LCR-TDD 系统初始频偏估计算法比较
时间:12-10
来源:互联网
点击:
1 引言
在许多通信系统中,基站通常会发送训练序列,用于终端和系统取得同步,这里的同步包括时间同步和频率同步,而同步通常包括粗同步和精同步两个步骤。在终端初始接入系统,或者从空闲模式重新接入系统时,通常需要进行粗同步,粗同步的目标是将终端的载波频偏调整到1KHz 以内,粗同步包括频偏估计和频偏调整两个步骤,粗同步通常需要经过若干次的“估计-调整”步骤以达到目标。粗同步完成以后,终端需要进入同步跟踪或精同步阶段。本文考虑频率粗同步过程中的频偏估计算法。
关于频偏估计的文章有很多,如-,文献给出了一种针对UMTS TDD 系统的频偏估计算法,但该算法需要预先计算矩阵的逆,运算复杂度比较大。文献针对LCR-TDD系统,提出一种频率粗同步算法,该算法侧重于同步调整策略,但该算法是针对单径的情况进行分析的。文献在原大唐提出的频偏估计算法的基础上进行了改进,本文是在文献的基础上进行的工作。仿真分析表明,本文的算法比文献更简单,且估计性能更好。为节约篇幅,这里没有给出本文的结果与采用文献的方法得到的结果的对比,详细的对比结果可参见。
2 系统模型


3 频偏估计方法
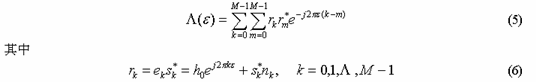
3.1 最大似然(ML)频偏估计
在单径(即L = 1)情况下,Luise 等人提出一种最大似然频偏估计方法,通过最大化下式

然而,由于式(5)的最大化复杂度很高,无法得到关于频偏估计的闭式表达式,只能通过数值计算。文献在假设载噪比(Carrier-to-Noise-Ratio, CNR)很高,频偏很小的情况下,通过一系列近似,得到以下近似解

其中, N ≤ M ?1, R(k) 为k r 的自相关函数,定义为

式(7)可以进一步简化为下式

仿真实验表明,在单径的情况下,如果取N = M / 2 ,则利用式(9)得到的频偏估计结果接近Cramer-Rao 下界(CRLB)。
在多径的情况下,最大似然频偏估计可以表示为


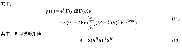
R(k) 为接收信号的加权相关值,

根据式(10)得到频偏估计为无偏估计,且估计方差达到Cramer-Rao 下界。然而,只能通过数值方法进行计算,复杂度很高。
我们利用类似于文献所使用的近似方法,可以得到式(10)在CNR 很高,频偏很小的情况下的近似解

比较式(7)和式(14)可知,两者的形式是完全一致的,只是接收信号的相关值定义不同,在多径的情况下,需要采用投影矩阵B 进行加权,单径只是多径的一种特殊情况而已。为下文表述方便起见,我们将式(14)称为近似最大似然(Approximate Maximum Likelihood, AML)解。
由于AML 只是在高CNR 情况下的近似,因此,在低SNR 的情况下,将变得不适用。而在实际的无线信道中,信道衰落现象使得在某些时刻信噪比变得很低,这时候,AML 得到的频偏估计结果将变得很差。另外,AML 需要存储投影矩阵B,对于不同的信道长度,该矩阵是不同的,针对每种信道长度分别存储一组值将消耗大量的内存。在工程实践中,有必要寻求一种更加简单,更加稳健的频偏估计方法。
3.2 稳健的频偏估计方法
3.2.1 基本原理
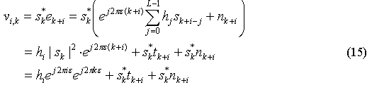
从式(1)可以看出,接收到的信号为不同延时的多径信号的组合,每条径对应不同的频偏值。首先需要利用训练序列的良好的自相关特性,分离出各条径。对于对第i 条径,利用训练序列与接收信号进行共轭相关,得到序列

其中上式最后一步利用了训练序列模为1 的特性,


(a) 累加-相关方法
累加-相关方法指的是先将序列i k v , 的前半部分和后半部分分别累加,然后对累加结果进行相关,这里的相关指的是两个值共轭相乘。

(b) 相关-累加方法


3.2.2 性能分析

(a)累加-相关方法的估计性能


(b) 相关-累加方法的估计性能
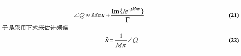
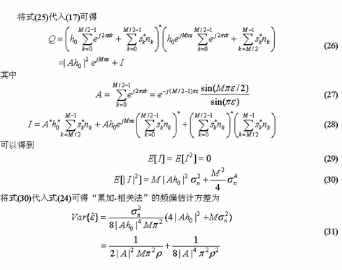
将式(25)代入(18)可得


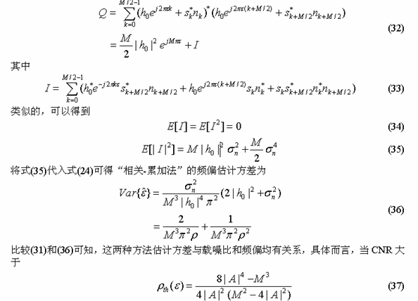
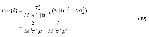
在多径的情况下,由于符号之间的干扰,使得式(28)和式(33)所表示的干扰项还包括不同延时的信号之间的相互干扰项,这使得频偏估计性能分析变得十分困难,为简便起见,我们在分析估计方差时,忽略不同延时的信号之间的干扰项,这样得到的频偏估计方差比真实值要小。对于“累加-相关”法,可以得到


4性能仿真
下面通过仿真实验来对比各种算法的估计性能。采用均方根误差(RMSE)来衡量各种估计算法的性能,其中RMSE 定义如下


图4 为多径个数L=4,且多径个数准确估计的情况下仿真得到的频偏估计RMSE。在高CNR 区域,AML 具有最佳的性能,“累加-相关”方法与之接近,而“相关-累加”方法性能最差;在低CNR 区域,AML 性能最差,而“累加-相关”方法性能最佳。

图5 为多径个数L=4,且估计的多径个数为5(多径个数过估计)的情况下仿真得到的频偏估计RMSE。这种情况下,“相关-累加”法和AML 的估计性能比多径个数准确估计时相比,性能略有下降,但“累加-相关”法性能没有下降。

图6 为多径个数L=4,且估计的多径个数为3(多径个数欠估计)的情况下仿真得到的频偏估计RMSE。这种情况下,各种算法的估计性能比多径个数准确估计时相比,性能下降较多。这是因为AML 算法只有在充分利用所有径的情况下才能体现其性能优势,当最后一条径功率较大(相应的,前面的几条径功率总和较小)时,容易出现异常值。而“累加-相关”法和“相关-累加”法则相对稳健一些。

在许多通信系统中,基站通常会发送训练序列,用于终端和系统取得同步,这里的同步包括时间同步和频率同步,而同步通常包括粗同步和精同步两个步骤。在终端初始接入系统,或者从空闲模式重新接入系统时,通常需要进行粗同步,粗同步的目标是将终端的载波频偏调整到1KHz 以内,粗同步包括频偏估计和频偏调整两个步骤,粗同步通常需要经过若干次的“估计-调整”步骤以达到目标。粗同步完成以后,终端需要进入同步跟踪或精同步阶段。本文考虑频率粗同步过程中的频偏估计算法。
关于频偏估计的文章有很多,如-,文献给出了一种针对UMTS TDD 系统的频偏估计算法,但该算法需要预先计算矩阵的逆,运算复杂度比较大。文献针对LCR-TDD系统,提出一种频率粗同步算法,该算法侧重于同步调整策略,但该算法是针对单径的情况进行分析的。文献在原大唐提出的频偏估计算法的基础上进行了改进,本文是在文献的基础上进行的工作。仿真分析表明,本文的算法比文献更简单,且估计性能更好。为节约篇幅,这里没有给出本文的结果与采用文献的方法得到的结果的对比,详细的对比结果可参见。
2 系统模型


3 频偏估计方法
3.1 最大似然(ML)频偏估计
在单径(即L = 1)情况下,Luise 等人提出一种最大似然频偏估计方法,通过最大化下式

然而,由于式(5)的最大化复杂度很高,无法得到关于频偏估计的闭式表达式,只能通过数值计算。文献在假设载噪比(Carrier-to-Noise-Ratio, CNR)很高,频偏很小的情况下,通过一系列近似,得到以下近似解

其中, N ≤ M ?1, R(k) 为k r 的自相关函数,定义为

式(7)可以进一步简化为下式

仿真实验表明,在单径的情况下,如果取N = M / 2 ,则利用式(9)得到的频偏估计结果接近Cramer-Rao 下界(CRLB)。
在多径的情况下,最大似然频偏估计可以表示为


R(k) 为接收信号的加权相关值,

根据式(10)得到频偏估计为无偏估计,且估计方差达到Cramer-Rao 下界。然而,只能通过数值方法进行计算,复杂度很高。
我们利用类似于文献所使用的近似方法,可以得到式(10)在CNR 很高,频偏很小的情况下的近似解

比较式(7)和式(14)可知,两者的形式是完全一致的,只是接收信号的相关值定义不同,在多径的情况下,需要采用投影矩阵B 进行加权,单径只是多径的一种特殊情况而已。为下文表述方便起见,我们将式(14)称为近似最大似然(Approximate Maximum Likelihood, AML)解。
由于AML 只是在高CNR 情况下的近似,因此,在低SNR 的情况下,将变得不适用。而在实际的无线信道中,信道衰落现象使得在某些时刻信噪比变得很低,这时候,AML 得到的频偏估计结果将变得很差。另外,AML 需要存储投影矩阵B,对于不同的信道长度,该矩阵是不同的,针对每种信道长度分别存储一组值将消耗大量的内存。在工程实践中,有必要寻求一种更加简单,更加稳健的频偏估计方法。
3.2 稳健的频偏估计方法
3.2.1 基本原理
从式(1)可以看出,接收到的信号为不同延时的多径信号的组合,每条径对应不同的频偏值。首先需要利用训练序列的良好的自相关特性,分离出各条径。对于对第i 条径,利用训练序列与接收信号进行共轭相关,得到序列

其中上式最后一步利用了训练序列模为1 的特性,


(a) 累加-相关方法
累加-相关方法指的是先将序列i k v , 的前半部分和后半部分分别累加,然后对累加结果进行相关,这里的相关指的是两个值共轭相乘。

(b) 相关-累加方法


3.2.2 性能分析

(a)累加-相关方法的估计性能


(b) 相关-累加方法的估计性能
将式(25)代入(18)可得


在多径的情况下,由于符号之间的干扰,使得式(28)和式(33)所表示的干扰项还包括不同延时的信号之间的相互干扰项,这使得频偏估计性能分析变得十分困难,为简便起见,我们在分析估计方差时,忽略不同延时的信号之间的干扰项,这样得到的频偏估计方差比真实值要小。对于“累加-相关”法,可以得到


4性能仿真
下面通过仿真实验来对比各种算法的估计性能。采用均方根误差(RMSE)来衡量各种估计算法的性能,其中RMSE 定义如下


图4 为多径个数L=4,且多径个数准确估计的情况下仿真得到的频偏估计RMSE。在高CNR 区域,AML 具有最佳的性能,“累加-相关”方法与之接近,而“相关-累加”方法性能最差;在低CNR 区域,AML 性能最差,而“累加-相关”方法性能最佳。

图5 为多径个数L=4,且估计的多径个数为5(多径个数过估计)的情况下仿真得到的频偏估计RMSE。这种情况下,“相关-累加”法和AML 的估计性能比多径个数准确估计时相比,性能略有下降,但“累加-相关”法性能没有下降。

图6 为多径个数L=4,且估计的多径个数为3(多径个数欠估计)的情况下仿真得到的频偏估计RMSE。这种情况下,各种算法的估计性能比多径个数准确估计时相比,性能下降较多。这是因为AML 算法只有在充分利用所有径的情况下才能体现其性能优势,当最后一条径功率较大(相应的,前面的几条径功率总和较小)时,容易出现异常值。而“累加-相关”法和“相关-累加”法则相对稳健一些。

- 一种基于OPNET的小型网络仿真及分析(04-08)
- APOX软件在A+B频段无线网络规划中的应用(06-26)
- 基于GUI的跳频OFDM系统仿真设计(03-03)
- 基于CPLD的RS-232串口通信实现(04-23)
- 2.5 Gbps收发器中1∶2解复用电路的设计(09-17)
- 填补网络 SoC 设计前端与后端验证的差距(09-19)
