如何估算交换式电源中的电感功率耗损
时间:12-03
来源:互联网
点击:
电感器绕线的功率耗损
除了电感器磁芯的功率耗损外,其他耗损则会发生在电感器的绕线部份。在直流情况下,绕线的功率耗损来自于直流电阻以及流过电感器的RMS电流。实体上较小的电感器通常使用较小型的绕线,因此也会因为较小的截面面积,造成较高的直流电阻。此外,数值较大的电感器会拥有较多的绕线圈数,所以也会因为绕线长度的增加,带来较高的电阻。
在直流情况下,绕线的直流电阻会造成绕线耗损,当频率上升时,被称为表面效应(skin effect)的现象,会造成绕线电阻的增加。表面效应发生在电感器上电流i(t)变化时,此电流变化会造成正交于电流的磁通量变化;按照愣次定律,磁通量的变化,会产生与原本磁通变化反向磁通的涡流电流,因此这些电流的方向会与原本的电流相反。其所引发的磁通量在导体的中央最高,而在导体的表面最低,这将造成中央的电流密度,会随频率增加而由原本的直流值降低。这所衍生的效应是:电流会被推到导体的表面,造成导体中心整体电流密度更低,而表面电流密度更高。由于铜的电阻率相同、且导体的有效电流承载区会降低,因此会形成较高的电阻。
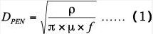
绕线的交流电阻,则由特定频率下导体电流存在的深度而定,这称为穿透深度(penetration depth),这是电流密度下降到表面电流密度(或直流)1/e时的点,这个点可以由以下方程式得出:

(公式一)
当导体本身为平滑表面、或是导体的半径高于穿透深度许多时,表面深度为精确值;同时,交流电阻只会因交流电流造成功率耗损。在降压型与升压型转换器上,交流电流为电感器的电流涟波,电感器的直流电流则只会在直流电阻上产生直流功率耗损。
交流电阻可以透过计算特定频率下铜导线的有效传导区,得知对在工作频率下具备比表面深度较大半径的导体来说,有效的传导区域为厚度相等于表面深度的环状传导表面区域大小,由于电阻率维持不变,因此交流电阻对直流电阻的比值,就是两个区域大小间的比率。
电感器绕线中的涡流电流,同时也会受到其他附近导体的影响,这被称为近接效应(proximity effect)。在具备许多重叠绕线与相邻绕线的电感器上,较高的涡流电流,相较于表面效应所单独影响的条件,电阻提升许多,但情况会因各种不同的组态、以及相互影响导体间的相对距离,显得更为复杂。
功率耗损的估算
若以(图五)显示简单电路来描述电感器的耗损,其中RC代表磁芯耗损,RAC与RDC分别代表交流与直流绕线耗损,RC可以透过磁芯耗损的估算取得,RAC与RDC则分别为:因表面效应与近接效应所引起的直流绕线电阻与交流电阻。

(图五) 功率电感的等效耗损模型示意图
内文:若以交换式电源控制器来架构此耗损模型范例,设定输入电压(VIN)为12V,输出电压(VOUT)为5V、且输出电流(IOUT)为2A的降压式转换器形式运作,并採4.7mH的电感,会带来621mA的电感电流涟波,相关磁芯耗损与磁通密度和频率的关系可参考(图四),其中峰对峰磁通密度才是重要关键,它会依循大型迟滞迴路中的小型迟滞迴路路径变化,请参考图二中的内迴路,峰对峰磁通密度则可以透过使用电感器资料规格书中所提供的方程式取得。另一方面,也可以使用电感器电压第二乘积除以绕线数以及绕线内磁芯的面积来取得。
在613高斯(Gauss)下的磁芯耗损大约为470mW,图五中的RC为电感器中造成磁芯功率耗损的等效并联电阻,这个电阻可以由电感器两端的RMS电压、以及磁芯功率耗损计算中取得。
除了电感器磁芯的功率耗损外,其他耗损则会发生在电感器的绕线部份。在直流情况下,绕线的功率耗损来自于直流电阻以及流过电感器的RMS电流。实体上较小的电感器通常使用较小型的绕线,因此也会因为较小的截面面积,造成较高的直流电阻。此外,数值较大的电感器会拥有较多的绕线圈数,所以也会因为绕线长度的增加,带来较高的电阻。
在直流情况下,绕线的直流电阻会造成绕线耗损,当频率上升时,被称为表面效应(skin effect)的现象,会造成绕线电阻的增加。表面效应发生在电感器上电流i(t)变化时,此电流变化会造成正交于电流的磁通量变化;按照愣次定律,磁通量的变化,会产生与原本磁通变化反向磁通的涡流电流,因此这些电流的方向会与原本的电流相反。其所引发的磁通量在导体的中央最高,而在导体的表面最低,这将造成中央的电流密度,会随频率增加而由原本的直流值降低。这所衍生的效应是:电流会被推到导体的表面,造成导体中心整体电流密度更低,而表面电流密度更高。由于铜的电阻率相同、且导体的有效电流承载区会降低,因此会形成较高的电阻。
绕线的交流电阻,则由特定频率下导体电流存在的深度而定,这称为穿透深度(penetration depth),这是电流密度下降到表面电流密度(或直流)1/e时的点,这个点可以由以下方程式得出:

(公式一)
当导体本身为平滑表面、或是导体的半径高于穿透深度许多时,表面深度为精确值;同时,交流电阻只会因交流电流造成功率耗损。在降压型与升压型转换器上,交流电流为电感器的电流涟波,电感器的直流电流则只会在直流电阻上产生直流功率耗损。
交流电阻可以透过计算特定频率下铜导线的有效传导区,得知对在工作频率下具备比表面深度较大半径的导体来说,有效的传导区域为厚度相等于表面深度的环状传导表面区域大小,由于电阻率维持不变,因此交流电阻对直流电阻的比值,就是两个区域大小间的比率。
电感器绕线中的涡流电流,同时也会受到其他附近导体的影响,这被称为近接效应(proximity effect)。在具备许多重叠绕线与相邻绕线的电感器上,较高的涡流电流,相较于表面效应所单独影响的条件,电阻提升许多,但情况会因各种不同的组态、以及相互影响导体间的相对距离,显得更为复杂。
功率耗损的估算
若以(图五)显示简单电路来描述电感器的耗损,其中RC代表磁芯耗损,RAC与RDC分别代表交流与直流绕线耗损,RC可以透过磁芯耗损的估算取得,RAC与RDC则分别为:因表面效应与近接效应所引起的直流绕线电阻与交流电阻。

(图五) 功率电感的等效耗损模型示意图
内文:若以交换式电源控制器来架构此耗损模型范例,设定输入电压(VIN)为12V,输出电压(VOUT)为5V、且输出电流(IOUT)为2A的降压式转换器形式运作,并採4.7mH的电感,会带来621mA的电感电流涟波,相关磁芯耗损与磁通密度和频率的关系可参考(图四),其中峰对峰磁通密度才是重要关键,它会依循大型迟滞迴路中的小型迟滞迴路路径变化,请参考图二中的内迴路,峰对峰磁通密度则可以透过使用电感器资料规格书中所提供的方程式取得。另一方面,也可以使用电感器电压第二乘积除以绕线数以及绕线内磁芯的面积来取得。
在613高斯(Gauss)下的磁芯耗损大约为470mW,图五中的RC为电感器中造成磁芯功率耗损的等效并联电阻,这个电阻可以由电感器两端的RMS电压、以及磁芯功率耗损计算中取得。
MOSFET 电容 电感 电流 电路 电压 电阻 相关文章:
- 航天器DC/DC变换器的可靠性设计(02-12)
- 采用信号调理IC驱动应变片电桥传感器(05-26)
- 安森美90W太阳能LED街灯高能效解决方案(05-18)
- LED照明全方位渗透,高能效驱动方案点亮前景(11-17)
- 高效的500W太阳能逆变器设计(12-22)
- LED日光灯设计方案(12-22)
