MAP译码器嵌入式状态信息存储机制设计
时间:08-06
来源:互联网
点击:
3.1状态度量信息更新
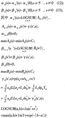
在ESMS度量更新的时候同时完成归一化操作,因此,在ESMS归一化过程中,不需要搜索每一步的最大状态信息,从而可以降低VLSI应用中的延迟和面积。
3.2外信息计算
由于在计算状态信息和外信息的过程中,αk(0)和βk(0)始终为0,所以相关的运算可以省略;因此ESMS可以减少译码运算量。
4.性能分析
本文使用仿真来分析ESMS技术的性能。仿真中采用CDMA2000标准中的turbo码,。为性能评价,在设计数据路径时采用了Synopsys作为综合器。为了比较,同时采用了传统的Log_MAP算法。从而得出结论使用了ESMS技术的Log_MAP算法的译码器可以达到传统算法相同的性能。表3列出了采用ESMS技术的Log_MAP算法的译码器,采用MEPMUM技术的译码器以及采用传统方法译码器为存储度量信息所要求的存储器空间数值。从表3中显示MEPMUM和ESMS能极大的降低存储器用量,且ESMS能协助MEPMUM降低12.5%的存储器空间。
采用了ESMS和传统方法两种应用来实现Log_MAP译码器。为了比较,应用还采用了智能归一化[8]的Log_MAP译码器。在综合中选择速度最优化选项。表4列出了综合结果。表4显示智能归一化和ESMS相比传统方式能减少超过36%的面积和17%的延迟。采用了ESMS技术的Log_MAP算法比智能归一化实现多降低了1%的面积和延迟,但相比存储器空间竞降低了12.5%。因此,本文提出的这种新技术ESMS能够使Log_MAP译码器运算更快,面积更小,存储器空间消耗更小。
5.结论
本文提出的嵌入式状态信息存储技术能够提高Turbo译码器的运算速度,并减小面积占用,这种状态信息存储机制能够用于Log_MAP和Max-Log_MAP译码器的ASIC和FPGA设计中。
![]() |
在ESMS度量更新的时候同时完成归一化操作,因此,在ESMS归一化过程中,不需要搜索每一步的最大状态信息,从而可以降低VLSI应用中的延迟和面积。
3.2外信息计算
![]() |
![]() |
由于在计算状态信息和外信息的过程中,αk(0)和βk(0)始终为0,所以相关的运算可以省略;因此ESMS可以减少译码运算量。
4.性能分析
本文使用仿真来分析ESMS技术的性能。仿真中采用CDMA2000标准中的turbo码,。为性能评价,在设计数据路径时采用了Synopsys作为综合器。为了比较,同时采用了传统的Log_MAP算法。从而得出结论使用了ESMS技术的Log_MAP算法的译码器可以达到传统算法相同的性能。表3列出了采用ESMS技术的Log_MAP算法的译码器,采用MEPMUM技术的译码器以及采用传统方法译码器为存储度量信息所要求的存储器空间数值。从表3中显示MEPMUM和ESMS能极大的降低存储器用量,且ESMS能协助MEPMUM降低12.5%的存储器空间。
采用了ESMS和传统方法两种应用来实现Log_MAP译码器。为了比较,应用还采用了智能归一化[8]的Log_MAP译码器。在综合中选择速度最优化选项。表4列出了综合结果。表4显示智能归一化和ESMS相比传统方式能减少超过36%的面积和17%的延迟。采用了ESMS技术的Log_MAP算法比智能归一化实现多降低了1%的面积和延迟,但相比存储器空间竞降低了12.5%。因此,本文提出的这种新技术ESMS能够使Log_MAP译码器运算更快,面积更小,存储器空间消耗更小。
5.结论
本文提出的嵌入式状态信息存储技术能够提高Turbo译码器的运算速度,并减小面积占用,这种状态信息存储机制能够用于Log_MAP和Max-Log_MAP译码器的ASIC和FPGA设计中。
- 基于MSP430单片机的多路数据采集系统的设计(06-20)
- LED照明全方位渗透,高能效驱动方案点亮前景(11-17)
- 使用L6506 实现步进电机的电流控制(12-10)
- 激光微加工系统及基于DSP+FPGA的控制单元的研究(03-05)
- Si472x射频收发芯片的交通状况提示装置(02-18)
- 红外方式数字图像采集报警系统的设计(03-15)



