解决 LVDT 定位传感器中的非线性问题
时间:09-15
来源:互联网
点击:
解决非线性问题
现在,我们不仅将解决由非理想信号生成器和调节器带来的两种非线性来源问题,而且还将分析常见非线性系统形式之一的二阶非线性系统。该分析可进一步延伸至更高阶的非线性以及非线性变送器输出。
失真驱动信号
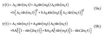
在存在失真驱动信号(或载波信号)的情况下,通过三角函数运算并设a1=1,a2=b,等式1 给出的振幅调制载波信号可表示为:
等式 9 说明,除了大约为ωC 的信号外,变送器输出还提供 0 弧度/秒和大约 2ωC 的频率组分。
最大限度减少频率组分(在 0 弧度/秒和大约 2ωC 下)的明确方法是使用中心频率设定在ωC、而且带宽足够的带通滤波器。具体而言,带宽应具有在 wC±wS 范围内无显著衰减的特性。这样的带通滤波器,其输出可表达为:
然后,无论采用峰值法还是均值法,都能通过解调该带通滤波器输出来提取变送器信号。
非线性信号链
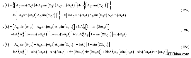
二阶信号链非线性的存在会导致振幅调制信号发生下列变化:
设 a1=1、a2=b,经过下列三角函数运算,可将等式 11 表示为:
等式 12 再次说明,除了大约为ωC 的信号外,变送器输出还提供 0 弧度/秒和大约 2ωC 及各种更高频率的频率组分。
再次使用中心频率设定在ωC、具有足够带宽的带通滤波器,可以减少非线性引起的频率组分。使用这样的带通滤波器,带通滤波器的输出可表达为:
然后,无论采用峰值法还是均值法,都能通过解调该带通滤波器输出来提取变送器信号。
结论
LVDT 定位传感器的输出可能会呈非线性。本文介绍的在信号链中使用带通滤波器的方法可能是一种有效解决信号非线性问题的方法。
图 2 是本文所述 LVDT 信号调节器的简化方框图。具体来说,该方框图说明了如何在信号链中使用带通滤波器。
注意,TI PGA450-Q1 信号调节器专为汽车超声波停车辅助传感器精心设计,已包含带通滤波器。
现在,我们不仅将解决由非理想信号生成器和调节器带来的两种非线性来源问题,而且还将分析常见非线性系统形式之一的二阶非线性系统。该分析可进一步延伸至更高阶的非线性以及非线性变送器输出。
失真驱动信号
在存在失真驱动信号(或载波信号)的情况下,通过三角函数运算并设a1=1,a2=b,等式1 给出的振幅调制载波信号可表示为:
等式 9 说明,除了大约为ωC 的信号外,变送器输出还提供 0 弧度/秒和大约 2ωC 的频率组分。
最大限度减少频率组分(在 0 弧度/秒和大约 2ωC 下)的明确方法是使用中心频率设定在ωC、而且带宽足够的带通滤波器。具体而言,带宽应具有在 wC±wS 范围内无显著衰减的特性。这样的带通滤波器,其输出可表达为:
然后,无论采用峰值法还是均值法,都能通过解调该带通滤波器输出来提取变送器信号。
非线性信号链
二阶信号链非线性的存在会导致振幅调制信号发生下列变化:
设 a1=1、a2=b,经过下列三角函数运算,可将等式 11 表示为:
等式 12 再次说明,除了大约为ωC 的信号外,变送器输出还提供 0 弧度/秒和大约 2ωC 及各种更高频率的频率组分。
再次使用中心频率设定在ωC、具有足够带宽的带通滤波器,可以减少非线性引起的频率组分。使用这样的带通滤波器,带通滤波器的输出可表达为:
然后,无论采用峰值法还是均值法,都能通过解调该带通滤波器输出来提取变送器信号。
结论
LVDT 定位传感器的输出可能会呈非线性。本文介绍的在信号链中使用带通滤波器的方法可能是一种有效解决信号非线性问题的方法。
图 2 是本文所述 LVDT 信号调节器的简化方框图。具体来说,该方框图说明了如何在信号链中使用带通滤波器。
注意,TI PGA450-Q1 信号调节器专为汽车超声波停车辅助传感器精心设计,已包含带通滤波器。
变压器 传感器 无线电 德州仪器 集成电路 放大器 滤波器 低通滤波器 相关文章:
- AD698型LVDT信号调理电路的原理与应用(01-17)
- 电子元器件基本常识:变压器的基本知识(01-19)
- 变压器的基本知识(01-29)
- 电子变压器的演化(01-29)
- 电路设计基础知识--变压器(01-29)
- 单端正激变压器的设计(06-23)
