New formulas to calculate the width and length of the patch antenna
时间:03-29
整理:3721RD
点击:
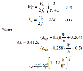
Hello, the picture bellow contains the old formulas to calculate the width and length of the patch, but for me i look for new formulas to calculate the width and length of the patch antenna suspended over the substrate, can you help me please by providing me the new mathematical formulas, thank you in advance.
width calculate formulas 相关文章:
- Parameter S11 and bandwidth
- How antenna bandwidth designed in cst used in MATLAB OFDM code?
- How to choose optimal wire width of spiral coil to attain high q factor?
- Enhancement bandwidth of Microstrip Patch Antenna
- what should be length & width of microstrip line in filter Design
- How to correctly calculate coil's field strength?
