信号抖动的定义,种类及测量
还有一个跟抖动很类似的概念,即漂移。一般情况下,抖动是指发生得比较快的定时偏差,而漂移是指发生的比较慢得定时偏差。ITU把漂移和抖动之间的门限定义为10Hz,偏移频率大于10Hz的叫抖动,小于10Hz的叫做漂移。
抖动可以分为随机性抖动(RJ)和确定性抖动(DJ),而确定性抖动又可以分为周期性抖动(PJ)、数据相关抖动(DDJ)和占空比抖动(DCD)三种,如下图所示:

缩略语:
TJ:Total Jitter 总抖动
DJ:Deterministic Jitter 确定性抖动
RJ:Random Jitter 随机抖动
PJ:Periodic Jitter 周期性抖动
DDJ:Data Dependent Jitter 数据相关抖动
DCD:Duty Cycle Distortion 工作周期抖动
TIE:Time Interval Error 时间区间误差
RMS:Root Mean Square 均方根
ISI:Inter Symbol Interference 码间干扰
1.随机抖动(RJ)
随机抖动产生的原因很复杂,很难消除。器件的内部热噪声,晶体的随机振动,宇宙射线等都可能引起随机抖动。
随机抖动满足高斯分布,在理论上是无边界的,只要测试的时间足够长,随机抖动也是无限大的。高斯分布概率密度函数图形如下图所示。

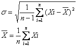
所以随机抖动的锋-锋值必须伴同误码率BER表示出来,RJRMS=概率密度函数(pdf)的标准偏差:σ,随机抖动的锋-锋值RJpk-pk=N*σ,按不同的BER,N不同,如下图所示:

2.确定性抖动(DJ)
确定性抖动不是高斯分布,通常是有边际的,它是可重复可预测的。信号的反射、串扰、开关噪声、电源干扰、EMI等都会产生DJ。DJ的概率密度函数图形如下图所示:

1).周期性抖动(PJ)
以周期方式重复的抖动称为周期性抖动,由于可以将周期波形分解为与谐波相关的正弦曲线的傅立叶级数,因此,这类抖动有时也称为正弦抖动。周期抖动与数据流中任何定期重复的码型无关,周期抖动一般是由耦合到系统中的外部确定的噪声源引起的。可能的抖动源有:电源的EMI干扰与扩频时钟SSC的调制信号。
2).数据相关抖动(DDJ)
DDJ一般是由于电缆或设备的带宽限制及阻抗不匹配造成的。DDJ分为DCD和ISI两种。
DCD值是相对于额定值50%的占空比偏差,一般分两种情况:
①信号的上升沿和下降沿的斜率不同;
②信号DC平均值发生变化而导致波形的判决门限高/低于应有值;

ISI又称为DDJ数据相关抖动或PDJ码型相关抖动。
因为阻抗不匹配导致信号发射。被发射的信号叠加在原信号上导致信号幅度增加而最终使转换电平所耗费的时间更多,从而产生抖动。对经常切换的“1,0,1,0…”高频信号,其衰减比连续的“1,1,1,1,0,0,0,0…”低频信号大。所以长的连续不变码会到达更高的电平,在跳变时需要更多的时间才能到达门限电平,导致信号抖动。因为这个抖动的幅度与码型相关,所以又称码型相关抖动。

总抖动锋-锋值:TJpk-pk=(N*RJRMS)+DJpk-pk
信号抖动值的测量主要分为时钟、并行总线和高速串行数据三大类。时钟抖动的测量指标有:Period Jitter (周期抖动),Cycle to Cycle Jitter (周期间抖动),N-Cycle Jitter (N个周期后抖动),TIE (时间间隔误差)四种;并行总线以及其它所有的源同步数据总线中的数据与时钟相关抖动的测量指标有:Setup/Hold time jitter(建立/保持时间抖动),Clk-out time jitter,Crossover Voltage Jitter(差分交点电压抖动)三种;高速串行数据的抖动测量主要PLL TIE。
1).Period Jitter
周期性抖动测量主要是针对时钟信号,它测量实时时钟的每一个周期,然后对实际时钟周期进行数据统计,最后根据概率统计,给出该时钟周期大小的分布规律,此测量将显示信号的整体质量。测量Period Jitter必须指定一定的采样周期数,不同的周期数,抖动的PK-PK值是不同的,JEDEC要求的采样数最少为10000个。测量统计过程如下图所示:

2).Cycle to Cycle Jitter
Cycle to Cycle Jitter 是测量任意两个相邻周期间信号的周期变化量,通周期性抖动一样,测量周期间抖动也必须指定一定的周期数才能确定抖动的锋-锋值,JEDEC中要求最少采样1000个周期。测量统计过程如下图所示:

3). N-Cycle Jitter
N个周期后抖动是测量由参考点滞后相当数量(N)个时钟周期后沿的抖动,该参数描述的是抖动的积累效应。测量该指标时需要一个边沿的统计常数为参考,否则测出来的抖动可能会大于一个UI。测量统计过程如下图所示:

4).TIE
TIE是通过使用参考时钟或时钟恢复提供理想边沿,据此来测量时钟或者数据的每个有效边沿与理想位置的差距。TIE在通信系统中尤为重要,因为它显示了一段时间内抖动的趋势。下图Period Jitter、Cycle to Cycle Jitter及TIE之间的关系:

三种抖动统计类型的趋势图如下所示:

5).Setup/Hold Time Jitter
Setup/Hold Time Jitter主要测量信号相对了时钟采样边沿的建立/保持时间波动情况,如下图所示:

6).Crossover Voltage Jitter
Crossover Voltage Jitter主要测量差分信号P端的上升沿与N端的交叉点波动情况,如下图所示:

7).Clk-out Time Jitter
这个抖动指标跟Setup/Hold Time Jitter类似,只不过Setup/Hold Time Jitter是相对于接收端而言的,而Clk-out Time Jitter是相对与发送端而言的。
8).PLL TIE
该参数用于高速串行数据的抖动测试中,PLL TIE使用了Gloden PLL来进行时钟恢复,将串行数据速率除以1667作为PLL的环路带宽。
在实际测量中,我们经常会遇到RMS Jitter指标,实际上,RMS就是Root Mean Square(均方根),它等于概率分布密度函数的(pdf)的标准方差σ。

对于同时抖动的RMS值一般为pk-pk值的1/7。
转自: 信号抖动的种类与测量
信号抖动, 信号抖动种类, 信号测量

信号完整性分析基础系列之五——抖动的分类
胡为东 美国力科公司上海代表处
2009年6月
【摘要】
本文简要介绍了信号抖动在不同情况下的分类,如时钟信号的抖动分类,数据信号的抖动分类以及这两类抖动之间的联系,指出了实际抖动测试过程中的注意事项,对抖动分析测试有一定的参考意义。
【关键词】
峰峰值抖动 相位抖动 周期抖动固有抖动随机抖动
一、峰峰值抖动、均方根抖动
过去多年来用于量化抖动的最常用的方法是峰峰值抖动(Peak-to-peak Jitter)和均方根抖动(Root-Mean-Square Jitter,抖动直方图或者抖动分布的1 或者RMS值)。但是由于随机抖动以及非固定抖动的存在,使得抖动的峰峰值随着观察样本数量的增加而增加,因此说峰峰值抖动参数用于衡量固有抖动会很有效,但是衡量随机性抖动却会出现很大误差;相同的道理,由于固有抖动及非高斯性抖动和噪声的存在,使得抖动的直方图或者分布图不呈现完全的高斯分布,因此统计得到的抖动的1σ或者RMS值不等于真实高斯分布的1 值。
峰峰值抖动和均方根抖动均是对某一类抖动的统计分析指标。
二、相位抖动、周期抖动、相邻周期间抖动
由于时钟系统是数字电路系统非常关键的一部分,直接决定了数据信号发送和接收的成败,是整个系统的主动脉,因此时钟的抖动一直备受关注。描述时钟系统的抖动参量一般分为三类,即相位抖动(Phase jitter)、周期抖动(Period jitter)、相邻周期间抖动(Cycle to cycle jitter).
1、相位抖动
在数字系统中,两个逻辑电平之间的切换通常伴随着快沿的出现,这些边沿在时序上的不稳定性就叫做相位抖动(phase jitter,有时也叫累积抖动,accumulated jitter,指实际边沿位置与理想边沿位置的偏差,以时间为单位,也可以换算成弧度,角度等);相位抖动是相位噪声在数字域的等效体现,它是离散量,因此只有当边沿存在时候才有定义。
理想边沿位置一般定义在数字信号一个比特位时间间隔的整数倍位置处。如下图1所示为某一



不会直接使用时钟的边沿来保证时序关系,而是看周期的稳定性,也就是周期的抖动,有时候时钟周期越长,可能带来保持时间余量不足的问题,这个时候就需要测量周期抖动;而相邻周期间抖动常常可以用来衡量时钟分频器的稳定性。总之,这三种抖动都是衡量时钟本身性能的指标,在不同的应用背景下需要关注不同的指标,通常时钟芯片的手册会给出对时钟的抖动指标要求。
三、串行数据系统中抖动的分类
在上一篇文章中,我们提到了串行数据系统中接收端芯片的工作原理以及TIE(Time Interval Error)抖动的概念,即数据与时钟之间的相对抖动,而不是单纯指数据本身或者时钟本身的抖动。那么如果我们假定时钟边沿位置(对于高速数据链路系统,或者叫异步系统来说,该时钟一般是恢复时钟)为数据的理想边沿,那么数据的TIE抖动事实上就是前文中分析时钟抖动时的相位抖动,唯一不同的是时钟信号的相位抖动在每一个时钟周期都会有一个数值;而数据信号常常有很多个连零电平或者连1电平,无边沿存在,因此也就没有对应的相位抖动数值。所以为了分清这两类抖动的概念,我们姑且在本文中暂定义时钟信号的相位抖动叫相位抖动;数据信号的相位抖动就叫做TIE抖动(时间间隔误差);
TIE抖动是分析串行数据抖动的最基本单位,数据信号的每一个边沿位置都会有一个TIE抖动值。一段很长的串行数据一定会包含数个上升沿或者下降沿,如下图所示:

如果将所有边沿处的TIE抖动做一个直方图统计,我们可能会发现这些TIE值是具有一定的统计规律的,如下图所示分别为呈现高斯分布的TIE抖动以及呈现双峰分布的TIE抖动:

呈现高斯分布的抖动通常是由于热噪声等引起的,称为随机抖动(Random Jitter);呈现双峰且将高斯曲线分成两部分的双峰之间的抖动值称为固有抖动(Deterministic Jitter);通常来说抖动成分主要是由随机抖动Rj和固有抖动Dj构成的,在之前的第二节我们有介绍到由于Rj的峰峰值是
****的,随着累积样本数的增加而增加,因此通常是用统计标准偏差值(几个sigma范围内的抖动值)来衡量的;而Dj则是用峰峰值来衡量的。当前大部分串行数据标准要求测量误码率为10e-12时的总体抖动(Tj)大小,而通常直方图+/-7 sigma以内的数据样本数才能达到10e+12。Tj就是衡量Dj与Rj的整体影响的抖动术语。误码率为10e-12时的总体抖动Tj=14Rj+Dj (Rj是指1sigma时的抖动或者叫RMS抖动;Dj是固有抖动的峰峰值)

如果我们不用统计的方式来分析TIE抖动,而是在一个很长的时间轴上来看所有的TIE抖动值的变化趋势,即用如Lecroy示波器中的参数track的功能,我们也同样能够看出TIE抖动值的变化趋势:

当TIE的样本积累很多时,我们也能够观察到TIE参数变化的趋势,如下图所示,

上图蓝色波形即为TIE抖动参数的变化趋势,呈现了周期性的变化,如果对其做FFT变换,会发现有周期性的频谱成分,这类抖动就称为周期性抖动(Pj),如下图所示

周期性抖动Pj为固有抖动Dj的一部分,除此以外,还有和数据码型相关的抖动DDj(数据相关性抖动);占空比失真引起的DCD抖动;因数据码型中0电平和1电平切换频率不同导致的码间干扰抖动ISI(因为不同频率的信号经过信道时衰减延迟是不一样的);由于高次谐波以及串扰引起的抖动,一般称为OBUJ(其它的固有不相干抖动),这类抖动属于固有抖动成分,但是数值很小,很容易和随机抖动Rj混到一起,不易区分,Lecroy的NQ-SCALE方法能够较好的区分出这类抖动。
综上所述,串行数据的总体抖动Tj的构成如下树状图:



四、时钟抖动与数据抖动的联系
主要有如下几点:
1、数据抖动是以TIE抖动作为基本单位展开分析的,根据抖动的构成成分,将一定误码率情况下(特定的样本数量)的总体抖动Tj分解为Dj,Rj,DDj,Pj等;因为数据信号不具备如时钟信号一样的周期重复性,因此数据信号没有周期抖动、相邻周期间抖动的指标。
2、高速串行数据标准一般要求在特定误码率情况下(如10e-12)的总体抖动Tj,固有抖动Dj,随机抖动Rj等指标不能过大;而时钟信号一般是芯片手册给出要求,因此分析时钟抖动时需要多大的数据量则需要引起注意,不一样的样本数据量,测得的抖动结果也会偏差很大。如果时钟手册给出的指标非常苛刻,则有可能是在1sigma范围内的数据量进行测量分析的(数据量小,所以抖动也会小很多),参照图4。
3、时钟的相位抖动、周期抖动、相邻周期间抖动也同样可以作为基本单位进行统计分析,同样也可以设定特定样本数据时的Tj,Dj,Rj以及相关的分解(数据相关性抖动ISI等不适用于时钟抖动,因为时钟抖动0电平和1电平的切换率是恒定的),以便分析抖动的来源,但是如果用数据抖动的分析软件来分析时钟抖动的话一般只能分析相位抖动,周期抖动和相邻周期间抖动只能通过直方图以及参数跟踪的方法来分析。
4、时钟芯片手册或者其它芯片手册中给出的时钟抖动指标通常是某一类抖动的峰峰值或者RMS值,也有要求总体抖动Tj,Dj,Rj指标的,给出这样的指标时我们一定得搞清楚这个指标是对应于多大的样本数据量。
好文章,就是需要时间消化,重要是动手用仪表测。
另外,什么是golden PLL?
许多测试规范要求使用黄金锁相环( Golden PLL ) 。控制BERTScope CR的可变环路带宽可以控制传输到输出时钟的抖动。当环路带宽设置比较小,更多的高频抖动从时钟中滤除。当希望输出时钟抖动最小,那么可以将环路带宽设置为最窄。当环路带宽设置较大,抖动将传递到输出的时钟上,模拟在Rx芯片中CDR 的工作状况。每一个标准都提供了一个最佳的环路带宽设定值,通常称之为黄金锁相环(Golden PLL)。
所谓的黄金锁相环其实就是一个最佳的环路带宽设定,也是仪器厂家的卖点,当仪器带有这种可调节的环路带宽选件时,是不是更有吸引力呢?为什么叫黄金锁相环呢,主要是根据黄金分割点的定律有关系吧,可以锁定在一个最佳的窄带上。
这篇文章看后有几个问题:
这篇文章看后有几个问题:
1)确定下抖动DJ分为3个,分别是PJ,DDJ,DCD,但后面又说DDJ分为DCD和ISI两种。这不是矛盾吗?
2)芯片手册对时钟输入的要求通常是rms jitter(1k-1MHz),这个抖动是DJ的哪个部分的抖动?
什么问题
1)确定下抖动DJ分为3个,分别是PJ,DDJ,DCD,但后面又说DDJ分为DCD和ISI两种。这不是矛盾吗?
2)芯片手册对时钟输入的要求通常是rms jitter(1k-1MHz),这个抖动是DJ的哪个部分的抖动?
等等,我请高手帮你回答
