EMI滤波器测试技术研究
时间:10-06
来源:互联网
点击:
随着科学技术和生产的发展,电子产品日益增多,从而空间电磁环境越发复杂,恶劣的电磁环境将会对人类及各种生物造成严重影响,另外电子产品间也可能互相产生干扰导致其不能正常工作,于是出现了EMC测试。
在电子设备及电子产品中,电磁干扰能量可通过辐射性耦合或传导性耦合进行传输。在抑制电磁干扰信号的辐射干扰方面,屏蔽是有效的措施;在抑制电磁干扰信号的传导干扰方面,EMI滤波器是十分有效的器件。由于EMI滤波器是抑制传导干扰的重要器件,所以研究EMI滤波器的测试方法就变得十分重要。
l EMI滤波器的测试指标
1.1 共模干扰和差模干扰
实际上EMI电源滤波器起两种低通滤波器的作用:衰减共模干扰和衰减差模干扰。对任何电源线上的传导干扰信号,都可以用共模和差模干扰信号来表示。并且可把L—E和N—E之间的共模干扰信号、L—N之间的差模干扰信号看作独立的EMI源,把单相电源内的L—E、N—E和L—N看作独立网络端口来分析EMI信号和有关的滤波网络。图1中,U1和U2为共模干扰信号,U3为差模干扰信号。

1.2 EMI滤波器网络结构
图2所示为单相电源滤波器的基本网络结构。它是由集中参数元件构成的无源低通网络,滤波网络主要由两只电感L1和L2,三只电容CX、CY1、CY2组成。如果把该滤波器一端接入电源,负载端接上被干扰设备,那么L1和CY1,L2和CY2就分别构成L—E和N—E两对独立端口间的低通滤波器,用来抑制电源线上存在的共模EMI信号。此外,L1、L2又与CX构成L—N独立端口之间的低通滤波器,抑制差模干扰信号。

1.3 EMI滤波器漏电流性能测试
泄漏电流是指在250VAC的电压下,相线和中线与滤波器外壳(地线)间流过的电流。它主要取决于接地电容(共模电容)的取值。较大的共模电容CY可以提高插入损耗,但却造成较大的漏电流。泄漏电流的测试电路如图3所示:

1.4 EMI滤波器耐压性能测试
为确保电源滤波器的性能以及设备和人身安全,必须进行耐压测试。耐压测试是在极端工作条件下的测试。若CX电容器的耐压性能欠佳,在出现峰值浪涌电压时,可能被击穿。它的击穿虽然不危及人身安全,但会使滤波器功能丧失或性能下降。CY电容器除了满足接地漏电流的要求外,还在电气和机械性能方面具有足够的安全余量,避免在极端恶劣的环境条件下出现击穿短路现象。故线一地之间的耐压性能对保护人身安全有重要意义,一旦设备或装置的绝缘保护措施失效,可能导致人员伤亡。
1.5 EMI滤波器的性能评定
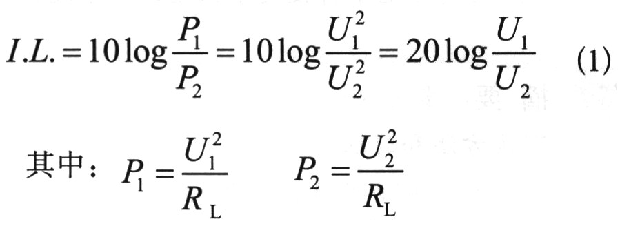
EMI电源滤波器在使用时考虑最多的是额定电压及电流值、耐压性能、漏电流三项,而其中最主要的评定性能为滤波器的插入损耗性能。
EMI电源滤波器对干扰噪声的抑制能力用插入损耗I.L.(Insertion Loss)来衡量。插入损耗定义为:没有滤波器接入时,从噪声源传输到负载的功率P1和接入滤波器后,从噪声源传输到负载的功率P2之比,用dB(分贝)表示。

2 EMI滤波器的频域测试
测试标准的确定为电源EMI滤波器的各项指标提供了统一的衡定依据。其中最主要的测试项目为滤波器频域上的插入损耗测试
2.1 插入损耗的标准测试
在标准测量法中规定,在50Ω~75之间的任一阻值的系统内测试它的插入损耗特性。测试原理如图4所示。

实际测试时,常常利用屏蔽室来测试滤波器的插入损耗,测试图如图5所示。

2.2 插入损耗的加载测试
在EMI滤波器产品中,由于使用不合适的材料,共模扼流圈不可能保证完全对称会导致磁环的饱和,同时寄生差模电感也可能产生磁环的饱和,使得滤波器的实际使用情况与厂家提供数据有很大差距,因此必须对滤波器采用加载测试。
3 EMI滤波器的时域测试
一般地,对于EMI电源滤波器我们只关心它的常规性能及频域抑制性能。而对于EMI信号线滤波器,由于传输线本身就会产生一定的电磁干扰,所以测试信号必然会产生一定的衰减。这时,我们就要对其进行时域传输性能上的测试。
使用50kHz的方波对电容值为8000pF的滤波插针进行滤波,发现其时域的上升沿和下降沿有明显的变化。频域上,经过滤波后,方波信号的高频分量被滤除。
对于通过同一滤波插针,方波的频率越高,其谐波信号被滤波插针衰减的将会越大,则方波的波形上升及下降时间将会越长。同样,对于同样的频率波形,通过滤波插针,其滤波容值越大,方波上升时间趋缓的程度越大。
4 EMI滤波器插损自动测试系统设计
近年来,随着EMC测试的内容日趋复杂,测试工作量急剧增加,对测试设备在功能、性能、测试速度、测试准确度等方面的要求也日益提高。在这种情况下,传统的人工测试已经很难满足要求,再加上现在的国家标准(GB)和国家军用标准(GJB)均要求电磁兼容的检测必须自动进行,并且对数据后处理有严格的要求。因此,发展EMC自动测试成为必然之路。本文所建立的自动测试系统使用了虚拟仪器技术,基于信号源一频谱仪对EMI电源滤波器进行插损测试的系统。
在电子设备及电子产品中,电磁干扰能量可通过辐射性耦合或传导性耦合进行传输。在抑制电磁干扰信号的辐射干扰方面,屏蔽是有效的措施;在抑制电磁干扰信号的传导干扰方面,EMI滤波器是十分有效的器件。由于EMI滤波器是抑制传导干扰的重要器件,所以研究EMI滤波器的测试方法就变得十分重要。
l EMI滤波器的测试指标
1.1 共模干扰和差模干扰
实际上EMI电源滤波器起两种低通滤波器的作用:衰减共模干扰和衰减差模干扰。对任何电源线上的传导干扰信号,都可以用共模和差模干扰信号来表示。并且可把L—E和N—E之间的共模干扰信号、L—N之间的差模干扰信号看作独立的EMI源,把单相电源内的L—E、N—E和L—N看作独立网络端口来分析EMI信号和有关的滤波网络。图1中,U1和U2为共模干扰信号,U3为差模干扰信号。

1.2 EMI滤波器网络结构
图2所示为单相电源滤波器的基本网络结构。它是由集中参数元件构成的无源低通网络,滤波网络主要由两只电感L1和L2,三只电容CX、CY1、CY2组成。如果把该滤波器一端接入电源,负载端接上被干扰设备,那么L1和CY1,L2和CY2就分别构成L—E和N—E两对独立端口间的低通滤波器,用来抑制电源线上存在的共模EMI信号。此外,L1、L2又与CX构成L—N独立端口之间的低通滤波器,抑制差模干扰信号。

1.3 EMI滤波器漏电流性能测试
泄漏电流是指在250VAC的电压下,相线和中线与滤波器外壳(地线)间流过的电流。它主要取决于接地电容(共模电容)的取值。较大的共模电容CY可以提高插入损耗,但却造成较大的漏电流。泄漏电流的测试电路如图3所示:

1.4 EMI滤波器耐压性能测试
为确保电源滤波器的性能以及设备和人身安全,必须进行耐压测试。耐压测试是在极端工作条件下的测试。若CX电容器的耐压性能欠佳,在出现峰值浪涌电压时,可能被击穿。它的击穿虽然不危及人身安全,但会使滤波器功能丧失或性能下降。CY电容器除了满足接地漏电流的要求外,还在电气和机械性能方面具有足够的安全余量,避免在极端恶劣的环境条件下出现击穿短路现象。故线一地之间的耐压性能对保护人身安全有重要意义,一旦设备或装置的绝缘保护措施失效,可能导致人员伤亡。
1.5 EMI滤波器的性能评定
EMI电源滤波器在使用时考虑最多的是额定电压及电流值、耐压性能、漏电流三项,而其中最主要的评定性能为滤波器的插入损耗性能。
EMI电源滤波器对干扰噪声的抑制能力用插入损耗I.L.(Insertion Loss)来衡量。插入损耗定义为:没有滤波器接入时,从噪声源传输到负载的功率P1和接入滤波器后,从噪声源传输到负载的功率P2之比,用dB(分贝)表示。

2 EMI滤波器的频域测试
测试标准的确定为电源EMI滤波器的各项指标提供了统一的衡定依据。其中最主要的测试项目为滤波器频域上的插入损耗测试
2.1 插入损耗的标准测试
在标准测量法中规定,在50Ω~75之间的任一阻值的系统内测试它的插入损耗特性。测试原理如图4所示。

实际测试时,常常利用屏蔽室来测试滤波器的插入损耗,测试图如图5所示。

2.2 插入损耗的加载测试
在EMI滤波器产品中,由于使用不合适的材料,共模扼流圈不可能保证完全对称会导致磁环的饱和,同时寄生差模电感也可能产生磁环的饱和,使得滤波器的实际使用情况与厂家提供数据有很大差距,因此必须对滤波器采用加载测试。
3 EMI滤波器的时域测试
一般地,对于EMI电源滤波器我们只关心它的常规性能及频域抑制性能。而对于EMI信号线滤波器,由于传输线本身就会产生一定的电磁干扰,所以测试信号必然会产生一定的衰减。这时,我们就要对其进行时域传输性能上的测试。
使用50kHz的方波对电容值为8000pF的滤波插针进行滤波,发现其时域的上升沿和下降沿有明显的变化。频域上,经过滤波后,方波信号的高频分量被滤除。
对于通过同一滤波插针,方波的频率越高,其谐波信号被滤波插针衰减的将会越大,则方波的波形上升及下降时间将会越长。同样,对于同样的频率波形,通过滤波插针,其滤波容值越大,方波上升时间趋缓的程度越大。
4 EMI滤波器插损自动测试系统设计
近年来,随着EMC测试的内容日趋复杂,测试工作量急剧增加,对测试设备在功能、性能、测试速度、测试准确度等方面的要求也日益提高。在这种情况下,传统的人工测试已经很难满足要求,再加上现在的国家标准(GB)和国家军用标准(GJB)均要求电磁兼容的检测必须自动进行,并且对数据后处理有严格的要求。因此,发展EMC自动测试成为必然之路。本文所建立的自动测试系统使用了虚拟仪器技术,基于信号源一频谱仪对EMI电源滤波器进行插损测试的系统。
电子 EMC 滤波器 低通滤波器 电感 电容 电流 电压 电路 电容器 虚拟仪器 总线 信号发生器 频谱分析仪 射频 LabVIEW 自动化 相关文章:
- 一种新型防伪读码器的设计(01-01)
- 基于ARM与DSP的嵌入式运动控制器设计(04-25)
- 航天器DC/DC变换器的可靠性设计(02-12)
- 我国科学家人脸与笔迹识别领域获突破(04-29)
- 基于ARM核的AT75C220及其在指纹识别系统中的应用(05-24)
- 基于nRF2401智能小区无线抄表系统集中器设计(04-30)
