高效数字调制技术及其在DSP上的设计实现
时间:11-27
来源:互联网
点击:
入21世纪以来,随着人类探索外太空活动的深入,深空探测正逐步成为航天活动的新热点。1998年,美国国家航空航天局(NASA)在加州理工学院的喷气推进实验室(JPL)成立了深空通信和导航系统精英中心(DESCANSO)。DESCANSO负责管理和促进深空探测对通信和导航技术需求的创新和改革。2007年我国探月工程计划——嫦娥奔月的成功是中国走向深空探索的第一步,标志着我国深空探测的开始,也是未来进行更远深空探测的必然要求。因而对深空测控通信技术的研究就显得非常重要。
随着通信容量日益增加,射频频谱变得越来越拥挤,数据速率不断增长,所用带宽越来越宽,使得信道间的相互干扰相当突出。在这种情况下,FQPSK——一种高带宽效率数字调制方法应运而生。它具有调制信号的频带集中,旁瓣滚降快,包络恒定的特性。另外还介绍了网格编码调制(TCM)技术,它是近年发展起来的一种解决通信系统有效性与可靠性的方案。它可以在不增加信号带宽、不降低有效信息传输速率情况下,获得明显的编码增益。因此特别适合在带宽受限的信道中进行信息传输。
1 FQPSK体制
FQPSK调制的关键在于除了对数字信号进行IJF编码外,还在其后增加了一个交叉相关的运算单元,以减少其包络起伏。原理图如图1所示。

1.1 IJF编码原理
所谓UF编码就是采用一种新的基带成型脉冲时限双码元间隔升余弦脉冲,将基带数字序列经此脉冲成型后,再调制。因其不存在振荡尾巴,从而消除了码间干扰和定时抖动。
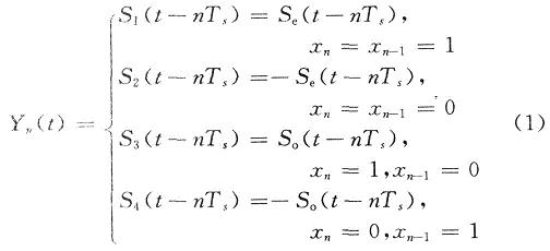
实现UF编码的方法有脉冲叠加法、横向滤波器法和非线性滤波器法等几种。非线性滤波器法实质上是一种分段合成UF波形的方法。成型后的UF编码波形仅由以下4种波形合成:即±So和±Se,其中So,Se波形如图2所示。

实现时根据输入的前一时刻和当前时刻码元关系来确定该时刻的编码输出:

IJF编码结果如图3所示。

1.2 互相关及DSP实现
经IJF编码输出的波形有3 dB的包络起伏,然后通过互相关来消除包络起伏。具体相关过程是将I路和Q路的两个码元符号在每半个符号间隔内进行如下相关运算:
(1)I路信号为零时,Q路信号为最大峰值。
(2)1路信号为非零时,Q路信号最大值衰减到A

(3)Q路信号为零时,I路信号为最大峰值。
(4)Q路信号为非零时,I路信号最大值衰减到A。
当

时,其包络起伏接近0 dB,这种使信号幅度包络恒定的方法是一种人为的拼凑方法,无法从原理上做到包络恒定,而仅仅能达到某种程度的近似的包络恒定。
在工程实践中,使用了TI公司的TMS320C6711芯片。该芯片基于超长指令字的体系结构,非常适合于高强度的数学运算。C6711既能进行定点处理也能进行浮点处理。
在DSP实现时,按文献的方法先将8种波形数据制表,然后进行逐符号映射,计算波形编号,得到地址,寻址波形表,输出波形。交叉相关后波形如图4所示。

2 网格编码调制原理
网格编码调制与传统的方法的最大区别在于它是把编码与调制、解调与译码作为一个统一的整体进行综合设计,从而保证信号空间的最佳分割。它包括卷积编码和分集映射,如图5所示。

一个m比特的信息块被分成长度分别为k1,k2的两组。k1比特通过卷积编码器后被编码成n比特,用来在分集后信号星座的2n个子集里映射其中之一,而未参加编码的k2比特用来在各子集的2k2个信号点里映射其中之一。k2=0,所有m个信息比特都参与编码。
2.1 4 状态8PSK TCM分析
文中4状态8PSK网格编码调制方案采用码率为2/3的卷积码对8PSK信号空间的映射构成TCM方案,基本结构如图6所示。

表示简单编码器的一种方法是网格图,如。图7所示。它既有时间尺度,又利用了结构上的重复性,避免了支路数呈指数增长的情况。图7中,实线表示输入比特为0的路径,虚线表示输入比特为1的路径。

2.2 Viterbi译码
Viterbi译码算法是目前最为常用的卷积码的译码方法,主要分为硬判决维特比和软判决维特比。本文采用硬判决,译码时,将接收到的编码序列与网格图上所有可能的转移路径作比较,计算出其汉明距离,并从中选择累加路径距离最小的路径,该条路径对应的序列就是最可能的发送序列。
对于文中的编码器来说,其Viterbi译码算法的基本步骤如下:
(1)计算量度值。根据接收到的信号序列,对a,b,c和d四种状态分别计算上下两支路状态转移的汉明距离HD upper和HD_lower。
(2)相加,比较,选择,存储。在四个状态节点上,分别比较到达同一节点的上下两支路累积路径量度值的大小,选择较小的一条路径y_final,将其状态量度值存储到L(s,t),其中s表示状态,t表示时间。记录路径r(r表示第几条支路),并存储到path(s,t)中。
(3)寻找最佳路径。根据L(s,t),path(s,t)及状态转移表S(S记录了每个状态上下分支的前一状态值)的值从最后一个时刻开始进行回溯,最终得到最佳路径,此路径是由状态值表示的。这是一种递归算法。
(4)译码。根据最佳路径,依次译出二进制码字,上支路译码为0,下支路译码为1,得到译码结果。其实,当路径量度计算进行到网格图一定深处时,前面的路径已经合并成一条路径,此时就会产生第一位译码比特。这个深度即为译码深度,一般译码深度为约束长度的5~8倍。
随着通信容量日益增加,射频频谱变得越来越拥挤,数据速率不断增长,所用带宽越来越宽,使得信道间的相互干扰相当突出。在这种情况下,FQPSK——一种高带宽效率数字调制方法应运而生。它具有调制信号的频带集中,旁瓣滚降快,包络恒定的特性。另外还介绍了网格编码调制(TCM)技术,它是近年发展起来的一种解决通信系统有效性与可靠性的方案。它可以在不增加信号带宽、不降低有效信息传输速率情况下,获得明显的编码增益。因此特别适合在带宽受限的信道中进行信息传输。
1 FQPSK体制
FQPSK调制的关键在于除了对数字信号进行IJF编码外,还在其后增加了一个交叉相关的运算单元,以减少其包络起伏。原理图如图1所示。

1.1 IJF编码原理
所谓UF编码就是采用一种新的基带成型脉冲时限双码元间隔升余弦脉冲,将基带数字序列经此脉冲成型后,再调制。因其不存在振荡尾巴,从而消除了码间干扰和定时抖动。
实现UF编码的方法有脉冲叠加法、横向滤波器法和非线性滤波器法等几种。非线性滤波器法实质上是一种分段合成UF波形的方法。成型后的UF编码波形仅由以下4种波形合成:即±So和±Se,其中So,Se波形如图2所示。

实现时根据输入的前一时刻和当前时刻码元关系来确定该时刻的编码输出:

IJF编码结果如图3所示。

1.2 互相关及DSP实现
经IJF编码输出的波形有3 dB的包络起伏,然后通过互相关来消除包络起伏。具体相关过程是将I路和Q路的两个码元符号在每半个符号间隔内进行如下相关运算:
(1)I路信号为零时,Q路信号为最大峰值。
(2)1路信号为非零时,Q路信号最大值衰减到A

(3)Q路信号为零时,I路信号为最大峰值。
(4)Q路信号为非零时,I路信号最大值衰减到A。
当

时,其包络起伏接近0 dB,这种使信号幅度包络恒定的方法是一种人为的拼凑方法,无法从原理上做到包络恒定,而仅仅能达到某种程度的近似的包络恒定。
在工程实践中,使用了TI公司的TMS320C6711芯片。该芯片基于超长指令字的体系结构,非常适合于高强度的数学运算。C6711既能进行定点处理也能进行浮点处理。
在DSP实现时,按文献的方法先将8种波形数据制表,然后进行逐符号映射,计算波形编号,得到地址,寻址波形表,输出波形。交叉相关后波形如图4所示。

2 网格编码调制原理
网格编码调制与传统的方法的最大区别在于它是把编码与调制、解调与译码作为一个统一的整体进行综合设计,从而保证信号空间的最佳分割。它包括卷积编码和分集映射,如图5所示。

一个m比特的信息块被分成长度分别为k1,k2的两组。k1比特通过卷积编码器后被编码成n比特,用来在分集后信号星座的2n个子集里映射其中之一,而未参加编码的k2比特用来在各子集的2k2个信号点里映射其中之一。k2=0,所有m个信息比特都参与编码。
2.1 4 状态8PSK TCM分析
文中4状态8PSK网格编码调制方案采用码率为2/3的卷积码对8PSK信号空间的映射构成TCM方案,基本结构如图6所示。

表示简单编码器的一种方法是网格图,如。图7所示。它既有时间尺度,又利用了结构上的重复性,避免了支路数呈指数增长的情况。图7中,实线表示输入比特为0的路径,虚线表示输入比特为1的路径。

2.2 Viterbi译码
Viterbi译码算法是目前最为常用的卷积码的译码方法,主要分为硬判决维特比和软判决维特比。本文采用硬判决,译码时,将接收到的编码序列与网格图上所有可能的转移路径作比较,计算出其汉明距离,并从中选择累加路径距离最小的路径,该条路径对应的序列就是最可能的发送序列。
对于文中的编码器来说,其Viterbi译码算法的基本步骤如下:
(1)计算量度值。根据接收到的信号序列,对a,b,c和d四种状态分别计算上下两支路状态转移的汉明距离HD upper和HD_lower。
(2)相加,比较,选择,存储。在四个状态节点上,分别比较到达同一节点的上下两支路累积路径量度值的大小,选择较小的一条路径y_final,将其状态量度值存储到L(s,t),其中s表示状态,t表示时间。记录路径r(r表示第几条支路),并存储到path(s,t)中。
(3)寻找最佳路径。根据L(s,t),path(s,t)及状态转移表S(S记录了每个状态上下分支的前一状态值)的值从最后一个时刻开始进行回溯,最终得到最佳路径,此路径是由状态值表示的。这是一种递归算法。
(4)译码。根据最佳路径,依次译出二进制码字,上支路译码为0,下支路译码为1,得到译码结果。其实,当路径量度计算进行到网格图一定深处时,前面的路径已经合并成一条路径,此时就会产生第一位译码比特。这个深度即为译码深度,一般译码深度为约束长度的5~8倍。
- 无线射频识别技术(RFID)(04-15)
- 基于ARM平台的MEMS输入设备的固件设计(07-17)
- 一种20M低相位噪声晶体振荡器的设计(05-20)
- 基于单片机的无线病房呼叫系统设计(08-26)
- NFC芯片能否借助北京地铁而走红?就看这些应用了(07-22)
- 基于MSP430单片机的低功耗主动式RFID标签设计(06-12)
