如何为互阻抗放大器电路选择具有足够带宽的运算放大器(1)
时间:12-15
来源:互联网
点击:
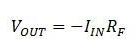
互阻抗放大器是一款通用运算放大器,其输出电压取决于输入电流和反馈电阻器:

(1)
我经常见到图 1 所示的这款用来放大光电二极管输出电流的电路。几乎所有互阻抗放大器电路都需要一个与反馈电阻器并联的反馈电容器 (CF),用以补偿放大器反相节点的寄生电容,进而保持稳定性。

图 1:反馈电容器 CF 可补偿光电二极管接点电容及运算放大器输入电容
有大量文章都介绍了在使用某种运算放大器时应如何选择反馈电容器,但我认为这根本就是错误的方法。不管我们半导体制造商相信什么,工程师都不会先选择运算放大器,然后再通过它构建电路!大部分工程师都是先罗列一系列性能要求,再寻找能满足这些要求的部件。
鉴于这种考虑,最好先确定电路中允许的最大反馈电容器,然后选择一个具有足够增益带宽积 (GBW) 的运算放大器,以便能与该反馈电容器稳定工作。
下面是为互阻抗放大器确定所需运算放大器带宽的简易方法的步骤。
步骤 1:确定允许的最大反馈电容。
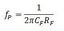
反馈电容器连同反馈电阻器构成放大器频率响应中的一个极点:

(2)
高于这个极点频率时,电路的放大性就会降低。最大反馈电容器值可由反馈电阻器和所需的带宽确定:

(3)
我们可通过让反馈电容器等于或小于公式 3 计算得到的值,来确保电路满足带宽要求。
步骤 2:确定放大器反相输入端电容。
在图 2 中,重画了图 1 的电路,以显示光电二极管的接点电容 (CJ) 以及放大器的差分 (CD) 及共模(CCM1、CCM2)输入电容。这些值通常在运算放大器和光电二极管的产品说明书中提供。

图 2:显示反相节点电容的互阻抗放大器电路
从本图中可以很明显看到 CJ、CD 和 CCM2 是并联的,因此反相输入端电容是:

(4)
由于非反相端接地,因此 CCM1 不会增加输入电容。这时候 CD 和 CCM2 可能还不知道,因为我们还没有选择特定的运算放大器。我经常将 10pF 作为其相加过后的合理估计值。随后可用确切值来替代,以确定特定运算放大器是否合适。
既然我们已经确定了 CF 和 CIN 的值,那现在就能计算出所需的运算放大器带宽。我将在下个部分介绍该计算,并在设计实例中应用以上过程。
【系列文章】
如何为互阻抗放大器电路选择具有足够带宽的运算放大器(2)
如何为互阻抗放大器电路选择具有足够带宽的运算放大器(3)
放大器 运算放大器 电压 电流 电阻 二极管 电路 电容 电容器 半导体 相关文章:
- 使用简化电路的高压放大器(11-21)
- 无需调谐的“砖墙式”低通音频滤波器(11-20)
- 对数放大器的技术指标(11-26)
- 一种增大放大器增益的方法(11-28)
- 对数放大器的典型应用 (11-26)
- AGC中频放大器的设计 (11-29)
