我想知道这个极点的时间常数是不是错了?
时间:10-02
整理:3721RD
点击:


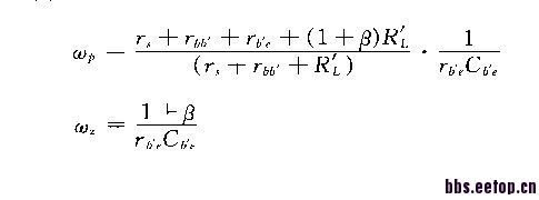
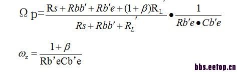
这是复旦大学出的模电书上的,怎么都觉得RL'前面应该乘以(1+β),
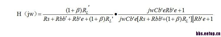
这是我求出的传递函数,求大神们检验一下对不对,
,
这个复旦模电书上没错,陈光梦那本吧? 我算了两遍都是一个结果。你说的应该乘的那个只是影响到的放大倍数吧,不影响他的极点时间常数。貌似你求出的极点 不和他求出的一样么?
最下面的那个图不是我算的,我粘错图了,还是书上的,麻烦鉴定一下前面我求的传递函数对吗,按照我求的传递函数,极点的时间常数不应该是
吧跨接在两端的阻抗等效的左边的阻抗岂不是无穷大,也就是电容趋于0,如此一来我就更迷惑了! 关键疑问的是,如果书中的结果是对的话,他的时间常数化成R*C的形式时,R是多少?PS:这位大哥眼光如此犀利,想必是学长吧! 大二的时候净顾着玩了,没好好学,现在徒伤悲啊,问得啰嗦了,谢了!
恩,我给你说的有点多,你没理解密勒效应怎么回事,只是记住了个公式.....你加我QQ吧 有时间给你说说 465422256
刚算了下,传递函数求错了。
