模电求助!
时间:10-02
整理:3721RD
点击:

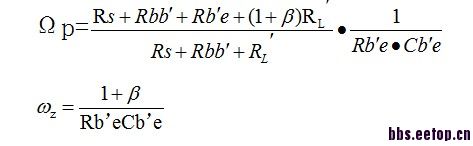
上图中数值都是瞎标的,重点是符号,原图见陈光梦模拟电子学P144
书上求得的

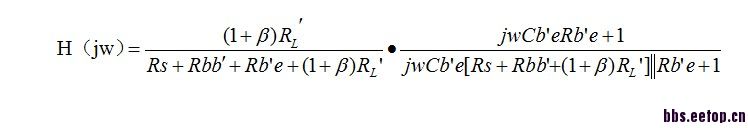
而我求得的传递函数

是我求错了吗,如果是的话怎么解释零点和极点处时间常数的含义?
拜托诸位了!已经发过一个了,但那个不显示图片,不知道为啥?
求助啊?小弟自学不容易啊,各位大神帮忙看看
这的极点应该是由于电容的米勒效应等效到输入端而得到的一个极点,但是如果只用密勒等效求的话,会忽略掉一些东西,比如负载对输入的影响。可以假设负载为0,这个时候电容一端接地,所以得到的就是比较容易看懂的一个极点时间常数了,也就相当于把压控源和负载组成电路引起电容右端电压变化的密勒效应消除掉了。至于零点,正是由于电容跨接在了输入和输出之间,有一种信号穿通效应,引入了一个零点....这个书上没有错,注意分清零点,极点,和中频放大倍数。 PS 你是考复旦微电子的研究生吧?
对了,等效完如果忽略掉RL的话,RL又怎么能出现在所求的频率中呢?
我说的那些只是有助于理解,本身米勒效应就是为了分开输入回路和输出回路的一种理论,但不是完美的理论,看一下拉扎维的关于密勒效应的解释吧。 这儿之所以出现了RL就是因为没有用米勒效应隔断输入回路和输出回路之间的影响,而是直接用节点电压电流解出的一个传递函数。 密勒等效电路只是对电路的近似估算,不是精确地转换。
