请教《模电》同相端电压正负问题
时间:10-02
整理:3721RD
点击:
第一题配图

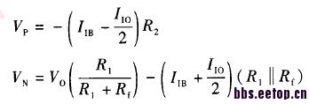
VP的电压为

————————
第二题配图

VP的电压为

——————
为什么两题的模型基本一样,但两者的VP正负却相反?请前辈指导!

VP的电压为

————————
第二题配图

VP的电压为

——————
为什么两题的模型基本一样,但两者的VP正负却相反?请前辈指导!




第一题因为输入电平最高点就是地,从地流出的电流,所以vp要低于地电平,第二题是反相输入放大器,用虚短,vp=vn,所以是正电平,这个正负都是相对于地电平说的。
明白了,十分感谢!
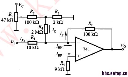
后来想了一下好像还是不对,这道题后面有计电流的,如图所示,如果VP=VN=0.63mV,是正值,对于点N的电流,IR1流出、IF流出、IBN流出,IC流入,IC=IR1+IF+IBN,与题目的计算结果矛盾。
IBN怎么就流出了呢,我看了下你的题目解答,解答的意思是说BN点的电流,它用的是节点分析,IC里边的电流从p到n,也是流入,故得出节点BN的电流IBN=IR1+IRF+IC,没有错啊。你的分析说IBN流出是不对的,因为IBN已经包含了IR1和IRF,这样说,你理解了吗这两个题不太一样的,第一题估计只是简单分析一下电平高低,第二题是牵扯到计算问题,所以有输入电压v1,并在同相端加了平衡电阻,保证可以“虚地”,vp=vn。
还是不明白为什么节点BN的电流IBN=IR1+IRF+IC。N点的电流是从外部流入运放,即IBN指向运放,IR1、IRF都是从N点往外流,IC是从VC往点N流,我搞错了哪个电流方向和电位?能从微观动态的角度讲一下负反馈的工作动态过程吗
