基于多传感器融合的车载三维测量系统
时间:09-21
来源:互联网
点击:
2 多传感器时间配准
选购的奥地利RIEGL公司的LMS-Q140i-80型激光扫描仪,这是一种二维激光扫描仪,进行“铅垂面”扫描,扫描角度为±40°内,最大扫描速度为40线,也就是说每隔25 ms会获取一条扫描线的距离信息,输出的每条扫描线的信息中包括时间信息。
本系统选用NovAtel DL-4-L1/L2型GPS接收机,原始数据输出频率和位置输出频率为20 Hz,也就是为隔50 ms获取一次定位数据信息,具有时间打标功能。为了使激光扫描仪数据和GPS数据在时间上配准起来,在启动激光扫描仪的同时对GPS数据进行时间打标,在后期处理中就可以解算出GPS时间打标信息用于两传感器的时间配准。图3是本文研究多传感器时间配准的结构图。

所谓时间配准,一方面通过硬件手段使得各传感器数据在开始的时间上对齐,如上所述;另一方面,就是对各传感器所采集的采样频率不同的目标观测数据进行内差、外推,将大粒度的观测时间点上的数据推算融合到小粒度的观测时间点上。在这里,时间配准的意义在将每个采样时刻由3台GPS获取的平台姿态信息和扫描仪获取的空间信息融合起来。
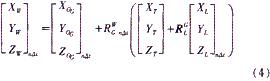
在本研究中,GPS数据输出频率为△t1=50 ms,激光扫描仪数据输出频率为△t2=25ms,这样,就需要对GPS数据进行线性内插,使得设该车载三维测量系统的数据输出间隔为△t=△t2,则对第n个时刻的激光扫描仪坐标转换到WGS-84坐标系

3 实验结果
该实验在山东科技大学北门进行,载体速度适当,路面比较平坦。首先,利用全站仪精确量测标志点(AA6和AA7)的坐标,结果见表1。然后,再利用该车载三维测量系统对相同的标志点进行了测量,得到相应的测量结果和与标准值(全站仪获取坐标)之间的误差值,见表2。建筑物立面上特征点如图4所示。

4 结论
从上面的实验结果(表2)可以看出:AA6点X,Y和Z方向的误差绝对值分别为0.056,0.030,0.039 m,AA7点X,Y和Z方向的误差绝对值比较大,分别为0.082,0.088,0.067m,但精度也在厘米级别,表明该车载三维测量系统定位精度比较高,证实了该系统多传感器的空间配准和时间配准方案是切实可行的,满足了该系统精度的要求。
选购的奥地利RIEGL公司的LMS-Q140i-80型激光扫描仪,这是一种二维激光扫描仪,进行“铅垂面”扫描,扫描角度为±40°内,最大扫描速度为40线,也就是说每隔25 ms会获取一条扫描线的距离信息,输出的每条扫描线的信息中包括时间信息。
本系统选用NovAtel DL-4-L1/L2型GPS接收机,原始数据输出频率和位置输出频率为20 Hz,也就是为隔50 ms获取一次定位数据信息,具有时间打标功能。为了使激光扫描仪数据和GPS数据在时间上配准起来,在启动激光扫描仪的同时对GPS数据进行时间打标,在后期处理中就可以解算出GPS时间打标信息用于两传感器的时间配准。图3是本文研究多传感器时间配准的结构图。

所谓时间配准,一方面通过硬件手段使得各传感器数据在开始的时间上对齐,如上所述;另一方面,就是对各传感器所采集的采样频率不同的目标观测数据进行内差、外推,将大粒度的观测时间点上的数据推算融合到小粒度的观测时间点上。在这里,时间配准的意义在将每个采样时刻由3台GPS获取的平台姿态信息和扫描仪获取的空间信息融合起来。
在本研究中,GPS数据输出频率为△t1=50 ms,激光扫描仪数据输出频率为△t2=25ms,这样,就需要对GPS数据进行线性内插,使得设该车载三维测量系统的数据输出间隔为△t=△t2,则对第n个时刻的激光扫描仪坐标转换到WGS-84坐标系

3 实验结果
该实验在山东科技大学北门进行,载体速度适当,路面比较平坦。首先,利用全站仪精确量测标志点(AA6和AA7)的坐标,结果见表1。然后,再利用该车载三维测量系统对相同的标志点进行了测量,得到相应的测量结果和与标准值(全站仪获取坐标)之间的误差值,见表2。建筑物立面上特征点如图4所示。

4 结论
从上面的实验结果(表2)可以看出:AA6点X,Y和Z方向的误差绝对值分别为0.056,0.030,0.039 m,AA7点X,Y和Z方向的误差绝对值比较大,分别为0.082,0.088,0.067m,但精度也在厘米级别,表明该车载三维测量系统定位精度比较高,证实了该系统多传感器的空间配准和时间配准方案是切实可行的,满足了该系统精度的要求。
- 多核及虚拟化技术在工业和安全领域的应用(05-23)
- 基于ARM核的AT75C220及其在指纹识别系统中的应用(05-24)
- 基于音频信号的轴承故障诊断方法(03-17)
- 采用信号调理IC驱动应变片电桥传感器(05-26)
- 基于nRF2401智能无线火灾监控系统设计(04-01)
- 家居安防无线监控报警系统(04-02)
