微型温差电池的无线传感器节点自供电系统设计
反向给温差发电器充电的情 况。
在实际应用中按照这些阻值选择电阻连接电路即可实现对于储能电容器充放电的监测和保护,延长储能电容器的工作寿命。
2.3 双电压比较器MIC841N为核心的比较器电路设计
在本文中,采用MIC841N作为电压比较器,通过该比较器可以实现对储能电容存储电压的检测,并对后续的线性稳压器的工作状态进行控制。如图4所示是MIC841N的工作参考电路,本文依托参考电路,合理设置外围电阻等器件参数,来实现其比较控制功能。

图4 MIC841N双电压比较器工作参考电路
首先,如图4所示,连接好电路,其Vin端接前面电路的储能电容器的正极;Vin端通过电阻R2接入LTH端;LTH端和HTH端通过电阻R3相连;HTH端接电阻R4然后接地;Vout接TPS78001芯片的EN端。
然后按照以下的方法确定MIC841N的外围电阻的阻值:
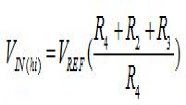
根据MIC841N芯片的特性,低电压阈值为:
(6)
高电压阈值为:
(7)
对于MIC841N芯片来说,VREF=1.240V。
由于本文是要驱动一个无线发射模块,根据本文所使用的无线发射模块的工作电压范围(2.4V-3.0V),所以VIN(lo)=2.4V,VIN(lo)=3.0V,由此本文可以确定外围电阻R4,R2,R3的阻值。本文在实际操作中,设定R4+R2+R3=1MΩ,结合公式(6)和公式(7),本文可以计算出:R4=484KΩ,R2=413KΩ,R3=103KΩ。
微型温差发电器采集到的能量给储能电容器充电是一个储能电容器两端的电压逐渐升高的过程,而其放电过程是一个电容器两端的电压缓慢下降的过程。输入双电压比较器MIC841N的Vin处的电压即是电容器两端的电压,那么MIC841N的输出结果如图5所示。

图5 MIC841N芯片工作功能图
从该输出结果本文可以看出,只有电容器的电压在一定的范围内的时候才能输出一个高电平,这恰恰可以用来控制后续稳压器模块的中断,进而最有效的利用能量。
2.4 TPS78001为核心的储能电容器放电稳压电路设计
在实际的应用中,储能电容器这种电能存 储设备两端的电压会随着放电时间的延长逐渐下降。在本文研究的实例中,微型温差发电器采集到的能量很有限,而后续的无线射频发射模块需要工作在一定的电压 范围内,如果任由储能电容器自由放电,那么无线射频发射模块只会工作很短时间,其他时间电容器的电压都不够无线射频发射模块使用,这部分电能就会被浪费 掉,为了解决这个问题,必须需要添加一个受控的稳压器来使储能电容器的放电电压稳定在一个可以使无线射频发射模块工作电压值。
本文采用了TPS78001芯片作为稳压输出设备。如图6所示为TPS78001的工作参考电路图。
首先按照图6连接电路图。IN端接储能电容器的正极;EN使能端接MIC841N的OUT端;OUT端和FB端之间接电阻R5;FB端接R6然后接地;OUT端输出一个稳定的电压,可设置,在本文中为3V,供给后面的无线发射模块使用。

图6 电路C稳压器电路原理图
然后根据以下方法确定外围电阻的阻值。
TPS78001的输出电压可以通过设定电阻R1和R2的值稳定在1.2V-5.1V之间的任何一个值。Vout和VFB的关系如方程(7)所示。
(7)
VFB是一个内部设定的参考电压,它的值为恒定的1.216V,而Vout需要稳定在3V左右,因此可得两个电阻之间的关系。本文在实际应用中设定R6=1MΩ,因此
。
3. 电路整体工作方式和测试
结 合图2的系统整体原理电路图,本文电路的整体的工作方式如下:TEG将温差能转换为电能,电能通过MPPT接口实现电能功率的最大化利用,然后经过DC- DC升压装置将电压升到3V左右,开始给储能电容器充电。如果TEG产生的电能的功率很大,电路则一边给储能电容器充电,一边驱动后面的比较器、稳压器以 及无线发射模块。若TEG产生的电能比较微弱,则首先给储能电容器进行充电,随着充电的进行,当储能电容器中的电压达到双电压比较器MIC841N的阈值 电压时,比较器输出一个高电平,该高电平将使稳压器TPS78001处于使能工作状态,稳压器稳定工作,然后储能电容器开始给后面的无线传感器节点供电; 当储能电容器放电一段时间后,其电压下降,当电压下降到MIC841N的低压阈值时,MIC841N输出低电平,此时稳压器TPS78001处于中断状 态,储能电容器不再对外放电,而开始继续充电,循环往复,本文电路会一直工作下去。
本文实验过程中采用的TEG是德国 Micropelt公司生产的TE-Core-direct,无线发射接收模块使用德州仪器生产的RF2500模块,其他电路采用本文中设计的电路。在实 验过程中实现了在温差低至3摄氏度的能量采集,可以将数据直线发送到62.7米的接收端。
- 基于Zigbee技术家用无线网络的构架(12-14)
- 无线通信领域中的模拟技术发展趋势(蜂窝基站)(09-22)
- 新一代移动通信系统及无线传输关键技术(06-19)
- 无线升级到802.11n 应考虑的因素有哪些?(10-30)
- 基于nRF401 的无线通讯系统及应用(08-10)
- WiMAX带来宽带无线接入技术的变革(05-18)
