基于单片机的气体流量计检测仪
时要求,它拥有一个可编程计数器阵列(PCA),将PCA设置为对输入脉冲计数,大部分情况下只需控制其启动和停止,然后读出计数值。T0用于被检流量计脉冲信号计数;T1为串口通讯波特率发生器;T2用于标准时间计时和1s定时。
(2)通讯
C8051F350单片机与计算机通讯采用RS-232C串口,设定波特率115200bps。实际通讯时,计算机发出的有效指令编为一组代码,单片机在执行命令后,返回的数据中包含与此次操作对应的另一组代码。这样,上位机与单片机程序可同时编写,写好后可以像拼图一样组合使用;而且数据格式被约定了,在上位机修改数据格式的代码就可改变命令。
(3)检定方式
由检定人员将相关检定参数设定在计算机上,通过串口发送给单片机,检定流程如图6所示。首先将钟罩提升至指定位置,在设定检定方式和参数后开始检定。已实现的检定方式有:①钟罩定容方式:主要检定脉冲量输出流量计,标定流量计仪表系数;②流量计定容方式:主要检定标准流量脉冲信号输出流量计,采用流量比对方式,标定流量计相对误差;③模拟量检定方式:类似于方式①,采用挡板定容,由起始和终止挡板数控制流量计模拟量的采集并进行A/D转换,1s采样1次;④手动方式:类似于方式②,主要检定人工读数的流量计,由检定人员控制计时和光栅尺脉冲计数的起始与结束。
在检定各种流量计的过程中,单片机每隔1s采集压力、温度等传感器数据,同时读取钟罩位移对应的光栅尺脉冲数和钟罩经过的档板个数,流量计输出脉冲数等数据,发送至计算机进行显示和流量值补偿计算。当钟罩降至底部时,停滞3s,再由计算机发送升钟罩指令,提升钟罩以便进行下一次检定。
计算机部分软件设计
计算机主要用于设置流量计检定参数及分析计算检定误差和管理数据。
(1)计算机功能模块
检测仪采用Delphi程序设计开发用户界面,采用SQL Server数据库管理检定数据,计算机各功能模块包括系统参数设置、数据采集及处理、数据查询、数据修改、检定报表打印和检定人员管理模块。
(2)计算机数据处理
数据处理方式因检定方式的不同而异,以检定方式①为例,按以下公式计算流量计仪表系数和误差,首先确定每个流量检定点的仪表系数ki。
式中ki为第i流量检定点的仪表系数,m-3; Nij为第i流量检定点第j次检定被检流量计的累计脉冲数; Vij为第i流量检定点第j次检定钟罩的体积量,即不同检定点钟罩的定容体积量,在检定前输入,m3; PS和Tm为检定时间内钟罩处和流量计的平均绝对压力,Pa;TS和Tm为钟罩处和流量计的平均温度值,℃。可计算流量计的仪表系数k为:

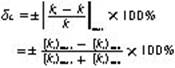
流量计的线性度为
(5)
进而可以得出流量计的基本误差为:

式中为钟罩装置的系统误差,经计量部门检定合格后确定。
软件的设置
(1)设置权限
登录软件的人员分不同权限,最高权限为具有所有权限的系统管理员,可以通过管理员生成不同权限的操作员和调试员或其他自定义人员。操作员权限为检测仪表、调用检测记录等,其权限由系统管理员指定;调试员权限为修改软件内部设置、设置系统数据等。
(2)设置系统参数
完成组建系统后,必须设置一些相应系统参数以保证检测仪正常工作和仪器较高的检测精度,包括:
①钟罩仪表系数:表示旋转编码器所发出的脉冲中每单个脉冲代表钟罩排出气体的体积。它是钟罩固定参数,每年需校准一次。在检测软件中必须设置该系数,否则无法检测被测流量计。
②流量计仪表系数:表示流量计所发出脉冲中每单个脉冲代表流过流量计气体的体积,单位为升每个脉冲(L/N)。它在检测之前输入,也必须设置,可设置为流量计固定参数或可变参数。
③标况方的条件:它是气体的标准状态条件,即大气压力为101.325kPa、温度为293.15K(20℃)。
④钟罩提升到指定高度后的稳定时间:钟罩提升后,在短时间内经历上升、停止过程会产生颤动,通过设置稳定时间使钟罩稳定下来,以减小系统误差。该参数设置越大,钟罩颤动越小,检测效果越好,但也会降低检测效率。
⑤钟罩检测下降开始阶段稳定脉冲数:钟罩下降阶段经历静止、下降过程,在下降开始阶段会产生颤动,通过设置钟罩下降开始阶段脉冲不计量,使钟罩在这段不计量的过程中减小颤动,减小系统误差。该参数设置越大,钟罩颤动越小,检测效果越好,但也会降低检测效率。
⑥检测完毕后下降脉冲个数:钟罩在当次检测完毕后,不能马上停止钟罩下降,必须先停止脉冲计数,再停止钟罩。设置此参数,是为了满足先停止脉冲计数,再停止钟罩。该参数设置不应太大,保证检测停止与钟罩止降时间错开即可。
3)设置检定证书
