一种低成本便携式的高精度噪声计设计方案
时间:01-24
来源:互联网
点击:
噪声污染和气体污染、固体物质污染已称为当今世界三大污染。过高的噪声会损害人们的健康,如产生神经衰弱、神经质等。噪声监测是提高人类生活水平的重要途径。人耳的听阈一般是20μPa,痛阈一般为200 Pa,其间相差107倍,这样宽广的声压范围不易测量,而且人耳对声压相对变化的分辨具有非线性特征,通常采用40方等响曲线的反曲线对声压级进行计权校正,即用A计权网络测A声级,它的单位是dB。目前,国外公司一直占据国内高精度噪声计市场,它的价格普遍偏高,严重制约了噪声计的广泛使用。然而,用于日常生活的环境噪声测量设备并不需要复杂和十分精确的测量仪器,因此设计一种低成本、便携式、可满足日常生活使用的噪声计十分重要。
1 电路设计
声学中常用声压级Lp来反映声压的变化,将声压P的声压级表示为:
LP=20lg(P/P0)
式中:基准量P0单位为μPa,当P=P0时,Lp=0 dB;
当P=107P0时,LP=140 dB。
系统原理图如图1所示,在信号采集和放大电路中采用了驻极体传声器,并采用反相放大器将信号放大到适宜处理的范围;通过A计权网络很好地满足人耳对不同频率声音的敏感性;AD536芯片很容易得到有效值及其相对应的分贝值,避免采用单片机进行大运算量的对数处理,提高了反应速度;调整电路可以确定所需的不同测量零点;最后用数码管对结果进行实时显示,具有快慢显示功能。
1.1 噪声信号的采集及放大电路实现
驻极体话筒采用源极接地,漏极输出的方法连接,动态范围宽,灵敏度高。在VCC=9 V的电压驱动下,动态范围可以达到一2~+2V。经过调试,当话筒电压V1=VCC/2时,话筒灵敏度达到最大。在本电路中取漏极负载电阻R1=20 kΩ,电路图如图2所示。传感器将噪声信号变换为电信号后,继续将其放大。放大电路采用带宽大于2 MHz的运算放大器。
电路参数:R2=20 kΩ,R3=51 kΩ,C=0.22μF;
增益:A=R3/R2=2.55;
输出电压幅值大致范围:0~5 V。
1.2 滤波电路方案实现
根据人耳列不同频率的响度感觉,在噪声测量中,常用A计权网络测得A声级。表1给出倍频带中心频率与A声级校正量之问的关系。
计权网络由无源高通滤波和有源低通滤波两部分构成,精心计算和调试相关外围元件参数,使其幅频特性与A计权曲线相近,电路图如图3所示。
高通滤波器相应参数计算如下:
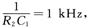
取C1=10μF,利用等式
求得后级电阻R2=100Ω,前级电阻取R1=100 kΩ,以便得到较高的输入阻抗。
二阶巴特沃斯有源滤波电路的相应参数计算如下:
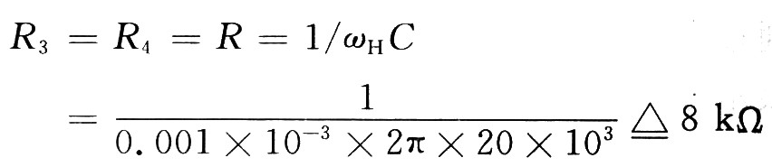
(1)选择电容C2的容量,计算电阻R3,R4的阻值通常电容C2,C3宜在微法数量级以下,电阻R3,R4的值一般约在几百千欧以内。
设定C2=C3=C=1 000 pF,故有:

考虑到-3dB的截止角频率ωH=ωn,则:

令:S=s/ωH,依据巴特沃斯多项式中n=2的情况

考虑到则得到:


(2)求R5,R6的阻值
考虑到运放两输入端的外接电阻必须满足平衡条件,即R5||R5=R3+R4=16kΩ,故求出R5=25kΩ,R6=43kΩ。
由于滤波器性能对元件的误差比较灵敏,在电路中应选用稳定而精密的电阻器和电容器。
1.3 有效值及对数电路方案实现
有效值电路采用真有效值/直流转换器AD536A。AD536A的性能与混合或模数器件相当,甚至更优,但其价格却低得多,而且它的连接非常简单。只需一个外接电容来设置平均时间常数即可,在这里取输入时间为O.25s,当CAV与信号的输入电阻形成的低通滤波器时问常数大于信号的周期时,就能很好地求出有效值和对数值。
对数输出由5端引出,该点的电压与一logVin成正比。可用射极跟随器缓冲并可以用外部调整电路平移该电压,电压调整电路由稳压芯片AA580构成。缓冲器的输出端级联一个放大倍数可调的放大器,用以改变步长。
1.4 调整及显示电路方案实现
1.4.1 调整电路
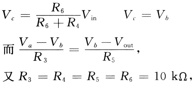
有效值及对数电路的输出电压与-log Vin成正比,通过缓冲器的步长调整,可以得到等式Lp=20lg(P/P0)=201g P-20lg P0右边的第一项,在设计中要设定参考电压,即0分贝值,只需改变等式右边的第二项,所以在对数电路后加入了一级基于减法电路的补偿电路,可以用来调零。同时,还可以通过调整补偿电压,设立相对参考零点,用来测量分贝变化的相对值,通过改变基准电压的大小,从而实现了输入显示电路的表示分贝值的电压信号的调节。
具体推导公式如下:

故解得,Vout=Vin-Va,而Vin是表示分贝值的电压信号,通过改变电位器RX的大小来调节基准电压Va的大小,从而实现了输入显示电路的表示分贝值的电压信号Vout的调节。其中Va为R3的输入电压,Vb为运放的反向输入电压,Vout为运放的同向输入电压,Vin为输入电压,Vout为输出电压。
1 电路设计
声学中常用声压级Lp来反映声压的变化,将声压P的声压级表示为:
LP=20lg(P/P0)
式中:基准量P0单位为μPa,当P=P0时,Lp=0 dB;
当P=107P0时,LP=140 dB。
系统原理图如图1所示,在信号采集和放大电路中采用了驻极体传声器,并采用反相放大器将信号放大到适宜处理的范围;通过A计权网络很好地满足人耳对不同频率声音的敏感性;AD536芯片很容易得到有效值及其相对应的分贝值,避免采用单片机进行大运算量的对数处理,提高了反应速度;调整电路可以确定所需的不同测量零点;最后用数码管对结果进行实时显示,具有快慢显示功能。

1.1 噪声信号的采集及放大电路实现
驻极体话筒采用源极接地,漏极输出的方法连接,动态范围宽,灵敏度高。在VCC=9 V的电压驱动下,动态范围可以达到一2~+2V。经过调试,当话筒电压V1=VCC/2时,话筒灵敏度达到最大。在本电路中取漏极负载电阻R1=20 kΩ,电路图如图2所示。传感器将噪声信号变换为电信号后,继续将其放大。放大电路采用带宽大于2 MHz的运算放大器。

电路参数:R2=20 kΩ,R3=51 kΩ,C=0.22μF;
增益:A=R3/R2=2.55;
输出电压幅值大致范围:0~5 V。
1.2 滤波电路方案实现
根据人耳列不同频率的响度感觉,在噪声测量中,常用A计权网络测得A声级。表1给出倍频带中心频率与A声级校正量之问的关系。

计权网络由无源高通滤波和有源低通滤波两部分构成,精心计算和调试相关外围元件参数,使其幅频特性与A计权曲线相近,电路图如图3所示。

高通滤波器相应参数计算如下:
取C1=10μF,利用等式
求得后级电阻R2=100Ω,前级电阻取R1=100 kΩ,以便得到较高的输入阻抗。二阶巴特沃斯有源滤波电路的相应参数计算如下:
(1)选择电容C2的容量,计算电阻R3,R4的阻值通常电容C2,C3宜在微法数量级以下,电阻R3,R4的值一般约在几百千欧以内。
设定C2=C3=C=1 000 pF,故有:

考虑到-3dB的截止角频率ωH=ωn,则:

令:S=s/ωH,依据巴特沃斯多项式中n=2的情况

考虑到则得到:


(2)求R5,R6的阻值
考虑到运放两输入端的外接电阻必须满足平衡条件,即R5||R5=R3+R4=16kΩ,故求出R5=25kΩ,R6=43kΩ。
由于滤波器性能对元件的误差比较灵敏,在电路中应选用稳定而精密的电阻器和电容器。
1.3 有效值及对数电路方案实现
有效值电路采用真有效值/直流转换器AD536A。AD536A的性能与混合或模数器件相当,甚至更优,但其价格却低得多,而且它的连接非常简单。只需一个外接电容来设置平均时间常数即可,在这里取输入时间为O.25s,当CAV与信号的输入电阻形成的低通滤波器时问常数大于信号的周期时,就能很好地求出有效值和对数值。
对数输出由5端引出,该点的电压与一logVin成正比。可用射极跟随器缓冲并可以用外部调整电路平移该电压,电压调整电路由稳压芯片AA580构成。缓冲器的输出端级联一个放大倍数可调的放大器,用以改变步长。
1.4 调整及显示电路方案实现
1.4.1 调整电路
有效值及对数电路的输出电压与-log Vin成正比,通过缓冲器的步长调整,可以得到等式Lp=20lg(P/P0)=201g P-20lg P0右边的第一项,在设计中要设定参考电压,即0分贝值,只需改变等式右边的第二项,所以在对数电路后加入了一级基于减法电路的补偿电路,可以用来调零。同时,还可以通过调整补偿电压,设立相对参考零点,用来测量分贝变化的相对值,通过改变基准电压的大小,从而实现了输入显示电路的表示分贝值的电压信号的调节。
具体推导公式如下:

故解得,Vout=Vin-Va,而Vin是表示分贝值的电压信号,通过改变电位器RX的大小来调节基准电压Va的大小,从而实现了输入显示电路的表示分贝值的电压信号Vout的调节。其中Va为R3的输入电压,Vb为运放的反向输入电压,Vout为运放的同向输入电压,Vin为输入电压,Vout为输出电压。
电路 放大器 单片机 电压 电阻 电路图 传感器 运算放大器 滤波器 电容 电容器 低通滤波器 二极管 LED 仿真 相关文章:
- 集成电路的电磁兼容测试(06-06)
- 低功耗制造测试的设计-第一部分(01-29)
- 低功耗制造性测试的设计-第二部分(01-29)
- ASA测试技术在电路维修测试仪上的应用(06-28)
- 示波器前级衰减电路(06-21)
- 电调谐LC滤波器的研究与设计(11-09)
