浅谈如何实现锂离子电池保护电路的低功耗设计
所以在模拟电路中起着非常重要的作用,同时也是影响电路功耗的一大因素。本文利用MOS 管的亚阈值特性,设计了工作在亚阈值区的电压基准电路, 能够满足上述功耗要求,电路结构如图3 所示。

电路利用一个自偏置电路产生具有正温度系数的电流,该电流流过电阻R0 所产生的压降和具有负温度系数的PN结压降相加, 可以输出一个零温度系数的基准电压VBD;为满足电路中输出不同的基准电压源,利用电阻分压将VBD分成了VBI1及V BI2输出。同时,为保证电路在加上电源电压后能进入正确的工作状态, 电路中还加入了RC启动电路。
由图3 可见, P0 和P1 组成电流镜,取相同的宽长比,则在P1、P0、N0、N1 和R5 构成的自偏置电路中,选择合适的R5 值,可以使N0 和N1工作在亚阈值区。并且,在时亚阈值MOS 管的漏电流Id 可表示为:
式中,
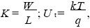
与工艺参数有关,其中n为亚阈值因子,
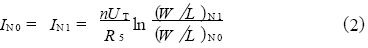
k 为波尔兹曼常数, q 为电子电荷。因为,VGSN 0- VGSN 1= IN 0•R 5,将式(1) 代入, 则有:
式(2)
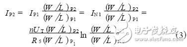
可以看出,不考虑电阻R1的温度系数,电流IN 1与热电压U T 成线性关系,具有正温度系数。P2 和P1组成电流镜,假定流过P2 的电流为IP2,则有:

设二极管正向压降为VD,分压电阻R1、R 2、R 3、R 4 对R0的影响可以用等效电阻R= (R 1 + R 2 ) ∥ (R 3 +R 4) 来表示,则在正常工作时,满足

该电流产生电路有两个平衡工作点,即零点和正常工作点,所以需要一个启动电路,使电路能在上电过程中脱离零点而稳定工作。另外,从电路功耗考虑,启动电路在电路进入正常工作后应断开,没有电流消耗。设计时从P1 的漏端加入了R6、C0,构成自偏置电路的启动电路。
与传统的 Bandgap 基准源电路相比,该电路有以下特点: 电路工作在亚阈值区,功耗极低,电路中电阻值和器件参数均取比值, 最大程度地避免了工艺漂移引起的输出变化;电路设计中还加入了RC启动电路,保证电路在上电后能及时进入正常工作状态。另外,由内部数字信号STANDB 的控制, 此电路能够在低电压下进入Standby 状态,此时消耗电流仅由控制管的漏电流决定,小到几乎可以忽略。
模拟结果

电路采用UMC 0. 6 μm数字电路SPICE 模型进行HSPICE 模拟验证。图4 给出了电路对电池电压VDD 进入和退出过充电状态时的模拟结果,从图中可看出,过充电出现后,CO端被置为低电平,反之则是与电源电压相等的高电平。
基于单片机的温度自动控制系统工作正常,温度采样和显示的误差控制在设计要求的±1℃之内。系统应用于DF101B 型集热式恒温磁力搅拌器,主控部分和从控部分通信稳定。在AD590 的电流模拟量输出后,电阻分压和放大倍数需要很好的匹配,既要保证分辨率的大小适中, 又要确保输入的电压在ADC0809 转换电压范围之内。
无线通信过程中要求清楚数据编码的波形,以便调试时知道发送数值的正确与否,以及传输中干扰和将要采取的抗干扰措施。专用显示驱动芯片MAX7219与MCS- 51之间是用串行的方式通信,时序的配合在通信中非常重要。 数字化已经是控制领域的发展趋势。温度控制系统经历了长时间发展以后,智能化程度的要求越来越高,以微处理器为核心的温度智能控制系统能够满足绝大多数领域对温度控制的要求。与微处理器其它方面的应用相比,以微处理器为核心的温度控制系统的开发在中国来说显得更为迫切,很多的控制领域还在沿用传统的控制理论,采用老的控制系统,适时性不强,处理速度慢,故障率比较高。
因此开发以单片机为核心的温度自动控制系统具有很强的现实意义,本系统是一套较完整的温度自动控制系统。考虑到系统工作环境的因素和工作现场对系统的具体要求,加强系统的抗干扰能力和工作稳定性将是系统要进一步改进的首要方面。
我们可以在传感器输出与单片机的输入之间加上光电隔离, 同时单片机和继电器控制之间也加上光电隔离, 这对系统的抗干扰能力将有很大的提高。
- 运放电源过压保护电路设计(06-28)
- 数控用开关电源保护电路的实现(11-23)
- 开关电源的过流保护电路设计(12-21)
- 锂电池过充电、过放电、短路保护电路设计(02-20)
- 开关电源保护电路实用设计方案(09-23)
- 电瓶电压缺电的保护电路设计(09-02)
