查表可以得到:在T1环境温度时处于V1、V2之间,在T2温度时处于V1′、V2′之间,分别查表得到光强值P1、P2和P1′、P2′,于是插值得到Pi、Pi′。

P为插值校正后的值,内调制光电探测器输出电流I与光强值P成正比,代入公式(5)便可以得到物体的色温。
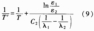
虽然选取两个接近的波长作为测温仪的工作波段,希望两个波长处的单色辐射率近似相等,使得非黑体的色温与它的实际温度相等。但作为高精度的测量,仍不能忽视在冶金行业等工业生产过程中,有某些金属材料的辐射率随波长的增加而减少,即所测的色温高于物体的真实温度。为了得到更精确的测量结果,必须考虑比辐射率的修正。考虑到实际被测物体为非黑体,可以得到:

其中,T为非黑体的色温,T′为非黑体的实际温度。通过(9)式的修正,可以得到更为精确的结果。
2.2.2 针对不同测温对象的模式处理
可以说,经过线性补偿、环温补偿以及各种修正的加入后,仪器已经能应付绝大部分高温测量的需要。但在某些特定的应用中,仍需根据现场的特殊环境和要求使测温仪能够更好地适应不同的环境。
(1)连铸现场钢板测量模式:高温的钢板上会有块状的氧化层附着,氧化层的温度相比钢板的表面温度要低得多。在生产中需要测量钢板表面的温度,而不是附着在其上的块状氧化层的温度。因此如果不做任何处理,那么测温仪的示值与钢板表面的温度肯定是不相符的。这种情况下,在DSP的数字滤波处理程序上必须能够除掉氧化层的影响。
(2)转炉钢水温度测量模式:程序通过信号的检测,判断出转炉的生产工作状态。当转炉转动到一定角度时系统开始测量,在转炉回转之前可以通过分析信号准确得出钢水的温度,而不是炉内钢渣等其他干扰物质的温度。将此温度值保持到下次转动炉体出钢,以便工人记录操作。由于现场干扰信号较大,要求软件能剔除大量干扰信号。出钢时炉口有大量的烟尘、炽热的火焰,为得到钢水的温度,程序把连续测量的温度值存储下来后,利用统计误差修正的方法对大量数据进行处理,得到接近真实情况的温度值。

在冶金、钢铁、建筑材料、化工等众多行业中,温度是确保顺利生产和质量控制的重要参数。温度测量直接关系到产品的质量,关系到生产成本。熔融状态下,钢、铁温度在1200℃以上,主要测量方法有接触式的金属热电偶温度计和非接触式的辐射温度计。
内调制光电管利用内调制机制,把高温物体辐射出的光信号直接转化为受调制的交流信号,方便了后级放大处理,简化了测试设备,克服了直流放大的缺点,为提高系统信噪比和可靠性奠定了基础。笔者对利用内调制探测器进行高温测量开展了多年的应用研究,并研制出了基于单片机的光纤比色温度仪;
基本上能完成温度测量的功能。从武钢连铸、济钢转炉等生产现场的使用情况看,仪器还可以进一步改进。由于单片机先天数据处理能力不足,当要建立较为完善的处理模型,例如进行线性补偿及温度补偿;
发射系数修正、甚至进行四比色测温时,面对大量的数据要进行复杂快速的处理,单片机已不可能实现实时测温。引入DSP对数据进行高效处理,强有力地提升了测温仪的功能。采用主从式双处理器结构能较好地解决这些问题,并且还具有进一步开发的潜力。
1 系统测温原理
从经典物理学的观点看,任何黑体都会向外辐射能量,其辐射出度与温度及波长有关,具体有普郎克定律和维恩定律描述。而物体的比色温度简称色温是指如果黑体与实际物体在某一光谱区内的两个波长下的单色亮度之比相等,则黑体的温度为实际物体的颜色温度。
根据比色测温原理,假设两路不同波长辐射转换后的光电流分别为I1和I2,T为待求温度,则可以写出:
I1=Mλ1D1 (1)
I2=Mλ2D2 (2)
式中,M是单色辐射出度,由维恩近似公式得到

由此可以得到:

D1和D2分别为两路系统的系数,C1和C2分别为普朗克第一、第二辐射常数。当λ1和λ2两单色波长接近时,求出两路光强比值,即可以计算出被测物体的温度T。
2 系统结构及设计
2.1 系统的信号处理总体流程
测温仪系统主要由内调制光电探测器、前置模拟处理部分和以单片机、DSP为核心的双处理器控制及处理部分构成。
内调制光敏探测器输出的微弱电信号由前置模拟电路处理,得到与光强成正比的电压信号;两路光电信号由两个独立的16位高精度模数转换器MAX195同步采集,同时数字温度传感器DS18B20得到环境温度数据,单片机将这些数据传递给DSP;DSP再根据事先设定的修正模式及参数经过运算处理后,得到被测温度数据,反馈给单片机;由单片机根据用户的操作将温度数据输出到LED、微型打印机、上传给微机或者通过D/A转换以电流形式输出给监控仪表。
2.2 测温仪硬件结构
测温仪硬件结构如图1所示。

系统软件由两部分组成:作为主机的单片机MCU部分主要完成系统的外部接口、控制功能;作为从机的数字信号处理器则通过主机传送来的各种数据通过一系列修正模型计算出温度,然后将结果返回给主机。
这样将原本由单片机处理需要花费很长时间的数学模型计算交给DSP,让MCU和DSP各取所长,使得整个系统计算温度的速度大大提高,提高了测温仪的实时响应特性。
2.2.1 单片机MCU部分
单片机主要负责信号的采集和人机接口。主要包括A/D采集和转换模块、与数字温度传感器DS18B20的接口模块、显示模块以及键盘输入处理模块。
由于光敏管具有非线性特性,此外还受环境温度的影响,因此,为提高测量精度,不仅要对其非线性进行校正,还要对其温度特性进行补偿,这就导致其数字信号修正表是二维的。大量实验结果表明,内调制光敏管的输出特性随温度变化的漂移相对其非线性较小,故先校正非线性特性,再对温度进行补偿。
设被测物体辐射出的光信号经过内调制光敏管转换后变成微弱电压信号,再由放大器放大,然后经A/D转换得到的结果为Vi,测得环境温度为Ti,假设T1≤Ti≤T2,对应于修正表中的位置查表可以得到:在T1环境温度时处于V1、V2之间,在T2温度时处于V1′、V2′之间,分别查表得到光强值P1、P2和P1′、P2′,于是插值得到Pi、Pi′。

P为插值校正后的值,内调制光电探测器输出电流I与光强值P成正比,代入公式(5)便可以得到物体的色温。
虽然选取两个接近的波长作为测温仪的工作波段,希望两个波长处的单色辐射率近似相等,使得非黑体的色温与它的实际温度相等。但作为高精度的测量,仍不能忽视在冶金行业等工业生产过程中,有某些金属材料的辐射率随波长的增加而减少,即所测的色温高于物体的真实温度。为了得到更精确的测量结果,必须考虑比辐射率的修正。考虑到实际被测物体为非黑体,可以得到:

其中,T为非黑体的色温,T′为非黑体的实际温度。通过(9)式的修正,可以得到更为精确的结果。
2.2.2 针对不同测温对象的模式处理
可以说,经过线性补偿、环温补偿以及各种修正的加入后,仪器已经能应付绝大部分高温测量的需要。但在某些特定的应用中,仍需根据现场的特殊环境和要求使测温仪能够更好地适应不同的环境。
(1)连铸现场钢板测量模式:高温的钢板上会有块状的氧化层附着,氧化层的温度相比钢板的表面温度要低得多。在生产中需要测量钢板表面的温度,而不是附着在其上的块状氧化层的温度。因此如果不做任何处理,那么测温仪的示值与钢板表面的温度肯定是不相符的。这种情况下,在DSP的数字滤波处理程序上必须能够除掉氧化层的影响。
(2)转炉钢水温度测量模式:程序通过信号的检测,判断出转炉的生产工作状态。当转炉转动到一定角度时系统开始测量,在转炉回转之前可以通过分析信号准确得出钢水的温度,而不是炉内钢渣等其他干扰物质的温度。将此温度值保持到下次转动炉体出钢,以便工人记录操作。由于现场干扰信号较大,要求软件能剔除大量干扰信号。出钢时炉口有大量的烟尘、炽热的火焰,为得到钢水的温度,程序把连续测量的温度值存储下来后,利用统计误差修正的方法对大量数据进行处理,得到接近真实情况的温度值。

DSP MCU 单片机 电流 模拟电路 电压 传感器 LED 温度传感器 放大器 相关文章:
- 基于ARM与DSP的嵌入式运动控制器设计(04-25)
- 基于ARM核的AT75C220及其在指纹识别系统中的应用(05-24)
- 智能视频多媒体技术的应用(05-31)
- 提高实时系统数据采集质量的研究(04-09)
- 2009视频监控:网络化及其推动的几大趋势(06-03)
- 高清化:视频监控领域的下一个里程碑(06-04)
