基于矢量控制的高性能异步电机速度控制器的设计
时间:12-04
来源:互联网
点击:
可靠性和实时性是对控制系统的基本要求,最初的电机控制都是采用分立元件的模拟电路。随着电子技术的进步,以脉宽调制(PWM)为基础的变频调速技术已广泛应用于电机控制中。在数字化趋势广泛流行的今天,集成电路甚至电机控制专用集成电路已大量应用在电机控制中。特别是最近几年兴起一种全新的设计思想,即基于现场可编程门阵列(FPGA)的硬件实现技术。该技术可以应用于基于矢量控制的异步电机变频调速系统中。FPGA本身是标准的单元阵列,没有一般的IC所具有的功能,但用户可以根据自己的需要,通过专门的布局布线工具对其内部进行编程,在最短的时间内设计出自己的专用集成电路,从而大大地提高了产品的竞争力。由于FPGA以纯硬件的方式进行并行处理,而且不占用CPU的资源,使系统可以达到很高的性能。这种设计方法应用于异步电机矢量控制变频调速系统时,一般把电流控制作为DSP 的协处理,转子速度和转子磁链算法由DSP 主机来实现。一般情况下,位置控制比较灵活,很难做到通用性,所以位置环节一般由DSP来完成,但速度控制和电流控制具有通用性,因此可以把它们集成到一个专用芯片中。这样,既可以实现速度控制,又可以对电流单独控制,还可以和DSP共同构成位置控制系统。如图1所示,若FPGA中集成有CPU内核,则可以把位置、速度、电流3种算法完全由1片FPGA来实现,从而实现真正的片上系统。

图1 异步电机速度控制器系统的集成化结构

图2 三相绕组与二相绕组的轴线设定
FPGA将半定制器件逻辑集成度高的优点与标准逻辑器件开发周期短和开发成本低的优点结合在一起后,具有结构灵活、高密度、高性能、开发工具先进、编程完毕后的成品无需测试和可实时在线检验等优点。本文介绍的异步电动机矢量控制调速系统按照模块化设计的基本思想,研究电流矢量控制、速度PI调节、电流 PI调节、反馈速度测量、电流磁链转换、SVPWM、 Clarke变换、 Park变换和Park逆变换等几个主要功能模块的数字结构,并在单片Xilinx FPGA 中完成了主要模块的布局布线,实现异步电机矢量控制速度控制器的专用集成电路。
1 矢量控制的基本原理
设异步电机三相绕组(A、B、C)与二相绕组(α、β)的轴线设定如图2所示,A相绕组轴线与α相绕组轴线重合,都是静止坐标,分别对应的交流电流为iA、iB、iC和iα、iβ。采用磁势分布和功率不变的绝对变换,三相交流电流在空间产生的磁势F与二相交流电流产生的磁势相等。即采用正交变换矩阵,则其正变换公式为:

其逆变换公式为:

由二相静止坐标系(α,β)到二相旋转坐标系(d-q)的变换称为Park变换。α、β为静止坐标系,d-q为任意角速度ω旋转的旋转坐标系。当α、β静止坐标系变换为d-q旋转坐标系时,坐标轴的设定如图3所示。图3中θ为α轴与d轴之间的夹角,d、q绕组在空间垂直放置,加上直流id和iq,并让d、q坐标以同步转速ω旋转,则产生的磁动势与α-β坐标系等效。d-q和α-β轴的夹角θ是一个变量,随负载、转速而变化,在不同的时刻有不同的值。Park变换,写成矩阵形式,其公式如下:


图3 α-β坐标
矢量控制亦称磁场定向控制,其基本思路是:模拟直流电机的控制方法进行控制,根据磁势和功率不变的原则通过正交变换,将三相静止坐标变换成二相静止坐标(Clarke变换即3Φ/α-β变换,其坐标变换关系如图2,定量关系如公式(1)),然后通过旋转变换将二相静止坐标变成二相旋转坐标(Park变换,即(α-β/d-q变换,坐标变换关系如图3,定量关系如公式(3))。在α-β/d-q变换下将定子电流矢量分解成按转子磁场定向的2个直流分量id、iq(其中id为励磁电流分量,iq为转矩电流分量),并对其分别加以控制,控制id就相当于控制磁通,而控制iq就相当于控制转矩。
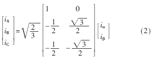
2个直流分量id和iq分别由速度和电流PI调节器经电流电压变换和Clarke逆变换(坐标变换关系如图2,定量关系如公式(2))、Park逆变换(坐标变换关系如图3,定量关系如式(4))和电压空间矢量变换后,获得控制逆变器的6路PWM信号,从而实现对异步电机的变压变频控制。
2 控制器的数字硬件设计
异步电机速度控制器的数字硬件设计主要包括Clarke变换、Clarke逆变换;Park变换、Park逆变换;电流PI调节模块、速度PI调节模块;电压空间矢量模块;转子磁链计算模块和速度检测模块等几个不同部分。矢量控制异步电机调速系统的主电路和数据运算路径如图4所示。
2.1 矢量变换模块设计
矢量变换包括相坐标以及坐标旋转正变换和反变换,式(1)~(4)给出了相应变换的定量运算公式。其中式(1)、(2)的数字实现比较简单,1个加法器和1个乘法器就可以完成变换运算;式(3)、(4)确定的坐标旋转正变换和逆变换,在工程实践中可以采用查正弦表或泰勒级数展开的方式进行计算,从而完成相应的功能。

图1 异步电机速度控制器系统的集成化结构

图2 三相绕组与二相绕组的轴线设定
FPGA将半定制器件逻辑集成度高的优点与标准逻辑器件开发周期短和开发成本低的优点结合在一起后,具有结构灵活、高密度、高性能、开发工具先进、编程完毕后的成品无需测试和可实时在线检验等优点。本文介绍的异步电动机矢量控制调速系统按照模块化设计的基本思想,研究电流矢量控制、速度PI调节、电流 PI调节、反馈速度测量、电流磁链转换、SVPWM、 Clarke变换、 Park变换和Park逆变换等几个主要功能模块的数字结构,并在单片Xilinx FPGA 中完成了主要模块的布局布线,实现异步电机矢量控制速度控制器的专用集成电路。
1 矢量控制的基本原理
设异步电机三相绕组(A、B、C)与二相绕组(α、β)的轴线设定如图2所示,A相绕组轴线与α相绕组轴线重合,都是静止坐标,分别对应的交流电流为iA、iB、iC和iα、iβ。采用磁势分布和功率不变的绝对变换,三相交流电流在空间产生的磁势F与二相交流电流产生的磁势相等。即采用正交变换矩阵,则其正变换公式为:

其逆变换公式为:

由二相静止坐标系(α,β)到二相旋转坐标系(d-q)的变换称为Park变换。α、β为静止坐标系,d-q为任意角速度ω旋转的旋转坐标系。当α、β静止坐标系变换为d-q旋转坐标系时,坐标轴的设定如图3所示。图3中θ为α轴与d轴之间的夹角,d、q绕组在空间垂直放置,加上直流id和iq,并让d、q坐标以同步转速ω旋转,则产生的磁动势与α-β坐标系等效。d-q和α-β轴的夹角θ是一个变量,随负载、转速而变化,在不同的时刻有不同的值。Park变换,写成矩阵形式,其公式如下:


图3 α-β坐标
矢量控制亦称磁场定向控制,其基本思路是:模拟直流电机的控制方法进行控制,根据磁势和功率不变的原则通过正交变换,将三相静止坐标变换成二相静止坐标(Clarke变换即3Φ/α-β变换,其坐标变换关系如图2,定量关系如公式(1)),然后通过旋转变换将二相静止坐标变成二相旋转坐标(Park变换,即(α-β/d-q变换,坐标变换关系如图3,定量关系如公式(3))。在α-β/d-q变换下将定子电流矢量分解成按转子磁场定向的2个直流分量id、iq(其中id为励磁电流分量,iq为转矩电流分量),并对其分别加以控制,控制id就相当于控制磁通,而控制iq就相当于控制转矩。
2个直流分量id和iq分别由速度和电流PI调节器经电流电压变换和Clarke逆变换(坐标变换关系如图2,定量关系如公式(2))、Park逆变换(坐标变换关系如图3,定量关系如式(4))和电压空间矢量变换后,获得控制逆变器的6路PWM信号,从而实现对异步电机的变压变频控制。
2 控制器的数字硬件设计
异步电机速度控制器的数字硬件设计主要包括Clarke变换、Clarke逆变换;Park变换、Park逆变换;电流PI调节模块、速度PI调节模块;电压空间矢量模块;转子磁链计算模块和速度检测模块等几个不同部分。矢量控制异步电机调速系统的主电路和数据运算路径如图4所示。
2.1 矢量变换模块设计
矢量变换包括相坐标以及坐标旋转正变换和反变换,式(1)~(4)给出了相应变换的定量运算公式。其中式(1)、(2)的数字实现比较简单,1个加法器和1个乘法器就可以完成变换运算;式(3)、(4)确定的坐标旋转正变换和逆变换,在工程实践中可以采用查正弦表或泰勒级数展开的方式进行计算,从而完成相应的功能。
模拟电路 电子 PWM 集成电路 电路 FPGA 电流 DSP 电动机 Xilinx 电压 逆变器 相关文章:
- 基于MSP430的新型自报式水文遥测终端机设计(06-20)
- 新型数字温度传感器ADT75的原理及应用(01-13)
- 基于ARM的钢铁材料裂纹电磁无损检测电路设计(03-15)
- 基于ARM9和MMC212xMG的数字寻北仪设计(03-16)
- 基于CS5550的工业测量仪表设计(03-13)
- 基于单片机EM78247的光伏发电系统太阳自动跟踪器(05-20)
