软件无线电在移动通信基站接收分系统中的实现
时间:08-03
来源:互联网
点击:
1引言
所谓软件无线电技术(Soltware Radio Technology),就是采用数字信号处理技术,在可编程控制的通用硬件平台上,利用软件来定义实现无线电台的各部分功能:包括前端接收、中频处理以及信号的基带处理等。即整个无线电台从高频、中频、基带直到控制协议部分全部由软件编程来完成。其核心思想是在尽可能靠近天线的地方使用宽带的"数字/模拟"转换器,尽早地完成信号的数字化,从而使得无线电台的功能尽可能地用软件来定义和实现。总之,软件无线电是一种基于数字信号处理(DSP)芯片,以软件为核心的崭新的无线通信体系结构。
软件无线电技术是近年来随着微电子及计算机技术高速发展而产生的一种新的无线电技术,相对于传统的基于ASIC的无线电技术,他具有灵活性、通用性强和升级方便等特点。他的技术核心是随着大规模集成电路技术的不断进步和芯片处理速度的不断提高,而使得在DSP芯片或通用CPU芯片平台上,利用软件来完成以前用ASIC实现的多种数字信号处理的功能。
软件无线电采用开放式模块化结构,其硬件主要包括天线、射频和基带的模/数(A/D)、数/模(D/A)转换设备和以数字信号处理(DSP)为基础的数字信号处理单元。在软件无线电设备中所有的信号处理(包括放大、变频、滤波、调制、信道编译码、信源编译码、信道和接口的协议、信令处理、加/解密、抗干扰处理、网络监控管理等)都以数字信号的形式进行。
但是由于受宽带天线、高速A/D及DSP等技术水平的限制,实现一个理想的软件无线电平台的条件目前还不具备。因此,现在对软件无线电的研究一方面集中在上述关键技术的研究上,另一方面更多的是在现有的技术条件下,研究如何最大程度地实现软件无线电所要求的通用性和灵活性,将软件化、通用化的设计思想体现到具体的应用实践中。
2 宽带中频带通采样软件无线电结构
目前蜂窝移动通信系统的工作频段一般在800~900 MHz和1 800~1 900 MHz两个频段。现在的电子技术对如此高的频率直接进行A/D转换是很困难的,比较可行的办法就是对射频信号进行模拟下变频,把高频段信号搬移到频率相对较低的中频,然后再进行数字化,也就是宽带中频带通采样软件无线电结构,如图1所示。从图1所示结构可以看出,这种软件无线电的射频前端的预处理电路比较复杂,但是这种复杂是不可少的,他的主要功能是把射频信号转换为适合于A/D采样的宽带中频信号或把D/A输出的宽带中频信号变换为射频信号。
3 基于宽带中频带通采样软件无线电结构的基站接收分系统模型
由天线接收到的上行信号,经过了带通滤波器滤除带外信号后,再经过放大和混频,将无法对其进行A/D采样的射频信号(800~900 MHz和1 800~1 900 MHz)转换为中心频率为f0,带宽为B0(B0=20,25,60,75 MHz)的宽带中频信号,并且经过中频滤波器滤除镜像频率,再进行中频放大到A/D所需的足够的信号电平,最后送到A/D转换器进行数字采样。由此可见,图2所示的软件无线电基站前端电路的一个主要特点是宽带化,即他将基站所需接收的整个上行频段同时变换到中频,实现宽带处理。但是这样就对A/D变换器的采样速率和动态范围等性能提出了比较高的要求,如采样速率要高、动态范围要大等。下面讨论图2中几个关键参数(f0,fs,fι,B0)的选取问题。
3.1 采样频率
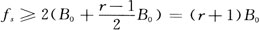
允许过渡带混叠的频谱图如图3所示,其中B0是中频带宽。根据矩形系数r的定义r一(2B'0+B0)/B0可推导出滤波器的过渡带B'0为:

若要通带内的信号没有混叠,则fs必须满足下式:

将式(1)代入式(2)可得:

即:

当中频滤波器的矩形系数r=2时,不同的中频带宽B0所需的采样频率fs也将不同。
3.2 中频频率f0
当采样频率fs确定后,根据带通信号的采样理论,就可以确定中心频率f0:

式中n=0,1,2,…为整数,f0的选取除了满足式(4)外,还有一个重要的原则就是要考虑互调产物以及本振的反向辐射。
3.3 本振频率fι
本振频率fι与中心频率f0选取有关,由下式确定:

式中fi为输入信号的频率,取"+"时采用高本振(fι>fi),取"一"时采用低本振(fι

3.4 中频带宽B0
考虑到无本振反向辐射或无三阶互调产物的要求和滤波器的矩形系数以及留一些富裕量,则有如下关系:

所谓软件无线电技术(Soltware Radio Technology),就是采用数字信号处理技术,在可编程控制的通用硬件平台上,利用软件来定义实现无线电台的各部分功能:包括前端接收、中频处理以及信号的基带处理等。即整个无线电台从高频、中频、基带直到控制协议部分全部由软件编程来完成。其核心思想是在尽可能靠近天线的地方使用宽带的"数字/模拟"转换器,尽早地完成信号的数字化,从而使得无线电台的功能尽可能地用软件来定义和实现。总之,软件无线电是一种基于数字信号处理(DSP)芯片,以软件为核心的崭新的无线通信体系结构。
软件无线电技术是近年来随着微电子及计算机技术高速发展而产生的一种新的无线电技术,相对于传统的基于ASIC的无线电技术,他具有灵活性、通用性强和升级方便等特点。他的技术核心是随着大规模集成电路技术的不断进步和芯片处理速度的不断提高,而使得在DSP芯片或通用CPU芯片平台上,利用软件来完成以前用ASIC实现的多种数字信号处理的功能。
软件无线电采用开放式模块化结构,其硬件主要包括天线、射频和基带的模/数(A/D)、数/模(D/A)转换设备和以数字信号处理(DSP)为基础的数字信号处理单元。在软件无线电设备中所有的信号处理(包括放大、变频、滤波、调制、信道编译码、信源编译码、信道和接口的协议、信令处理、加/解密、抗干扰处理、网络监控管理等)都以数字信号的形式进行。
但是由于受宽带天线、高速A/D及DSP等技术水平的限制,实现一个理想的软件无线电平台的条件目前还不具备。因此,现在对软件无线电的研究一方面集中在上述关键技术的研究上,另一方面更多的是在现有的技术条件下,研究如何最大程度地实现软件无线电所要求的通用性和灵活性,将软件化、通用化的设计思想体现到具体的应用实践中。
2 宽带中频带通采样软件无线电结构
目前蜂窝移动通信系统的工作频段一般在800~900 MHz和1 800~1 900 MHz两个频段。现在的电子技术对如此高的频率直接进行A/D转换是很困难的,比较可行的办法就是对射频信号进行模拟下变频,把高频段信号搬移到频率相对较低的中频,然后再进行数字化,也就是宽带中频带通采样软件无线电结构,如图1所示。从图1所示结构可以看出,这种软件无线电的射频前端的预处理电路比较复杂,但是这种复杂是不可少的,他的主要功能是把射频信号转换为适合于A/D采样的宽带中频信号或把D/A输出的宽带中频信号变换为射频信号。
3 基于宽带中频带通采样软件无线电结构的基站接收分系统模型
由天线接收到的上行信号,经过了带通滤波器滤除带外信号后,再经过放大和混频,将无法对其进行A/D采样的射频信号(800~900 MHz和1 800~1 900 MHz)转换为中心频率为f0,带宽为B0(B0=20,25,60,75 MHz)的宽带中频信号,并且经过中频滤波器滤除镜像频率,再进行中频放大到A/D所需的足够的信号电平,最后送到A/D转换器进行数字采样。由此可见,图2所示的软件无线电基站前端电路的一个主要特点是宽带化,即他将基站所需接收的整个上行频段同时变换到中频,实现宽带处理。但是这样就对A/D变换器的采样速率和动态范围等性能提出了比较高的要求,如采样速率要高、动态范围要大等。下面讨论图2中几个关键参数(f0,fs,fι,B0)的选取问题。
3.1 采样频率
允许过渡带混叠的频谱图如图3所示,其中B0是中频带宽。根据矩形系数r的定义r一(2B'0+B0)/B0可推导出滤波器的过渡带B'0为:

若要通带内的信号没有混叠,则fs必须满足下式:

将式(1)代入式(2)可得:

即:

当中频滤波器的矩形系数r=2时,不同的中频带宽B0所需的采样频率fs也将不同。
3.2 中频频率f0
当采样频率fs确定后,根据带通信号的采样理论,就可以确定中心频率f0:

式中n=0,1,2,…为整数,f0的选取除了满足式(4)外,还有一个重要的原则就是要考虑互调产物以及本振的反向辐射。
3.3 本振频率fι
本振频率fι与中心频率f0选取有关,由下式确定:

式中fi为输入信号的频率,取"+"时采用高本振(fι>fi),取"一"时采用低本振(fι

3.4 中频带宽B0
考虑到无本振反向辐射或无三阶互调产物的要求和滤波器的矩形系数以及留一些富裕量,则有如下关系:

无线电 DSP 电子 集成电路 射频 电路 滤波器 相关文章:
- 软件无线电的电磁兼容分析(02-26)
- 对信息技术设备的无线电骚扰管理方法的研究(02-27)
- 雷达信号及其监测研究(03-02)
- 基于认知无线电技术的IEEE 802.22(10-02)
- 4G移动通信关键技术及特征(03-09)
- 无线电频率资源的合理配置(08-16)
