论微弱光信号前置放大电路设计
时间:07-30
来源:互联网
点击:
3.2滤波器设计
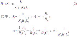
为使电路设计简洁并具有良好的信噪比,设计时还需要用带通滤波器对信号进行处理。为保证测量的精确性,本设计在前置放大电路之后加人二阶带通滤波电路,以除去有用信号频带以外的噪声,包括环境噪声及由前置放大器引人的噪声。这里采用的有源带通滤波器可选通某一频段内的信号,而抑制该频段以外的信号。该滤波器的幅频特性如图5所示。图5中,f1、f2分别为上下限截止频率,f0为中心频率,其频带宽度为:
B=f2-f1=f0/Q
式中,Q为品质因数,Q值越大,则随着频率的变化,增益衰减越快。这是因为中心频率一定时,Q值越大,所通过的频带越窄,滤波器的选择性好。

有源滤波器是一种含有半导体三极管、集成运算放大器等有源器件的滤波电路。这种滤波器相对于无源滤波器的特点是体积小、重量轻、价格低、结构牢固、可以集成。由于运算放大器具有输人阻抗高、输出阻抗低、高的开环增益和良好的稳定性,且构成简单而且性能优良。本设计选用了去处放大器来进行设计。
本设计选用了去处放大器来进行设计。
图6所示的二阶带通滤波器是一种二阶压控电压源(VCVS)带通滤波器,其滤波电路采用有源滤波器完成,并由二阶压控电压源(VCVS)低通滤波器和二阶压控电压源高通滤波器串接组成带通滤波器。
对于第一部分,即低通滤波器,系统要求的低通截止频率为fc,其传递函数为:

第二部分为高通滤波器,系统要求的高通截止频率为fc,其传递函数如下:

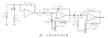
4 完整的检测电路设计
本光电检测系统设计的完整电路如图7所示。为方便表示,电路中的R2、R3即为前面等效电路模型中的RT、RF。前级部分由光电转换二极管与前级放大器组成,这也是光电检测电路的核心部分,其器件选用高性能低噪声运算放大器来实现电路匹配并将光电流转换成电压信号,以实现数倍的放大。然而,虽然前级放大倍数可以设计得很大,但由于反馈电阻会引入热噪声而限制电路的信噪比,因此前级信号不能无限放大。

5 结束语
本文研究了光电检测系统的原理和设计方法。通过从经济和实用的角度对相关的光电转换器件和前置放大器进行了选择和电路设计,从而确定了关键元器件的参数。实际使用证明:该设计可以满足一般光电检测场合的需要。
为使电路设计简洁并具有良好的信噪比,设计时还需要用带通滤波器对信号进行处理。为保证测量的精确性,本设计在前置放大电路之后加人二阶带通滤波电路,以除去有用信号频带以外的噪声,包括环境噪声及由前置放大器引人的噪声。这里采用的有源带通滤波器可选通某一频段内的信号,而抑制该频段以外的信号。该滤波器的幅频特性如图5所示。图5中,f1、f2分别为上下限截止频率,f0为中心频率,其频带宽度为:
B=f2-f1=f0/Q
式中,Q为品质因数,Q值越大,则随着频率的变化,增益衰减越快。这是因为中心频率一定时,Q值越大,所通过的频带越窄,滤波器的选择性好。

有源滤波器是一种含有半导体三极管、集成运算放大器等有源器件的滤波电路。这种滤波器相对于无源滤波器的特点是体积小、重量轻、价格低、结构牢固、可以集成。由于运算放大器具有输人阻抗高、输出阻抗低、高的开环增益和良好的稳定性,且构成简单而且性能优良。本设计选用了去处放大器来进行设计。
本设计选用了去处放大器来进行设计。
图6所示的二阶带通滤波器是一种二阶压控电压源(VCVS)带通滤波器,其滤波电路采用有源滤波器完成,并由二阶压控电压源(VCVS)低通滤波器和二阶压控电压源高通滤波器串接组成带通滤波器。
对于第一部分,即低通滤波器,系统要求的低通截止频率为fc,其传递函数为:

第二部分为高通滤波器,系统要求的高通截止频率为fc,其传递函数如下:

4 完整的检测电路设计
本光电检测系统设计的完整电路如图7所示。为方便表示,电路中的R2、R3即为前面等效电路模型中的RT、RF。前级部分由光电转换二极管与前级放大器组成,这也是光电检测电路的核心部分,其器件选用高性能低噪声运算放大器来实现电路匹配并将光电流转换成电压信号,以实现数倍的放大。然而,虽然前级放大倍数可以设计得很大,但由于反馈电阻会引入热噪声而限制电路的信噪比,因此前级信号不能无限放大。

5 结束语
本文研究了光电检测系统的原理和设计方法。通过从经济和实用的角度对相关的光电转换器件和前置放大器进行了选择和电路设计,从而确定了关键元器件的参数。实际使用证明:该设计可以满足一般光电检测场合的需要。
