how integrate this function numerically in matlab?
时间:04-05
整理:3721RD
点击:
hi.
how integrate from the following integral over semi-elliptical path in complex ξ-plane in matlab?
while:
epsilon = 16-1j*0.1
and
k = has a range : [0.1 , 10]
how integrate from the following integral over semi-elliptical path in complex ξ-plane in matlab?

please help me...
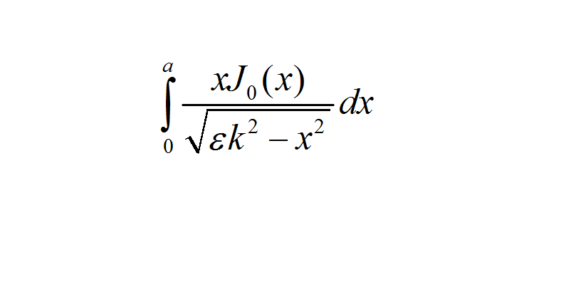
how integrate numerically from the following integral (in matlab)?

while:
epsilon = 16-1j*0.1
and
k = has a range : [0.1 , 10]
and what is the value of a?
a value is depend on k.in here:
a = 5k
function integrate matlab 相关文章:
- Functionl Generator 600 MHz
- How to get this transfer function?
- Why we use most of the time cos function for representing signal ?
- The function of the resistor connected to the gate of PM20
- Optimaizing function versus freq
- compute the transfor function between Tx an Rx,the bandwith is confined with 1-10Mhz
