数字化调压调速系统在行车中的应用
时间:08-21
来源:互联网
点击:
一、引言
经过这近十年的经济发展,马来西亚工业也取得了突破性的进展,特别是在石油、钢铁、天然气等能源行业更为显著,此文所述为该国家钢铁行业的行车设备技术改造的其中一个例子。我厂建于1997年,行车一开始采用绕线式异步电动机转子串接频敏电阻器进行启动和调速,该继电器-接触器控制方式在实际运行中存在很多问题,主要是频敏电阻器烧损、断裂和接地故障时有发生,造成电动机频繁烧损,继电器-接触器控制系统可靠性差,故障率高,维护困难,维护费用高。因此,在很大程度上限制了产能的调高,为了更大的取得产品效益,节约成本,机械设备利旧,决定将目前的4台行车控制系统进行更换,采用现在流行的数字式调压调速控制系统。
二、控制系统介绍
QTD数字调压调速系列产品适用于冶金、港机、建筑、化工、石油等行业,特别适用于重级工作制度和处于恶劣环境重起重机的电气驱动和控制。在原来模拟QTA多年成功应用之后,利用现代数字技术和可控硅技术研制开发出新一代起重机控制器-QTD控制装置。
随着数字电子技术的高速发展,数字可控硅技术的应用也相应发生巨大变化,该系统是利用数字可控硅技术,实现了适合起重机的电气控制,特别是冶金生产环境下的起重机电气控制产品。其产品主要有以下特点:
1) 具有高可靠性,表现在提高了生产率,减少了运行成本,机构紧凑、节省空间,能适应恶劣的生产环境;
2) 高安全性,表现在开闸先建立电机力矩,下降时,制动和高速档回低速档时利用反接力矩防止溜钩运行过程中反馈线开路,控制器停止工作,电源缺相、错相、相不平衡及电机过载和欠压时,控制器处于保护状态,电机停止工作。
3) 优越的控制性能,表现在速度控制和载荷无关,平稳的控制技术(整个系统实行闭环控制,实现恒定速度调节,能减少减速箱和电机的冲击、减少电流峰值,延长电机寿命。并具有安全的制动器控制,制动时,建立力矩后再打开制动器,先电制动,待减速后机械制动,减少对制动器的磨损,电机接近零速或紧急状态下,制动器才被利用。
三、工作原理
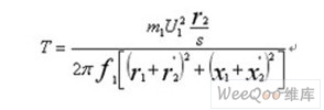
QTD控制器的晶闸管串接在电机定子回路,其转子回路串接适当的电阻器,通过调节三相反并联晶闸管导通角来改变定子电压,由异步电动机的电转矩表达式

由上式可知,当电动机各参数及电源频率不变时,且当转差率S不变时,电动机输出转矩T与电动机定子电压 成正比。当改变定子电压时,可以得到一组人为的机械特性曲线。
因电机的转矩与定子电压的平方成比例,从而达到控制电机转速的目的,电机转速通过人工操作主令设定速度,速度反馈实现闭环控制,电机的运转方向通过换向接触器K1和K2实现.
简述:△V0=Vg-Vf ,当△V0>0 时,PID的输出 V0增加,晶闸管导通角增大,电机定子电压升高,电机加速。当 △V00 ,电机在较高的电压下起动,随着电机加速,转子频率下降,Vf 增加,逐渐接近Vg ,当 △V0=0时,电机稳速运行,此时电机转矩和负载转矩相平衡;如速度给定改变,或负载改变打破了原有平衡,系统将根据上述原理自动趋向新的平衡。
四、系统说明
控制器工作前,安全检测电路对三相电源进行检测,如出现错相、缺相、严重相压不平衡、供电电压过低或反馈线断路等,控制器不工作。
控制器具有延时功能,防止操作人员快速点动操作,保证平稳的加速和减速,防止对电机和减速机的冲击。在两个运动方向上均设四档速度,10%、20%、30%,当选择四档100%速度时,电机沿斜坡曲线加速到全速。
对起升机构,有两个加速接触器,分别在50%速度(25Hz),75%速度(12.5Hz)时接通,以平稳加速到全速,加速过程中切换时的峰值电流限制在满载电流的两倍。当电机超载时,加速接触器立即释放,防止电机严重超载。
起升机构运行:当主令控制器选择起升某一挡位时,上升接触器接通,电机得电,制动器打开,电机起动。通过转子信号与控制器给定信号综合,QTD控制器自动进入闭环控制状态,在给定的速度下运行,主令控制器从任何档位回零时,制动器先制动,电机断电,抱闸停车。
重载下降:当主令控制器选择下降某一挡位时,首先上升接触器接通,电机产生上升力矩,制动器打开,电机起动,在重力作用下重物下降,QTD控制器在闭环状态下以给定的速度稳定运行。主令控制器选择全速档位时,下降接触器接通,此时电机处于再生发电状态全速下降,当主令控制器从下降全速档回到慢速档时,经100ms延时下降接触器释放上升接触器接通,在反接力矩作用下,电机减速并进入闭环控制状态。
无论在任何运行状态下,一旦主令控制器回到零位,控制器以反接力矩进行制动,电机立即减速,达到静止状态后,制动器制动,经0.6s延时电机断电停止运行,如电制动时间超过1S,不管电机是否达到静止状态制动器将进行机械制动。
轻载下降:轻载下降与重载下降一样,首先上升接触器接通,给电机施加一定的反接力矩,如果负载太轻,电机不动或下降速度极慢,系统判断负载过轻,此时上升接触器释放,下降接触器接通,此时电机将以再生发电状态下降。当实际速度超过给定速度值时,系统自动进入反接制动状态,当负载处于临界状态时,上升下降接触器出现多次判断,然后稳定运行。
平移: 当起重机平移机构运行时,主令控制器给任何档位,系统将在这一速度上稳定运行;当主令控制器回零位时,反接制动工作,反接制动时间由速度惯性决定。
经过这近十年的经济发展,马来西亚工业也取得了突破性的进展,特别是在石油、钢铁、天然气等能源行业更为显著,此文所述为该国家钢铁行业的行车设备技术改造的其中一个例子。我厂建于1997年,行车一开始采用绕线式异步电动机转子串接频敏电阻器进行启动和调速,该继电器-接触器控制方式在实际运行中存在很多问题,主要是频敏电阻器烧损、断裂和接地故障时有发生,造成电动机频繁烧损,继电器-接触器控制系统可靠性差,故障率高,维护困难,维护费用高。因此,在很大程度上限制了产能的调高,为了更大的取得产品效益,节约成本,机械设备利旧,决定将目前的4台行车控制系统进行更换,采用现在流行的数字式调压调速控制系统。
二、控制系统介绍
QTD数字调压调速系列产品适用于冶金、港机、建筑、化工、石油等行业,特别适用于重级工作制度和处于恶劣环境重起重机的电气驱动和控制。在原来模拟QTA多年成功应用之后,利用现代数字技术和可控硅技术研制开发出新一代起重机控制器-QTD控制装置。
随着数字电子技术的高速发展,数字可控硅技术的应用也相应发生巨大变化,该系统是利用数字可控硅技术,实现了适合起重机的电气控制,特别是冶金生产环境下的起重机电气控制产品。其产品主要有以下特点:
1) 具有高可靠性,表现在提高了生产率,减少了运行成本,机构紧凑、节省空间,能适应恶劣的生产环境;
2) 高安全性,表现在开闸先建立电机力矩,下降时,制动和高速档回低速档时利用反接力矩防止溜钩运行过程中反馈线开路,控制器停止工作,电源缺相、错相、相不平衡及电机过载和欠压时,控制器处于保护状态,电机停止工作。
3) 优越的控制性能,表现在速度控制和载荷无关,平稳的控制技术(整个系统实行闭环控制,实现恒定速度调节,能减少减速箱和电机的冲击、减少电流峰值,延长电机寿命。并具有安全的制动器控制,制动时,建立力矩后再打开制动器,先电制动,待减速后机械制动,减少对制动器的磨损,电机接近零速或紧急状态下,制动器才被利用。
三、工作原理
QTD控制器的晶闸管串接在电机定子回路,其转子回路串接适当的电阻器,通过调节三相反并联晶闸管导通角来改变定子电压,由异步电动机的电转矩表达式

由上式可知,当电动机各参数及电源频率不变时,且当转差率S不变时,电动机输出转矩T与电动机定子电压 成正比。当改变定子电压时,可以得到一组人为的机械特性曲线。
因电机的转矩与定子电压的平方成比例,从而达到控制电机转速的目的,电机转速通过人工操作主令设定速度,速度反馈实现闭环控制,电机的运转方向通过换向接触器K1和K2实现.
简述:△V0=Vg-Vf ,当△V0>0 时,PID的输出 V0增加,晶闸管导通角增大,电机定子电压升高,电机加速。当 △V00 ,电机在较高的电压下起动,随着电机加速,转子频率下降,Vf 增加,逐渐接近Vg ,当 △V0=0时,电机稳速运行,此时电机转矩和负载转矩相平衡;如速度给定改变,或负载改变打破了原有平衡,系统将根据上述原理自动趋向新的平衡。
四、系统说明
控制器工作前,安全检测电路对三相电源进行检测,如出现错相、缺相、严重相压不平衡、供电电压过低或反馈线断路等,控制器不工作。
控制器具有延时功能,防止操作人员快速点动操作,保证平稳的加速和减速,防止对电机和减速机的冲击。在两个运动方向上均设四档速度,10%、20%、30%,当选择四档100%速度时,电机沿斜坡曲线加速到全速。
对起升机构,有两个加速接触器,分别在50%速度(25Hz),75%速度(12.5Hz)时接通,以平稳加速到全速,加速过程中切换时的峰值电流限制在满载电流的两倍。当电机超载时,加速接触器立即释放,防止电机严重超载。
起升机构运行:当主令控制器选择起升某一挡位时,上升接触器接通,电机得电,制动器打开,电机起动。通过转子信号与控制器给定信号综合,QTD控制器自动进入闭环控制状态,在给定的速度下运行,主令控制器从任何档位回零时,制动器先制动,电机断电,抱闸停车。
重载下降:当主令控制器选择下降某一挡位时,首先上升接触器接通,电机产生上升力矩,制动器打开,电机起动,在重力作用下重物下降,QTD控制器在闭环状态下以给定的速度稳定运行。主令控制器选择全速档位时,下降接触器接通,此时电机处于再生发电状态全速下降,当主令控制器从下降全速档回到慢速档时,经100ms延时下降接触器释放上升接触器接通,在反接力矩作用下,电机减速并进入闭环控制状态。
无论在任何运行状态下,一旦主令控制器回到零位,控制器以反接力矩进行制动,电机立即减速,达到静止状态后,制动器制动,经0.6s延时电机断电停止运行,如电制动时间超过1S,不管电机是否达到静止状态制动器将进行机械制动。
轻载下降:轻载下降与重载下降一样,首先上升接触器接通,给电机施加一定的反接力矩,如果负载太轻,电机不动或下降速度极慢,系统判断负载过轻,此时上升接触器释放,下降接触器接通,此时电机将以再生发电状态下降。当实际速度超过给定速度值时,系统自动进入反接制动状态,当负载处于临界状态时,上升下降接触器出现多次判断,然后稳定运行。
平移: 当起重机平移机构运行时,主令控制器给任何档位,系统将在这一速度上稳定运行;当主令控制器回零位时,反接制动工作,反接制动时间由速度惯性决定。
电动机 电阻 继电器 可控硅 电子 电流 电压 电路 相关文章:
- 基于DSP高精度伺服位置环设计(06-21)
- 基于DSP的工业缝纫机控制系统设计(09-23)
- 无传感器交流电动机控制技术提高了运行效率(10-15)
- 一种变频调速系统的SVPWM控制设计(02-03)
- FPGA在步进电机控制中的应用(03-07)
- 用C8051F构成的采集与控制系统(03-09)
