老外总结:高频PCB布线经验
图1. 电容器的阻抗与频率的关系。
直接从运算放大器的电源引脚入手;具有最小电容值和最小物理尺寸的电容器应当与运算放大器置于PCB的同一面——而且尽可能靠近放大器。电容器的接地端应该用最短的引脚或印制线直接连至接地平面。上述的接地连接应该尽可能靠近放大器的负载端以便减小电源端和接地端之间的干扰。图2示出了这种连接方法。

图2. 旁路电源端和地的并联电容器。
对于次大电容值的电容器应该重复这个过程。最好从0.01 μF最小电容值开始放置,并且靠近放置一个2.2 μF(或大一点儿)的具有低等效串联电阻(ESR)的电解电容器。采用0508外壳尺寸的0.01 μF电容器具有很低的串联电感和优良的高频性能。
电源端到电源端:另外一种配置方法采用一个或多个旁路电容跨接在运算放大器的正电源端和负电源端之间。当在电路中配置四个电容器很困难的情况下通常采用这种方法。它的缺点是电容器的外壳尺寸可能增大,因为电容器两端的电压是单电源旁路方法中电压值的两倍。增大电压就需要提高器件的额定击穿电压,也就是要增大外壳尺寸。但是,这种方法可以改进PSR和失真性能。
因为每种电路和布线都是不同的,所以电容器的配置、数量和电容值都要根据实际电路的要求而定。
寄生效应
所谓寄生效应就是那些溜进你的PCB并在电路中大施破坏、头痛令人、原因不明的小故障(按照字面意思)。它们就是渗入高速电路中隐藏的寄生电容和寄生电感。其中包括由封装引脚和印制线过长形成的寄生电感;焊盘到地、焊盘到电源平面和焊盘到印制线之间形成的寄生电容;通孔之间的相互影响,以及许多其它可能的寄生效应。图3(a)示出了一个典型的同相运算放大器原理图。但是,如果考虑寄生效应的话,同样的电路可能会变成图3(b)那样。

图3. 典型的运算放大器电路,(a)原设计图,(b)考虑寄生效应后的图。
在高速电路中,很小的值就会影响电路的性能。有时候几十个皮法(pF)的电容就足够了。相关实例:如果在反相输入端仅有1 pF的附加寄生电容,它在频率域可以引起差不多2 dB的尖脉冲(见图4)。如果寄生电容足够大的话,它会引起电路的不稳定和振荡。

图4. 由寄生电容引起的附加尖脉冲。
当寻找有问题的寄生源时,可能用得着几个计算上述那些寄生电容尺寸的基本公式。公式(1)是计算平行极板电容器(见图5)的公式。
(1)
C表示电容值,A表示以cm2为单位的极板面积,k表示PCB材料的相对介电常数,d表示以cm为单位的极板间距离。

图5. 两极板间的电容。
带状电感是另外一种需要考虑的寄生效应,它是由于印制线过长或缺乏接地平面引起的。式(2)示出了计算印制线电感(Inductance)的公式。参见图6。
(2)
W表示印制线宽度,L表示印制线长度,H表示印制线的厚度。全部尺寸都以mm为单位。

图6. 印制线电感。
图7中的振荡示出了高速运算放大器同相输入端长度为2.54 cm的印制线的影响。其等效寄生电感为29 nH(10-9H),足以造成持续的低压振荡,会持续到整个瞬态响应周期。图7还示出了如何利用接地平面来减小寄生电感的影响。

图7. 有接地平面和没有接地平面的脉冲响应。
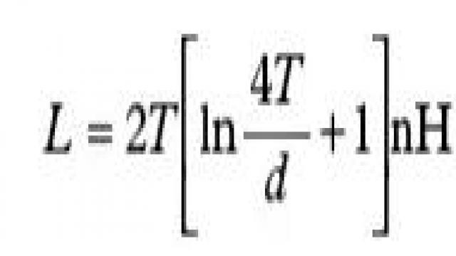
通孔是另外一种寄生源;它们能引起寄生电感和寄生电容。公式(3)是计算寄生电感的公式(参见图8)。
(3)
T表示PCB的厚度,d表示以cm为单位的通孔直径。

图8. 通孔尺寸。
公式(4)示出了如何计算通孔(参见图8)引起的寄生电容值。
(4)
εr表示PCB材料的相对磁导率。T表示PCB的厚度。D1表示环绕通孔的焊盘直径。D2表示接地平面中隔离孔的直径。所有尺寸均以cm为单位。在一块0.157 cm厚的PCB上一个通孔就可以增加1.2 nH的寄生电感和0.5 pF的寄生电容;这就是为什么在给PCB布线时一定要时刻保持戒备的原因,要将寄生效应的影响降至最小。
接地平面
实际上需要讨论的内容远不止本文提到的这些,但是我们会重点突出一些关键特性并鼓励读者进一步探讨这个题。本文的最后列出有关的参考文献。
接地平面起到公共基准电压的作用,提供屏蔽,能够散热和减小寄生电感(但它也会增加寄生电容)的功能。虽然使用接地平面有许多好处,但是在实现时也必须小心,因为它对能够做的和不能够做的都有一些限制。
理想情况下,PCB有一层应该专门用作接地平面。这样当整个平面不被破坏时才会产生最好的结果。千万不要挪用此专用层中接地平面的区域用于连接其它信号。由于接地平面可以消除导体和接地平面之间的磁场,所以可以减小印制线电感。如果破坏接地平面的某个区域,会给接地平面上面或下面的印制线引入意想不到的寄生电感。
- 针对0.4毫米和0.5毫米晶圆级封装的PCB设计(07-28)
- 射频电路的PCB设计(12-04)
- 电子元件面对高功率电平(01-04)
- 射频板材选材和无源互调(01-05)
- AWR和Zuken发布PCB射频验证流程(01-30)
- 手机PCB可靠性的设计(04-23)
