一种基于MCU控制的光伏电池测试仪设计
时间:05-22
来源:互联网
点击:
4 试验验证
根据方案设计制作样机进行试验,采用英利产品,型号为110(17)P1470×680的多晶硅光伏电池板。在自然光照情况下,对单块光伏电池进行测试。
厂家提供的Isc,Voc,IM和VM是在标准测试条件下(光强1 000 W/m2,电池温度25℃)测得参数在实际测试中,很难实现,故按照下列方案进行:
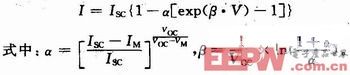
(1)根据太阳能电池简化数学模型,
根据固体物理理论推导出来的太阳能非线性I-V特性方程,其简化数学模型是:

用直流电子负载PEL-300(台湾固纬)采点测试当前自然条件下,Isc=4.2 A,Voc=20.5 V,IM=3.6 A和VM=15.3 V。将上述参数带入简化模型,求得理论近似I-V曲线和P-V曲线。
(2)使用本文开发的测试仪,与方案(1)同时测试,以保证相同的日照条件,测得的试验数据和曲线,如图5和表1所示。


二种方案所得的理论和试验曲线吻合度较好,验证了设计的可行性。并且比较两者,考虑到影响光伏电池输出特性的内、外部因素复杂,实验曲线比理论曲线更接近电池板实际工作状况,因为方案(2)测试时间很短,更能确保不变的日照条件。
5 结语
本文基于MCU,设计了可以数控调节、有源、高速响应的可变电阻器模块以及对应的测量电路,开发出了可获取光伏电池I-V和P-V曲线测试仪。物理实验测试表明,所获得的光伏电池特性曲线,形态准确,数据精度高。该测试仪在光伏电池测试,太阳能资源评估,建立光伏电池模型和最大功率点跟踪(MPPT)等方面有广泛的应用。
- 基于CS5460A的数字电表的校准及修调(11-07)
- 采用混合信号控制器进行混合工作(11-09)
- 基于PIR的移动检测系统的实现(11-03)
- TMP275在手持式实时测温仪中的应用(03-15)
- 基于FPGA/MCU的光电式滚转角测量仪(11-13)
- MCU控制的光伏电池测试仪设计(04-09)
