数字接收机I/Q支路不平衡的时域补偿
时间:12-03
来源:互联网
点击:
为了消除数字接收机同相与正交(I/Q)支路幅度和相位不平衡对数字接收机接收性能的影响,根据时域数据I/Q支路的功率与正交关系,提出了一种I/Q支路不平衡参数估计和补偿方法。该方法的估计和补偿均在时域进行,可以在计算复杂度、估计时和补偿性能三者之间进行折衷;它无需导频或者训练序列,可应用于多种制式的单载波和多载波接收机中。仿真结果表明:利用该方法的G4QAM-OFDM系统误码率在AWGN信道下可以达到理想性能,在多径信道下110-3误码率处的性能损失可以减小到0.1 dB左右。
由于其便于集成、低功耗和低成本的特点,零中频接收机在各种数字通信系统中被广泛采用。零中频接收机在模拟域采用正交混频,直接将射频信号变换到基带。然而,在采用正交混频的接收机中(无论是零中频还是超外差),通常不可避免地存在着I/Q支路幅度和相位不平衡的问题,由此造成接收系统的性能恶化。此外,为了在有限的带宽内实现高速传输,高阶电平调制的正交频分复用(MQAM-OFDM)传输技术被广泛采用。对于这类系统,甚至轻微的I/Q支路幅度和相位不平衡就能严重恶化MQAM-OFDM系统的解调性能,并同时影响接收机的同步和信道估计质量。所以,研究对接收机I/Q支路不平衡进行有效补偿的方法,对于提高数字接收机的系统性能具有重要的意义。
对于l/Q不平衡的数字补偿,已有不少方法。主要为两类,一类是基于训练的补偿方法,如文提出一种采用频域训练序列的自适应均衡器,用于补偿DVB—T系统中的I/Q支路不平衡,然而在频率选择性衰落信道下,为了获得均衡器的系数,需要大量的训练序列;文利用WLAN系统中的同步码,在时域对I/Q不平衡参数进行估计和补偿,但它只能应用于特定的系统中;另一类是盲补偿方法,如文采用盲信号分离技术,无需已知发送数据,但是复杂度高;文则提出了一种基于正交频分复用(OFDM)频域未知数据的补偿方案。
本文基于QAM调制的时域未知数据在I/Q支路的功率与正交关系,直接在时域对I/Q支路不平衡进行估计和补偿,可应用于多种制式的单载波和OFDM系统。以一个4K子载波的OFDM系统为例进行了仿真,在AWGN和频率选择性衰落信道下分析了该方法的性能。
1 信号模型
射频接收机的目的是将处于一定频段的射频信号变换到正交的基带信号。考虑I/Q支路不平衡的接收机模型如图1所示,

图中LPF代表低通滤波器,ADC代表模数转换器,其中所有处理单元均为一致的,而将幅度不平衡集中表示为g,相位不平衡为φ。且不失一般性,将幅度和相位不平衡均表达在Q路。
若r(t)为射频信号,图1代表零中频接收机;若r(t)为中频信号,图1则代表超外差接收机。下面以零中频接收机为例进行分析。
进入正交混频器前的射频信号表示为
其中:X(t)=XI(t)+jXQ(t)为r(t)的复包络,ωc表示载波频率,h(t)为多径信道的低通等效冲激响应,n(t)足Gauss白噪声。若u(t)为离散反Fourier变换(IDFT)之后的时域基带信号,图1代表OFDM接收机;若u(t)为QAM映射后的信号,图1则代表单载波接收机。下面以多载波OFDM系统为例来讨论。

对于OFDM系统,分析数据的频域关系是有用的。对式(5)做离散Fourier变换(DFT)可以得到
其中N为DFT长度。由式(6)可见I/Q支路不平衡在OFDM系统中引起子载波问干扰(ICI)。
2 I/Q支路的不平衡补偿
则可去除I/Q支路不平衡对时域信号y(n)的影响,并同时保持信噪比不变。显然,如式(7)所示在时域进行I/Q支路不平衡补偿是十分直观明了的。为此,需要估计出(g,φ)、(α,β)或者三组参数中一组即可利用式(7)在时域进行I/Q不平衡补偿。下面根据信号的离散形式对估计算法进行推导。
对发射的时域未知数据u(n)作如下假设:
即u(n)的I/Q两路信号均值为零、功率相等且相互正交。对于随机化处理后的数据,采用MQAM映射时,上述假设是成立的。u(n)经过IDFT、多径信道和AWGN信道得到x(n)。用一个线性FIR系统模型表示多径信道h(t),由于线性系统不改变信号在I/Q支路的相对功率和正交性,所以x(n)也满足式(8)所示的关系。
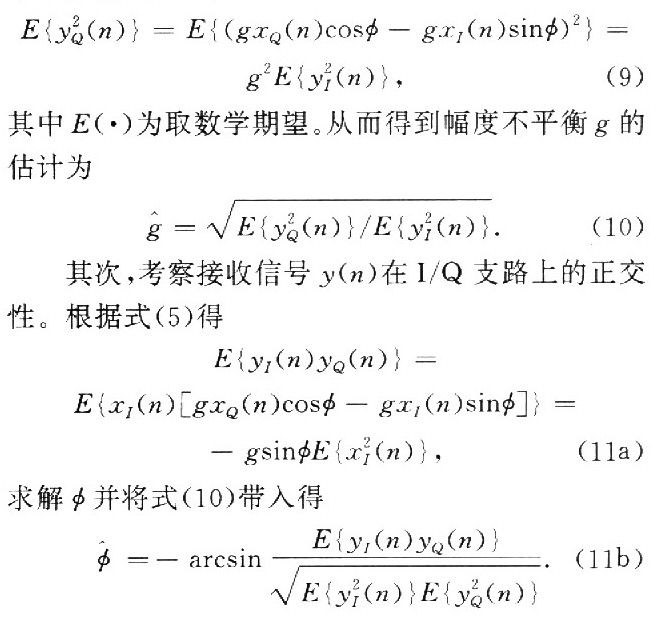
首先,考察接收基带信号y(n)在Q路上的功率。根据式(5)得

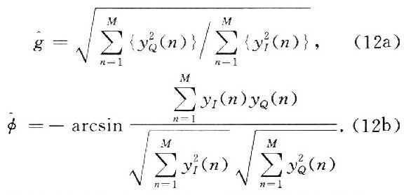
即为接收时域信号y(n)在1/Q支路上的相关系数。在实际接收机中,式(11a)中的数字期望运算需要用有限个样本的平均代替,从而得:

其中M(M≤N)为从每帧数据中选取得样本数。
由于I/Q不平衡是由接收机的系统误差所产生的,对于稳定工作的接收机,它随时间变换缓慢,所以可以将从每帧数据估计出来的参数在L帧上做平均处理,从而降低估计方差。I/Q支路不平衡估计方案如图2所示。

3 性能分析
从式(12)可以看出,参数估计的性能随选取的样本数M的增大而变好,但是增加M会增大计算的复杂度;另外,参数估计的性能随参与平均处理的帧数L的增大也会变好,但是增加L会延长参数估计的时间。所以需要在估计性能、计算复杂度和估计时间三方面做折衷。
通常用镜频抑制比R来衡量1/Q支路不平衡补偿的性能。由式(7)可以得到补偿后的基带信号为

对于AWGN信道,为了让接收机正常工作,R应当大于 40 dB。
本文以一个4K子载波64QAM-0FDM的实际系统为例,仿真了I/Q支路不平衡补偿在AWGN和频率选择性衰落信道下的性能。为了突出I/Q不平衡的影响,仿真中不采用纠错编码。子载波数取3 780,保护间隔为1/9,抽样率为7.56 MSPS。静态多径信道采用Vehicular A模型。仿真时M=420,等于保护间隔长度。
图3和图4分别是在不考虑多径的AWGN信道下仿真的镜频抑制比R和误码率曲线。


图3的仿真中g=O.5 dB,φ=5,从中可以看出:1)帧数L每增加10倍,R增加约10 dB;2)信噪比对镜频抑制比无明显影响,说明该补偿方案可以工作在不同信噪比的信道情况下;3)为了使镜频抑制比大于40 dB,L应大于10。
从图4所示的误码率曲线可以看出:1)对3条“△”符号代表的不同I/Q不平衡值曲线,进行I/Q不平衡补偿后均得到相同的BER曲线,说明该补偿方案不受I/Q不平衡值大小的影响;2)若每10帧(L=10)对参数估计值进行一次平均,在110-4误码率处,补偿后的性能与理想曲线之间的信噪比损失约为O.5 dB;若每100帧平均一次,补偿后的性能与理想性能相当。
图5和图6分别是在包含AWGN的多径信道下仿真的镜频抑制比R和误码率曲线。

从图5(g=0.5 dB,φ=5)所示的镜频抑制比曲线可以看出,多径信道下的曲线也遵从L每增大10倍,R增大10 dB的规律;同时,由图3和图5对比可以看出多径信道下的R值与AWGN信道下的尺值大致相当,说明补偿方案的R值不受多径信道的影响。
然而,多径信道对BER的影响要比AWGN下严重一些。从图6可以看出,虽然多径信道下的I/Q不平衡补偿同样不受I/Q不平衡参数值的影响,但与不含多径的AWGN情况相比,帧数L要取更大一些才能达到相同的效果。具体的,若每20帧对参数估计值进行一次平均,在110-3误码率处与理想性能曲线相比有2 dB的性能损失,而每100帧进行一次平均时的性能损失可以减小到0.1 dB左右。另外,对比图4和图6可以看出,在多径信道下I/Q支路不平衡对系统BER性能的影响要严重一些,比如当g=0.2 dB,φ=2时,在误码率为0.810-3处出现了误码平台现象。
由于其便于集成、低功耗和低成本的特点,零中频接收机在各种数字通信系统中被广泛采用。零中频接收机在模拟域采用正交混频,直接将射频信号变换到基带。然而,在采用正交混频的接收机中(无论是零中频还是超外差),通常不可避免地存在着I/Q支路幅度和相位不平衡的问题,由此造成接收系统的性能恶化。此外,为了在有限的带宽内实现高速传输,高阶电平调制的正交频分复用(MQAM-OFDM)传输技术被广泛采用。对于这类系统,甚至轻微的I/Q支路幅度和相位不平衡就能严重恶化MQAM-OFDM系统的解调性能,并同时影响接收机的同步和信道估计质量。所以,研究对接收机I/Q支路不平衡进行有效补偿的方法,对于提高数字接收机的系统性能具有重要的意义。
对于l/Q不平衡的数字补偿,已有不少方法。主要为两类,一类是基于训练的补偿方法,如文提出一种采用频域训练序列的自适应均衡器,用于补偿DVB—T系统中的I/Q支路不平衡,然而在频率选择性衰落信道下,为了获得均衡器的系数,需要大量的训练序列;文利用WLAN系统中的同步码,在时域对I/Q不平衡参数进行估计和补偿,但它只能应用于特定的系统中;另一类是盲补偿方法,如文采用盲信号分离技术,无需已知发送数据,但是复杂度高;文则提出了一种基于正交频分复用(OFDM)频域未知数据的补偿方案。
本文基于QAM调制的时域未知数据在I/Q支路的功率与正交关系,直接在时域对I/Q支路不平衡进行估计和补偿,可应用于多种制式的单载波和OFDM系统。以一个4K子载波的OFDM系统为例进行了仿真,在AWGN和频率选择性衰落信道下分析了该方法的性能。
1 信号模型
射频接收机的目的是将处于一定频段的射频信号变换到正交的基带信号。考虑I/Q支路不平衡的接收机模型如图1所示,

图中LPF代表低通滤波器,ADC代表模数转换器,其中所有处理单元均为一致的,而将幅度不平衡集中表示为g,相位不平衡为φ。且不失一般性,将幅度和相位不平衡均表达在Q路。
若r(t)为射频信号,图1代表零中频接收机;若r(t)为中频信号,图1则代表超外差接收机。下面以零中频接收机为例进行分析。
进入正交混频器前的射频信号表示为
其中:X(t)=XI(t)+jXQ(t)为r(t)的复包络,ωc表示载波频率,h(t)为多径信道的低通等效冲激响应,n(t)足Gauss白噪声。若u(t)为离散反Fourier变换(IDFT)之后的时域基带信号,图1代表OFDM接收机;若u(t)为QAM映射后的信号,图1则代表单载波接收机。下面以多载波OFDM系统为例来讨论。

对于OFDM系统,分析数据的频域关系是有用的。对式(5)做离散Fourier变换(DFT)可以得到
其中N为DFT长度。由式(6)可见I/Q支路不平衡在OFDM系统中引起子载波问干扰(ICI)。
2 I/Q支路的不平衡补偿
则可去除I/Q支路不平衡对时域信号y(n)的影响,并同时保持信噪比不变。显然,如式(7)所示在时域进行I/Q支路不平衡补偿是十分直观明了的。为此,需要估计出(g,φ)、(α,β)或者三组参数中一组即可利用式(7)在时域进行I/Q不平衡补偿。下面根据信号的离散形式对估计算法进行推导。
对发射的时域未知数据u(n)作如下假设:
即u(n)的I/Q两路信号均值为零、功率相等且相互正交。对于随机化处理后的数据,采用MQAM映射时,上述假设是成立的。u(n)经过IDFT、多径信道和AWGN信道得到x(n)。用一个线性FIR系统模型表示多径信道h(t),由于线性系统不改变信号在I/Q支路的相对功率和正交性,所以x(n)也满足式(8)所示的关系。
首先,考察接收基带信号y(n)在Q路上的功率。根据式(5)得

即为接收时域信号y(n)在1/Q支路上的相关系数。在实际接收机中,式(11a)中的数字期望运算需要用有限个样本的平均代替,从而得:

其中M(M≤N)为从每帧数据中选取得样本数。
由于I/Q不平衡是由接收机的系统误差所产生的,对于稳定工作的接收机,它随时间变换缓慢,所以可以将从每帧数据估计出来的参数在L帧上做平均处理,从而降低估计方差。I/Q支路不平衡估计方案如图2所示。

3 性能分析
从式(12)可以看出,参数估计的性能随选取的样本数M的增大而变好,但是增加M会增大计算的复杂度;另外,参数估计的性能随参与平均处理的帧数L的增大也会变好,但是增加L会延长参数估计的时间。所以需要在估计性能、计算复杂度和估计时间三方面做折衷。
通常用镜频抑制比R来衡量1/Q支路不平衡补偿的性能。由式(7)可以得到补偿后的基带信号为

对于AWGN信道,为了让接收机正常工作,R应当大于 40 dB。
本文以一个4K子载波64QAM-0FDM的实际系统为例,仿真了I/Q支路不平衡补偿在AWGN和频率选择性衰落信道下的性能。为了突出I/Q不平衡的影响,仿真中不采用纠错编码。子载波数取3 780,保护间隔为1/9,抽样率为7.56 MSPS。静态多径信道采用Vehicular A模型。仿真时M=420,等于保护间隔长度。
图3和图4分别是在不考虑多径的AWGN信道下仿真的镜频抑制比R和误码率曲线。


图3的仿真中g=O.5 dB,φ=5,从中可以看出:1)帧数L每增加10倍,R增加约10 dB;2)信噪比对镜频抑制比无明显影响,说明该补偿方案可以工作在不同信噪比的信道情况下;3)为了使镜频抑制比大于40 dB,L应大于10。
从图4所示的误码率曲线可以看出:1)对3条“△”符号代表的不同I/Q不平衡值曲线,进行I/Q不平衡补偿后均得到相同的BER曲线,说明该补偿方案不受I/Q不平衡值大小的影响;2)若每10帧(L=10)对参数估计值进行一次平均,在110-4误码率处,补偿后的性能与理想曲线之间的信噪比损失约为O.5 dB;若每100帧平均一次,补偿后的性能与理想性能相当。
图5和图6分别是在包含AWGN的多径信道下仿真的镜频抑制比R和误码率曲线。

从图5(g=0.5 dB,φ=5)所示的镜频抑制比曲线可以看出,多径信道下的曲线也遵从L每增大10倍,R增大10 dB的规律;同时,由图3和图5对比可以看出多径信道下的R值与AWGN信道下的尺值大致相当,说明补偿方案的R值不受多径信道的影响。
然而,多径信道对BER的影响要比AWGN下严重一些。从图6可以看出,虽然多径信道下的I/Q不平衡补偿同样不受I/Q不平衡参数值的影响,但与不含多径的AWGN情况相比,帧数L要取更大一些才能达到相同的效果。具体的,若每20帧对参数估计值进行一次平均,在110-3误码率处与理想性能曲线相比有2 dB的性能损失,而每100帧进行一次平均时的性能损失可以减小到0.1 dB左右。另外,对比图4和图6可以看出,在多径信道下I/Q支路不平衡对系统BER性能的影响要严重一些,比如当g=0.2 dB,φ=2时,在误码率为0.810-3处出现了误码平台现象。
- ARM在数字化远程视频监控系统的应用(05-20)
- FPGA在弹上信息处理机中的应用(04-15)
- 与MSP430 USI端口配合使用ADS8361(06-18)
- 基于ARM的I2C设备控制方法的实现(06-11)
- 辰汉电子推出低成本快速量产视频监控方案+4路输入方案(06-24)
- 无线IP视频监控应用即将井喷,Blackfin助您赢得先机(07-23)
