使用矢量网络分析仪对放大器性能进行分析
校准。R&S公司的NRP系列功率计可以通过USB接口直接和ZVB连接,从而省掉功率计主机和昂贵的GPIB卡。ZVB功率校准过程分成两个过程:矢量网络的内部源幅度校准和接收机幅度校准。在第一个过程中将功率探头直接和矢量网络的源端口连接,对应选择 [CAL]键下的菜单[Start Power Cal]-> [Souce Power Cal]。 第二步将已校准的源端口和接收端口连接进行接收机的校准,对应选择 [CAL]键下的菜单[Start Power Cal]-> [Receiver Power Cal]。
谐波测量
随着激励功率的增加,放大器将进入非线性工作区,不仅会出现输出功率压缩现象,还会出现非线性频率分量。这些新的频率输出分量多为输入频率的整数倍,称为谐波分量。设计人员往往比较关心的是输入基波分量与谐波分量的幅度差值,因为幅度差越大,意味着在同样的直流输入功率情况下,更多的功率转换为所需的基 波功率,而非谐波功率,也可视为提高了放大器的效率。
传统的放大器的谐波测量是通过信号源加频谱仪的方式实现,即用信号源作为激励信号源,频谱仪观测基波和谐波的信号幅度。放大器的谐波测试往往需要测量不同输入基波功率对应的谐波输出功率,或者测试不同的频率点上同一输入基波功率对应的谐波输出功率。传统的方法须手动记录或者编写自动测试程序进行测试。
相对于这些繁琐的方法,ZVB提供了更为灵活的解决方法。ZVB打破了传统矢量网络信号源和接收机必须工作在同一频率上的限制,可以使矢量网络信号源和接收机工作在不同的频率点上。具体对于谐波测量而言,可以让矢量网络源输出基波信号,而接收机工作在谐波频率上,并可方便实现对基波输入频率或输入功率的扫描测试(图2)。对应ZVB的设置:可先通过[Chan Select]+[Add channel +trace+Diag Area]的方法来添加一个新的观测窗口和新的测试通道。然后在[Mode]键下选择[Harmonics]进入谐波测试模式,而后通过选择 2nd、3rd或者输入其它谐波次数来测量对应的谐波。

对于测试绝对谐波功率对输入基波功率的变化,同样推荐在测试前应该进行功率校准。ZVB也提供谐波功率校准的方法。通过[Harmonic Power Cal] 进入功率校准对话框,其基本操作过程与测试放大器功率压缩特性时相同,只不过在进行源功率校准时的频率为整个测试频率,而在接收机校准时的频率为谐波频率而已。
幅度相位转化测量
放大器的非线性特性除了功率压缩和产生谐波频率两个方面外,还有相位非线性特征,即随着输入功率的改变,放大器插入相移的变化。工程上通常采用AM/PM转化来描述,其具体的定义为: 输入功率每变化1dB,插入相移的改变量,单位为Degrees/dB(图3)。
同功率压缩特性的测量一样,应设置ZVB扫描类型 [Sweep Type] 为功率扫描 [Power]。测试轨迹为S21,但显示格式[Format]应设置为相位方式[Phase]。在测试过程中,可使用ZVB 提供Delta Marker与Reference功能方便地读值。
稳定性因子测量
理想状况下放大器的输入、输出端接阻抗应该为50Ω,但是在实际的电路环境下往往并非如此。而有些放大器在某些端接阻抗可能出现自激振荡,从而产生许多无用杂散输出信号。放大器的稳定性是指放大器对产生自激振荡的抑制能力。工程上一般把放大器的稳定性状况分为两种情况:绝对稳定和条件稳定。绝对稳定是指在任何端接阻抗条件下都不出现振荡,而条件稳定是指如果端接阻抗选择的合适将不出现振荡现象,但在某些端接阻抗上将出现自激振荡。

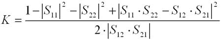
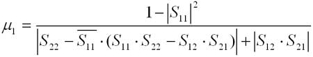
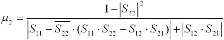
稳定性因子有多种定义的方法,ZVB支持三种稳定因子测量。稳定性因子的测量基于S参数的测量,其S参数的关系如下:



对于绝对稳定放大器必须满足:K>1和两个附加条件: 1-|S11|2>|S12.S21|与1-|S22|2>|S12.S21|。而采用m1和m2来描述就不需要附加条件,满足m1>1或m2>1即可断定放大器为绝对稳定。
通过简单的设置,ZVB就可进行放大器稳定性测试(图4),对应选择[Format]键下的[Stability]菜单,在弹出的对话框里选择输入、输出端口和测试稳定性因子的类型即可。
结束语
综合所述,R&S ZVB 提供的众多测试功能使其不仅适合放大器S参数测量也适合放大器幅度、相位非线性特性测量和稳定度的测量,满足放大器从设计到生产诸多测试需求。
矢量网络分析 相关文章:
- 矢量网络分析仪的应用(03-29)
- 基于矢量网络分析仪与传统采样示波器TDR 之间的测量性能和优势比较(09-13)
- 基于PNA矢量网络分析仪的脉冲信号的S参数测量解决方案(07-09)
- 利用更先进矢量网络分析仪应对射频测量挑战(12-06)
- 矢量网络分析仪Wiltron360B在射频仿真中的应用(12-12)
- 矢量网络分析仪提供解决方案(12-08)
