基于RBF网络和贝叶斯分类器融合的人脸识别方法
时间:11-18
来源:互联网
点击:
RBF神经网络设计
RBF神经网络的结构如图2。径向基函数的实质 ,即寻求一个基于→的映射函数(s?r),其中r 是输入空间的维数,s是输出空间的维数,u是隐层节点数。
假定∈(1≤j≤r)为输入层神经元,为隐层第 i个神经元的中心,则第j个神经元在第i个隐层节点的输出为: , i =1,2,…,u,式中||||表示欧氏范数。当RBF选用高斯核函数时,其输出为:

式中为隐层第 i 个神经元的宽度。输出层第 k 个节点的输出值 为: ,式中为隐层节点 k 到第 j 个输出节点的连接权值。
RBF神经网络的构建和初始化
RBF神经网络隐层聚类的初始化过程如下[10]:
(1)隐层节点数u=s。假设每个类收敛于一个聚类中心,再根据情况具体调整。
(2)隐层第 k 个神经元的中心为 k 类特征矢量的均值。,k=1,2,…,u,
(3)计算从均值 到属于类k 的最远点的欧氏距离
(4)计算各个j聚类中心到k聚类中心的距离,j=1,2,…,s, j≠k
a)若,则类k与其他类无重叠。
b)若,则类k与其他类有重叠,需进一步考虑:
(5) 包含规则:若且,则类k包含于类中,类应被
细分为两个聚类。若类k包含许多其他类的数据,需将类k细分为两个聚类。
RBF神经网络的算法
网络学习就是通过调整连接权 、隐层中心和宽度,以减小输出误差。
1、连接权值的调整
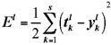
定义误差函数为:

,

,其中

是第个训练样本的实际输出值和理想输出值。通过线性最小二乘法求解最佳权值。
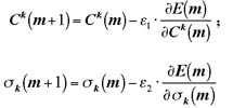
2、隐层中心及宽度调整
W固定,采用梯度下降法,经推导可得和的迭代计算公式为:

其中,

分别为隐层中心

宽度的学习速率

,m为迭代次数。
实验结果及分析
利用Yale人脸库中的人脸图像数据进行实验人脸识别实验研究,将人脸图像分块加权重构的奇异值向量X1,X2,…,Xl(其l中为训练样本的数目)矩阵依次输入RBF神经网络训练,当满足误差容限或训练次数,停止训练。在测试过程中,依据竞争选择的办法做出识别判断。
本文重点研究人脸图像的32子块权值选取情况如下:

表1 人脸图像划分不同子块数的识别结果

表2 赋予人脸图像32子块不同权值的识别结果

实验结果表明,基于人脸面部骨骼特征、以及眼睛分布、鼻子形状等结构特征,是鉴别人脸的主要依据。通过子块权值的合理分布,突出人脸骨骼特征,而对嘴部和皮肤折皱等表情变化部分特征给予弱化或剔除,这与人类识别人脸时的模式相近,识别效果较好。对人脸图像进行分块,在样本数量很大、维数很高的情况下,有效地减小了计算量。但是,子块不宜过多,否则增加RBF神经网络计算负担,识别率也会有所下降。
结论
本文提出了基于图像分块奇异值压缩,融合RBF神经网络和贝叶斯分类器的人脸识别方法,模拟人类识别人脸时剔除同一人脸变化部位的差异能力,采用不同子块单独进行人脸识别,根据RBF神经网络识别效果进行权值分配,通过实验证明,本文方法在降维和识别率方面均取得良好的效果,在正面人脸部位(尤其是下颚部)变化较大时,具有良好的识别精度和识别速度。
RBF神经网络的结构如图2。径向基函数的实质 ,即寻求一个基于→的映射函数(s?r),其中r 是输入空间的维数,s是输出空间的维数,u是隐层节点数。
假定∈(1≤j≤r)为输入层神经元,为隐层第 i个神经元的中心,则第j个神经元在第i个隐层节点的输出为: , i =1,2,…,u,式中||||表示欧氏范数。当RBF选用高斯核函数时,其输出为:

式中为隐层第 i 个神经元的宽度。输出层第 k 个节点的输出值 为: ,式中为隐层节点 k 到第 j 个输出节点的连接权值。
RBF神经网络的构建和初始化
RBF神经网络隐层聚类的初始化过程如下[10]:
(1)隐层节点数u=s。假设每个类收敛于一个聚类中心,再根据情况具体调整。
(2)隐层第 k 个神经元的中心为 k 类特征矢量的均值。,k=1,2,…,u,
(3)计算从均值 到属于类k 的最远点的欧氏距离
(4)计算各个j聚类中心到k聚类中心的距离,j=1,2,…,s, j≠k
a)若,则类k与其他类无重叠。
b)若,则类k与其他类有重叠,需进一步考虑:
(5) 包含规则:若且,则类k包含于类中,类应被
细分为两个聚类。若类k包含许多其他类的数据,需将类k细分为两个聚类。
RBF神经网络的算法
网络学习就是通过调整连接权 、隐层中心和宽度,以减小输出误差。
1、连接权值的调整
定义误差函数为:

,

,其中

是第个训练样本的实际输出值和理想输出值。通过线性最小二乘法求解最佳权值。
2、隐层中心及宽度调整
W固定,采用梯度下降法,经推导可得和的迭代计算公式为:

其中,

分别为隐层中心

宽度的学习速率

,m为迭代次数。
实验结果及分析
利用Yale人脸库中的人脸图像数据进行实验人脸识别实验研究,将人脸图像分块加权重构的奇异值向量X1,X2,…,Xl(其l中为训练样本的数目)矩阵依次输入RBF神经网络训练,当满足误差容限或训练次数,停止训练。在测试过程中,依据竞争选择的办法做出识别判断。
本文重点研究人脸图像的32子块权值选取情况如下:

表1 人脸图像划分不同子块数的识别结果

表2 赋予人脸图像32子块不同权值的识别结果

实验结果表明,基于人脸面部骨骼特征、以及眼睛分布、鼻子形状等结构特征,是鉴别人脸的主要依据。通过子块权值的合理分布,突出人脸骨骼特征,而对嘴部和皮肤折皱等表情变化部分特征给予弱化或剔除,这与人类识别人脸时的模式相近,识别效果较好。对人脸图像进行分块,在样本数量很大、维数很高的情况下,有效地减小了计算量。但是,子块不宜过多,否则增加RBF神经网络计算负担,识别率也会有所下降。
结论
本文提出了基于图像分块奇异值压缩,融合RBF神经网络和贝叶斯分类器的人脸识别方法,模拟人类识别人脸时剔除同一人脸变化部位的差异能力,采用不同子块单独进行人脸识别,根据RBF神经网络识别效果进行权值分配,通过实验证明,本文方法在降维和识别率方面均取得良好的效果,在正面人脸部位(尤其是下颚部)变化较大时,具有良好的识别精度和识别速度。
神经网络 相关文章:
- 基于音频信号的轴承故障诊断方法(03-17)
- 基于DSP的工业缝纫机控制系统设计(09-23)
- 智能门禁报警系统的仿真应用(10-20)
- 光电鼠标传感器的精密测量与控制系统(04-13)
- 基于双处理器的点焊控制系统的硬件设计(07-01)
- 凝气器污脏程度在线监测仪的研制(07-01)
