正弦稳态电路详细解析:正弦稳态电路的定义,正弦稳态电路电路解析
正弦稳态电路定义
线性时不变动态电路在角频率为ω的正弦电压源或电流源激励下,随着时间的增长,当暂态响应消失,只剩下正弦稳态响应,电路中全部电压电流都是角频率为ω的正弦波时,称电路处于正弦稳态。满足这类条件的动态电路通常称为正弦电流电路或正弦稳态电路
正弦稳态电路分析
电阻电路与正弦稳态电路相量法分析比较:

可见在用相量法分析计算时,引入正弦量的相量、阻抗、导纳的概念,其元件的VCR方程和KCL、KVL的相量形式在形式上与线性电阻电路相似。
因此,用相量法分析时,线性电阻电路的各种分析方法和电路定理可推广用于线性电路的正弦稳态分析,差别仅在于所得电路方程为以相量形式表示的代数方程以及用相量形式描述的电路定理,而计算则为相量(复数)运算。显然两者描述的物理过程之间有很大差别。
一般正弦交流电路的解题步骤:
1.据原电路图画出相量模型图(电路结构不变);

2.根据电路的相量模型列出相量方程式或画相量图;
3.用相量法或相量图法求解;
4.将结果变换成要求的形式。
例1. 列写电路的回路电流方程。

解:

例2. 列写电路的节点电压方程。

解:
节点1:

节点2:

例3.列出右图电路的结点电压方程和回路电流方程。
解:结点顺序号如图所示,以结点d为参考结点。

(1)列结点电压方程。
结点a:
附加方程:
结点b:
结点c:
(2)列回路电流方程。独立回路顺序号及绕向如图所示:

回路1:
附加方程:
回路2:
回路3:
例4.


解:方法1:电源变换。





方法2:戴维宁等效变换。


(1)求开路电压。

(2)求等效电阻。

例5. 用叠加定理计算电流
。


解:

例6.已知平衡电桥Z1=R1 , Z2=R2 , Z3=R3+jωL3 。 求:Zx=Rx+jωLx。

解:由电桥平衡条件:Z1Z3= Z2Zx,得:
R1(R3+jωL3)=R2(Rx+jωLx)
∴ Rx=R1R3 /R2 Lx=L3 R1/R2
正弦稳态电路电桥平衡条件:

例7.已知:Z=10+j50Ω, Z1=400+j1000Ω 。




解:

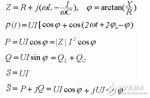
正弦稳态电路的功率
1.正弦稳态情况下瞬时功率 p( t )

对于一端口网络,选电压电流为关联参考方向,网络吸收的瞬时功率:

单位用瓦特 /W 表示。
2.正弦稳态情况下平均功率/有功功率 P
定义瞬时功率在一个周期内的平均值为平均功率或有功功率:

单位用瓦特 /W 表示,式中 λ 被称为功率因数。
3.正弦稳态情况下无功功率 Q
定义无功功率为:

单位用乏 / var 表示,它反映了电源与负载每秒钟交换的能量的大小。
4.正弦稳态情况下视在功率 / 表观功率 S
定义视在功率为:

单位用伏安 / VA 表示。S 与 P 和 Q 的关系被称为功率三角形。
5.正弦稳态情况下的复功率
把功率三角形放在复平面中,复功率的定义:

单位用伏安 / VA 表示。复功率本身没有实际的物理意义,为计算方便使用。
6.正弦稳态情况下R、L、C 的功率
① 正弦稳态情况下,电阻 R 的瞬时功率、有功功率、无功功率、视在功率为:


②正弦稳态情况下,电感 L 的瞬时功率、有功功率、无功功率、视在功率为:


③正弦稳态情况下,电容 C 的瞬时功率、有功功率、无功功率、视在功率为:
、

7.正弦稳态情况下RLC串联电路的功率
有功功率、无功功率、视在功率的关系:

① U 的有功分量 Ua 和无功分量 Ur:

② I 的有功分量 Ia 和无功分量 Ir:


8.正弦稳态情况下 RLC 并联电路的功率

模拟电路 相关文章:
- 基于极零点灵敏度的模拟电路可测性分析(09-15)
- 利用高端电流检测放大器简化模拟电路设计(09-15)
- 无须单片机!模拟电路控制的循线机器人(图文)(08-10)
- 电源小贴士:如何成功设计超宽输入小功率反激式转换器(02-20)
- 不同输入电压和负载下的负载开关电路如何模拟?(11-20)
- 【干货】硬件高手的开关电源设计心得(05-26)
