利用IBIS模型研究信号完整性问题
时间:10-02
整理:3721RD
点击:
本文是关于在印刷电路板 (PCB) 开发阶段使用数字输入/输出缓冲信息规范 (IBIS) 模拟模型的文章。本文将介绍如何使用一个 IBIS 模型来提取一些重要的变量,用于信号完整性计算和确定 PCB 设计解决方案。请注意,该提取值是 IBIS 模型不可或缺的组成部分。
当观察传输线两端的数字信号时,设计人员会吃惊于将信号驱动至某条 PCB 线迹时出现的结果。通过相对较长的距离,相比瞬时变化信号,电信号更像行波。描述电路板上电波行为的较好模拟是池中波 (wave in a pool)。纹波穿过池顺利传播,因为体积相同的两组水具有相同的“阻抗”。然而,池壁的阻抗差异明显,并以相反方向反射波。注入 PCB 线迹的电信号也出现相同的现象,其在阻抗错配时以类似方式反射。图 1 显示了错配端接阻抗的一个 PCB 装置。微控制器即 TI MSP430? 向 TI ADS8326 ADC 发送一个时钟信号,其将转换数据发送回 MSP430。图 2 显示了该装置中阻抗错配所形成的反射。这些反射在传输线迹上引起信号完整性问题。让一端或者两端的 PCB 线迹电阻抗相匹配可极大地减少反射。
传输线迹为各种电路服务,从单端和差分端器件到开漏输出器件。本文主要介绍单端传输线迹,其驱动器有一个推拉输出电路设计。图 3 显示了用于设计该举例传输线迹的各组成部分。
发送器输出电阻 ZT (Ω)
发送器上升时间tRise和下降时间tFall(秒)
接收机输入电阻ZR (Ω)
接收机引脚电容值CR_Pin (F)
这些规范一般没有在 IC 制造厂商的产品说明书中。正如这篇文章将要讲到的那样,所有这些值均可以在设计 PCB 和使用模型模拟 PCB 传输线迹的过程中,通过 IC 的 IBIS 模型获得。
利用下列参数定义传输线迹:
特性阻抗Z0 (Ω)
传播延迟 D(ps/英寸)
线迹传播延迟tD (ps)
线迹长度 LENGTH(英寸)
根据具体的 PCB 设计,该变量清单可能会更长。例如,PCB 设计可以有一个带多个传输/接收机点的底板。3所有传输线迹值均取决于特定的 PCB。一般而言,FR-4 板的 Z0 范围为 50 到 75Ω,而 D 的范围为 140 到 180 ps/英寸。Z0 和 D 的实际值取决于实际传输线迹的材料和物理尺寸。4特定板的线迹传播延迟可以计算为:
tD=D × LENGTH。(1)
就 FR-4 板而言,线状线的合理传播延迟(请参见图 4)为 178 ps/英寸,并且特性阻抗为 50Ω。通过测量线迹的导线电感和电容,并将这些值插入到下列方程式中,我们可以在板上验证这一结果:
(2)
或者
(3)
及
(4)
CTR 为法拉/英寸为单位的线迹导线电容;LTR 为享/英寸为单位的线迹导线电感;85 ps/英寸为空气介电常数;而 er 为材料介电常数。例如,如果微波传输带-板导线电容为 2.6 pF/英寸,则导线电感为 6.4 nH/英寸,而 D="129" ps/英寸,Z0=49.4Ω。
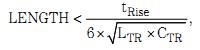
传输线一经定义,下一个步骤便是确定电路布局代表集总式系统还是分布式系统。一般而言,集总式系统体积较小,而分布式电路则要求更多的板空间。小型电路具备有效的长度 (LENGTH),其在信号方面比最快速电气特性要小。要成为合格的集总式系统,PCB 上的电路必须要满足如下要求:
(5)
其中,tRise 为以秒为单位的上升时间。
在 PCB 上实施一个集总式电路以后,端接策略便不是问题了。根本上而言,我们假设传送至传输导线中的驱动器信号瞬间到达接收机。

图 1 错配端接阻抗 PCB 装置
信号完整性问题当观察传输线两端的数字信号时,设计人员会吃惊于将信号驱动至某条 PCB 线迹时出现的结果。通过相对较长的距离,相比瞬时变化信号,电信号更像行波。描述电路板上电波行为的较好模拟是池中波 (wave in a pool)。纹波穿过池顺利传播,因为体积相同的两组水具有相同的“阻抗”。然而,池壁的阻抗差异明显,并以相反方向反射波。注入 PCB 线迹的电信号也出现相同的现象,其在阻抗错配时以类似方式反射。图 1 显示了错配端接阻抗的一个 PCB 装置。微控制器即 TI MSP430? 向 TI ADS8326 ADC 发送一个时钟信号,其将转换数据发送回 MSP430。图 2 显示了该装置中阻抗错配所形成的反射。这些反射在传输线迹上引起信号完整性问题。让一端或者两端的 PCB 线迹电阻抗相匹配可极大地减少反射。

图 2 图 1 中错配端接阻抗促发反射
要解决系统电阻抗匹配问题,设计人员需要理解集成电路 (IC) 的阻抗特性,以及起到传输线迹作用的 PCB 线迹的阻抗特性。知道这些特性,让设计人员能够将各连接单元建模为分布式传输线迹。传输线迹为各种电路服务,从单端和差分端器件到开漏输出器件。本文主要介绍单端传输线迹,其驱动器有一个推拉输出电路设计。图 3 显示了用于设计该举例传输线迹的各组成部分。

图 3 实例单端传输线电路
另外,还需要如下 IC 引脚规范:发送器输出电阻 ZT (Ω)
发送器上升时间tRise和下降时间tFall(秒)
接收机输入电阻ZR (Ω)
接收机引脚电容值CR_Pin (F)
这些规范一般没有在 IC 制造厂商的产品说明书中。正如这篇文章将要讲到的那样,所有这些值均可以在设计 PCB 和使用模型模拟 PCB 传输线迹的过程中,通过 IC 的 IBIS 模型获得。
利用下列参数定义传输线迹:
特性阻抗Z0 (Ω)
传播延迟 D(ps/英寸)
线迹传播延迟tD (ps)
线迹长度 LENGTH(英寸)
根据具体的 PCB 设计,该变量清单可能会更长。例如,PCB 设计可以有一个带多个传输/接收机点的底板。3所有传输线迹值均取决于特定的 PCB。一般而言,FR-4 板的 Z0 范围为 50 到 75Ω,而 D 的范围为 140 到 180 ps/英寸。Z0 和 D 的实际值取决于实际传输线迹的材料和物理尺寸。4特定板的线迹传播延迟可以计算为:
tD=D × LENGTH。(1)
就 FR-4 板而言,线状线的合理传播延迟(请参见图 4)为 178 ps/英寸,并且特性阻抗为 50Ω。通过测量线迹的导线电感和电容,并将这些值插入到下列方程式中,我们可以在板上验证这一结果:
(2)或者
(3)及
(4)CTR 为法拉/英寸为单位的线迹导线电容;LTR 为享/英寸为单位的线迹导线电感;85 ps/英寸为空气介电常数;而 er 为材料介电常数。例如,如果微波传输带-板导线电容为 2.6 pF/英寸,则导线电感为 6.4 nH/英寸,而 D="129" ps/英寸,Z0=49.4Ω。

图 4 微带板与带状线板横截面
集总式电路与分布式电路对比传输线一经定义,下一个步骤便是确定电路布局代表集总式系统还是分布式系统。一般而言,集总式系统体积较小,而分布式电路则要求更多的板空间。小型电路具备有效的长度 (LENGTH),其在信号方面比最快速电气特性要小。要成为合格的集总式系统,PCB 上的电路必须要满足如下要求:
(5)其中,tRise 为以秒为单位的上升时间。
在 PCB 上实施一个集总式电路以后,端接策略便不是问题了。根本上而言,我们假设传送至传输导线中的驱动器信号瞬间到达接收机。
很感谢小编分享
