基于交流永磁同步电机的全数字伺服控制系统
时间:12-04
来源:互联网
点击:
根据永磁同步电机的数学模型和矢量控制原理,通过仿真和实验研究,开发出一套基于DSP控制的伺服系统,并给出了相应的实验结果验证该系统的可行性。
目前,交流伺服系统广泛应用于数控机床,机器人等领域,在这些要求高精度,高动态性能以及小体积的场合,应用交流永磁同步电机(PMSM)的伺服系统具有明显优势。PMSM本身不需要励磁电流,在逆变器供电的情况下,不需要阻尼绕组,效率和功率因数都比较高,而且体积较同容量的异步电机小。近几年来,随着微电子和电力电子技术的飞速发展,越来越多的交流伺服系统采用了数字信号处理器(DSP)和智能功率模块(IPM),从而实现了从模拟控制到数字控制的转变。促使交流伺服系统向数字化、智能化、网络化方向发展。本文介绍了一种永磁同步电机的伺服系统设计方法,它采用F240DSP作为控制芯片,同时采用定子磁场定向原理(FOC)进行控制。实验结果证明,该系统设计合理,性能可靠,并已成功地应用于实际的伺服控制系统中。
1 PMSM数学模型
永磁电机可分为两种:一种输入电流为方波,也称为无刷直流电机(BLDCM);另一种输入电流为正弦波,也称为永磁同步电机(PMSM)。本文针对后者的系统设计。为建立永磁同步电动机的转子轴(dq轴)数学模型,作如下假定:
1)忽略电机铁心的饱和;
2)不计电机的涡流和磁滞损耗;
3)转子没有阻尼绕组。
在上述假定下,以转子参考坐标(轴)表示的电机电压方程如下:
定子电压方程
ud=Rsid+pψd-ωeψq (1)
uq=Rsiq+pψq+ωeψd (2)
定子磁链方程
ψd=Ldid+ψf (3)
ψq=Lqiq (4)
电磁转矩方程
Tem=3/2Pn[ψfiq+(Ld-Lq)idiq] (5)
电机的运动方程
J(dwm/dt)=Tem-TL (6)
式中:ud,uq为d,q轴电压;
id,iq为d,q轴电流;Ld,Lq为定子电感在d,q轴下的等效电感;
Rs为定子电阻;
ωe为转子电角速度;
ψf为转子励磁磁场链过定子绕组的磁链;
p为微分算子;
Pn为电机极对数;
ωm为转子机械转速;
J为转动惯量;
TL为负载转矩。

2 矢量控制策略
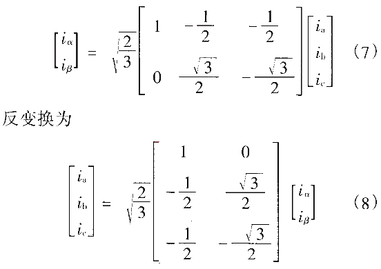
上述方程是通过a,b,c坐标系统到d,q转子坐标系统的变换得到的。这里取转子轴为d轴,q轴顺着旋转方向超前d轴90%26;#176;电角度。其坐标变换如下。
2.1 克拉克(CLARKE)变换

2.2 帕克(PARK)变换

从转子坐标来看,对于定子电流可以分为两部分,即力矩电流iq和励磁电流id。因此,矢量控制中通常使id=0来保证用最小的电流幅值得到最大的输出转矩。此时,式(6)的电机转矩表达式为
Tem=(3/2)Pnψfiq(11)
由式(11)看出,Pn及ψf都是电机内部参数,其值恒定,为获得恒定的力矩输出,只要控制iq为定值。从上面dq轴的分析可知,iq的方向可以通过检测转子轴来确定。从而使永磁同步电机的矢量控制大大简化。图1是其系统的控制框图,该系统可以工作于速度给定和位置给定模式下,并且PWM调制方法采用空间矢量调制法。
3 系统软硬件设计
3.1 硬件设计
3.1.1 DSP以及周边资源
以DSP为核心的伺服系统硬件如图2所示。整个系统的控制电路由DSP组成。DSP作为控制核心,接受外部信息后判断伺服系统的工作模式,并转换成逆变器的开关信号输出,该信号经隔离电路后直接驱动IPM模块给电机供电。另外EEPROM用于参数的保存和用户信息的存储。
3.1.2 功率电路
整个主电路先经不控整流,后经全桥逆变输出。逆变器选用IGBT的智能控制模块。模块内部集成了驱动电路,并设计有过电压、过电流、过热、欠电压等故障检测保护电路。系统的辅助电源采用开关电源,主要供电包括6路开关管的驱动电源,DSP,IO接口控制芯片的电源和采样LEM。

3.1.3 电流采样电路
本系统的设计要求至少采用两相电流,由于负载的对称性,故采样ib和ic两相电流。采样电路采用霍尔传感器并经模拟电路处理在%26;#177;5V的电压范围内,再经双极性A/D转换芯片后送入DSP内。
3.1.4 转子位置检测电路
电机反馈采用增量式光电编码器,该编码器分辨率为2500脉冲/转,输出信号包括A,B,Z,U,V,W等脉冲,其中A和B信号互差90%26;#176;(电角度),DSP通过判断A和B的相位和个数可以得到电机的转向和速度。通过采集这些信号判断电机转子的位置和电机的转速。另外U,V,W三相互差120%26;#176;(电角度),用于在电机启动时判断电机转子的位置。
3.1.5 保护电路
系统在主电路中设置了过压、欠压、IGBT故障、电机过热、IPM过热、编码器故障检测等保护,故障信号经逻辑电路后可直接封锁开关脉冲,同时通过DSP的I/O口输入,通过软件检测来实现系统的保护。
3.2 软件设计
DSP伺服控制程序由3个部分组成:主程序、定时采样程序和DSP与周边资源的数据交换程序。
3.2.1 主程序
主程序内完成系统的初始化,I/O接口控制信号,DSP内各个控制模块寄存器的设置等,然后进入循环程序。
3.2.2 定时采样程序
定时采样程序是整个伺服控制程序的核心,在这里实现电流环、速度环的采样以及矢量控制、PWM信号生成、各种工作模式选择和I/O的循环扫描。其中,每个采样周期完成电流环的采样,开关信号的输出,速度环和位置环控制。PWM控制信号采用规则采样PWM调制方法生成,在每个采样周期中对每相电流进行一次误差判断以决定下个周期开关管的占空比。
3.2.3 数据交换程序
数据交换程序主要包括与上位机的通信程序,EEPROM中参数的存储,控制器键盘值的读取和显示程序。其中通信采用串行通信接口,根据特定的通信协议接受上位机的指令,并根据要求传送参数。键盘每隔0.2ms扫描一次,更新显示。

4 试验结果
上述伺服系统采用交流永磁同步伺服电机,其额定功率2.5kW,额定电流10A,额定转速2000r/min,额定转矩6N%26;#183;m,定子电感8.5mH,定子电阻2.8Ω。图3为空载下电机额定速度的起动波形,通过仿真获得。图4是定子电流的dq分量起动波形,通过仿真获得。图5是空载起动时的B相电流波形。图6是电机带载稳态运行时的B相电流波形。
仿真和实验结果表明该系统具有较快的动态响应和较高的控制精度,完全能够满足伺服系统的要求。并且该系统已经成功地应用于数控车床的伺服控制系统中,性能良好。
5 结语
本系统硬件上采用DSP的控制结构,电路设计简单,紧凑,满足了系统矢量控制的要求,同时,全数字化的控制使系统在控制精度,功能和抗干扰能力上都有了很大的提高。其次,在充分利用DSP内部资源的条件下,只须附加很少的电路元件,即可实现系统预定的功能,其低成本,高性能的控制特性使该系统具有很好的市场应用前景。另外,系统软件结构的合理设计也保证了系统的实时性和稳定性。
目前,交流伺服系统广泛应用于数控机床,机器人等领域,在这些要求高精度,高动态性能以及小体积的场合,应用交流永磁同步电机(PMSM)的伺服系统具有明显优势。PMSM本身不需要励磁电流,在逆变器供电的情况下,不需要阻尼绕组,效率和功率因数都比较高,而且体积较同容量的异步电机小。近几年来,随着微电子和电力电子技术的飞速发展,越来越多的交流伺服系统采用了数字信号处理器(DSP)和智能功率模块(IPM),从而实现了从模拟控制到数字控制的转变。促使交流伺服系统向数字化、智能化、网络化方向发展。本文介绍了一种永磁同步电机的伺服系统设计方法,它采用F240DSP作为控制芯片,同时采用定子磁场定向原理(FOC)进行控制。实验结果证明,该系统设计合理,性能可靠,并已成功地应用于实际的伺服控制系统中。
1 PMSM数学模型
永磁电机可分为两种:一种输入电流为方波,也称为无刷直流电机(BLDCM);另一种输入电流为正弦波,也称为永磁同步电机(PMSM)。本文针对后者的系统设计。为建立永磁同步电动机的转子轴(dq轴)数学模型,作如下假定:
1)忽略电机铁心的饱和;
2)不计电机的涡流和磁滞损耗;
3)转子没有阻尼绕组。
在上述假定下,以转子参考坐标(轴)表示的电机电压方程如下:
定子电压方程
ud=Rsid+pψd-ωeψq (1)
uq=Rsiq+pψq+ωeψd (2)
定子磁链方程
ψd=Ldid+ψf (3)
ψq=Lqiq (4)
电磁转矩方程
Tem=3/2Pn[ψfiq+(Ld-Lq)idiq] (5)
电机的运动方程
J(dwm/dt)=Tem-TL (6)
式中:ud,uq为d,q轴电压;
id,iq为d,q轴电流;Ld,Lq为定子电感在d,q轴下的等效电感;
Rs为定子电阻;
ωe为转子电角速度;
ψf为转子励磁磁场链过定子绕组的磁链;
p为微分算子;
Pn为电机极对数;
ωm为转子机械转速;
J为转动惯量;
TL为负载转矩。

2 矢量控制策略
上述方程是通过a,b,c坐标系统到d,q转子坐标系统的变换得到的。这里取转子轴为d轴,q轴顺着旋转方向超前d轴90%26;#176;电角度。其坐标变换如下。
2.1 克拉克(CLARKE)变换

2.2 帕克(PARK)变换

从转子坐标来看,对于定子电流可以分为两部分,即力矩电流iq和励磁电流id。因此,矢量控制中通常使id=0来保证用最小的电流幅值得到最大的输出转矩。此时,式(6)的电机转矩表达式为
Tem=(3/2)Pnψfiq(11)
由式(11)看出,Pn及ψf都是电机内部参数,其值恒定,为获得恒定的力矩输出,只要控制iq为定值。从上面dq轴的分析可知,iq的方向可以通过检测转子轴来确定。从而使永磁同步电机的矢量控制大大简化。图1是其系统的控制框图,该系统可以工作于速度给定和位置给定模式下,并且PWM调制方法采用空间矢量调制法。
3 系统软硬件设计
3.1 硬件设计
3.1.1 DSP以及周边资源
以DSP为核心的伺服系统硬件如图2所示。整个系统的控制电路由DSP组成。DSP作为控制核心,接受外部信息后判断伺服系统的工作模式,并转换成逆变器的开关信号输出,该信号经隔离电路后直接驱动IPM模块给电机供电。另外EEPROM用于参数的保存和用户信息的存储。
3.1.2 功率电路
整个主电路先经不控整流,后经全桥逆变输出。逆变器选用IGBT的智能控制模块。模块内部集成了驱动电路,并设计有过电压、过电流、过热、欠电压等故障检测保护电路。系统的辅助电源采用开关电源,主要供电包括6路开关管的驱动电源,DSP,IO接口控制芯片的电源和采样LEM。

3.1.3 电流采样电路
本系统的设计要求至少采用两相电流,由于负载的对称性,故采样ib和ic两相电流。采样电路采用霍尔传感器并经模拟电路处理在%26;#177;5V的电压范围内,再经双极性A/D转换芯片后送入DSP内。
3.1.4 转子位置检测电路
电机反馈采用增量式光电编码器,该编码器分辨率为2500脉冲/转,输出信号包括A,B,Z,U,V,W等脉冲,其中A和B信号互差90%26;#176;(电角度),DSP通过判断A和B的相位和个数可以得到电机的转向和速度。通过采集这些信号判断电机转子的位置和电机的转速。另外U,V,W三相互差120%26;#176;(电角度),用于在电机启动时判断电机转子的位置。
3.1.5 保护电路
系统在主电路中设置了过压、欠压、IGBT故障、电机过热、IPM过热、编码器故障检测等保护,故障信号经逻辑电路后可直接封锁开关脉冲,同时通过DSP的I/O口输入,通过软件检测来实现系统的保护。
3.2 软件设计
DSP伺服控制程序由3个部分组成:主程序、定时采样程序和DSP与周边资源的数据交换程序。
3.2.1 主程序
主程序内完成系统的初始化,I/O接口控制信号,DSP内各个控制模块寄存器的设置等,然后进入循环程序。
3.2.2 定时采样程序
定时采样程序是整个伺服控制程序的核心,在这里实现电流环、速度环的采样以及矢量控制、PWM信号生成、各种工作模式选择和I/O的循环扫描。其中,每个采样周期完成电流环的采样,开关信号的输出,速度环和位置环控制。PWM控制信号采用规则采样PWM调制方法生成,在每个采样周期中对每相电流进行一次误差判断以决定下个周期开关管的占空比。
3.2.3 数据交换程序
数据交换程序主要包括与上位机的通信程序,EEPROM中参数的存储,控制器键盘值的读取和显示程序。其中通信采用串行通信接口,根据特定的通信协议接受上位机的指令,并根据要求传送参数。键盘每隔0.2ms扫描一次,更新显示。

4 试验结果
上述伺服系统采用交流永磁同步伺服电机,其额定功率2.5kW,额定电流10A,额定转速2000r/min,额定转矩6N%26;#183;m,定子电感8.5mH,定子电阻2.8Ω。图3为空载下电机额定速度的起动波形,通过仿真获得。图4是定子电流的dq分量起动波形,通过仿真获得。图5是空载起动时的B相电流波形。图6是电机带载稳态运行时的B相电流波形。
仿真和实验结果表明该系统具有较快的动态响应和较高的控制精度,完全能够满足伺服系统的要求。并且该系统已经成功地应用于数控车床的伺服控制系统中,性能良好。
5 结语
本系统硬件上采用DSP的控制结构,电路设计简单,紧凑,满足了系统矢量控制的要求,同时,全数字化的控制使系统在控制精度,功能和抗干扰能力上都有了很大的提高。其次,在充分利用DSP内部资源的条件下,只须附加很少的电路元件,即可实现系统预定的功能,其低成本,高性能的控制特性使该系统具有很好的市场应用前景。另外,系统软件结构的合理设计也保证了系统的实时性和稳定性。
仿真 DSP 机器人 电流 逆变器 电子 电力电子 电动机 电压 电感 电阻 PWM 电路 IGBT 开关电源 传感器 模拟电路 编码器 相关文章:
- ARM在数字化远程视频监控系统的应用(05-20)
- FPGA在弹上信息处理机中的应用(04-15)
- 与MSP430 USI端口配合使用ADS8361(06-18)
- 基于ARM的I2C设备控制方法的实现(06-11)
- 辰汉电子推出低成本快速量产视频监控方案+4路输入方案(06-24)
- 无线IP视频监控应用即将井喷,Blackfin助您赢得先机(07-23)
