涡街流量计在现场的应用
时间:03-23
来源:互联网
点击:
在特定的流动条件下,一部分流体动能会转化为流体振动,其振动频率与流速(流量)有确定的比例关系,依据这种原理工作的流量计称为流体振动流量计。目前流体振动流量计有三类:涡街流量计、旋进(旋涡进动)流量计和射流流量计。涡街流量计具有以下一些特点:
①输出为脉冲频率,其频率与被测流体的实际体积流量成正比,不受流体组分、密度、压力、温度的影响;
②测量范围宽,一般范围度可达10:1以上;
③精确度为中上水平;
④无可动部件,可靠性高;
⑤结构简单牢固,安装方便,维护费较低;
⑥应用范围广泛,可适用液体、气体和蒸汽。
涡街流量计的工作原理
在流体中设置旋涡发生体(阻流体),从旋涡发生体两侧交替地产生有规则的旋涡,这种旋涡称为卡曼涡街(见图1),旋涡列在旋涡发生体下游非对称地排列。根据卡曼涡街原理,有如下关系式:f=SrU1/d=SrU/md
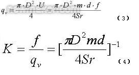
式中,m为旋涡发生体两侧弓形面积与管道横截面面积之比;D为表体通径;d为旋涡发生体迎面宽度;f为旋涡的发生频率;U1为旋涡发生体两侧平均流速;Sr为斯特劳哈尔数;U为被测介质流的平均速度。
K除与旋涡发生体、管道的几何尺寸有关外,还与斯特劳哈尔数有关。斯特劳哈尔数为无量纲参数,它与旋涡发生体形状及雷诺数有关,图2为圆柱状旋涡发生体的斯特劳哈尔数与管道雷诺数的关系图。由图2可见,在ReD=2×104~7×106的范围内,Sr可视为常数,这是仪表正常工作范围。当测量气体流量时,涡街流量计的流量计算式为:
涡街流量计由传感器和转换器两部分组成,如图3所示。传感器包括旋涡发生体(阻流体)、检测元件、仪表表体等;转换器包括前置放大器、滤波整形电路、DAC、输出接口电路、端子、支架和防护罩等。近年来智能式流量计还把微处理器、显示通信及其他功能模块装在转换器内。
涡街流量计合用的流体比较普遍,但不合用于测量低雷诺数(ReD≤2×104)流体。低雷诺数时,斯特劳哈尔数跟着雷诺数而变,仪表线性度变差,流体粘度高,明显影响甚至障碍旋涡的发生,还关于流体的脏污性质有要求。含固体微粒的流体对旋涡发作体的冲刷会发生噪声,对旋涡发作体发生磨损。若含有的短纤维环绕在旋涡发作体上,将改动仪表系数。涡街流量计在混相流体中的使用如下:
① 可以用于含涣散、平均的细小气泡,但容积含气率应小于7%~10%的气、液两相流,若容积含气率超出2%,应对仪表系数进行批改。
② 可以用于含涣散、平均的固体微粒,含量不大于2%的气固、液固两相流。
③ 可以用于互不消融的液液(如油和水)两组分流等。
脉动流和扭转流将对涡街流量计发生严峻影响。假如脉动频率与涡街频率吻合,将能够惹起谐振,毁坏正常任务和设备,使涡街旌旗灯号发生“锁定(1ock-in)”景象,这时旌旗灯号固定于某一频率。“锁定”与脉动幅值、旋涡发作体外形及梗塞比等有关。
涡街流量计的准确度关于液体大致为士(0.5%~±2%)R,关于气体为士(1%~±2%)R,反复性普通为0.2%~0.5%。因为涡街流量计的仪表系数较低,频率分辩率低,口径愈大,精度愈低,故仪表口径不宜过大(DN300以下[4])。
局限度宽是涡街流量计的长处,量程下限的流量数值更为主要。普通液体均匀流速下限为0.5m/S,气体为4~5m/s[5]。涡街流量计的正常流量最好在正常测量局限的1/2~2/3处。
涡街流量计的最大长处是仪表系数不受测量介质物性的影响,可以用一种典型的介质进行校验而使用于其他介质,为处理校验设备问题供应了便当。但因为液、气的流速局限差异很大,招致频率局限差异亦很大。在处置涡街旌旗灯号的扩大器电路中,滤波器的通带分歧,电路参数亦分歧,因而,统一电路参数不克不及用于测量分歧的介质。介质改动后,电路参数亦应随之改动。
另外,气体和液体的密度差别很大,而旋涡分离时产生的信号强度与密度成正比,因此信号强度差别亦很大。液、气放大器电路的增益、触发灵敏度等皆不相同,压电电荷差别大,电荷放大器的参数也不相同。即使同为气体(或液体、蒸汽),随着介质压力、温度、密度不同,使用的流量范围不同,信号强度亦不同,电路参数同样要改变。因此,一台涡街流量计不经硬件或软件修改,改变使用介质或改变仪表口径是不可行的。
2 安装注意事项
涡街流量计属于对管道流速分布畸变、旋转流和流动脉动等敏感的流量计,因此,对现场管道安装条件应充分重视,严格遵照使用说明书执行。
涡街流量计可安装在室内或室外。如果安装在地井里,为防止被水淹没,应选用涎水型传感器。传感器在管道上可以水平、垂直或倾斜安装,但测量液体和气体时为防止气泡和液滴的干扰,要注意安装位置(见图4)。
①输出为脉冲频率,其频率与被测流体的实际体积流量成正比,不受流体组分、密度、压力、温度的影响;
②测量范围宽,一般范围度可达10:1以上;
③精确度为中上水平;
④无可动部件,可靠性高;
⑤结构简单牢固,安装方便,维护费较低;
⑥应用范围广泛,可适用液体、气体和蒸汽。
涡街流量计的工作原理
在流体中设置旋涡发生体(阻流体),从旋涡发生体两侧交替地产生有规则的旋涡,这种旋涡称为卡曼涡街(见图1),旋涡列在旋涡发生体下游非对称地排列。根据卡曼涡街原理,有如下关系式:f=SrU1/d=SrU/md
式中,m为旋涡发生体两侧弓形面积与管道横截面面积之比;D为表体通径;d为旋涡发生体迎面宽度;f为旋涡的发生频率;U1为旋涡发生体两侧平均流速;Sr为斯特劳哈尔数;U为被测介质流的平均速度。

图1 卡曼涡街

K除与旋涡发生体、管道的几何尺寸有关外,还与斯特劳哈尔数有关。斯特劳哈尔数为无量纲参数,它与旋涡发生体形状及雷诺数有关,图2为圆柱状旋涡发生体的斯特劳哈尔数与管道雷诺数的关系图。由图2可见,在ReD=2×104~7×106的范围内,Sr可视为常数,这是仪表正常工作范围。当测量气体流量时,涡街流量计的流量计算式为:

图2 斯特劳哈尔数与雷诺数关系曲线
涡街流量计由传感器和转换器两部分组成,如图3所示。传感器包括旋涡发生体(阻流体)、检测元件、仪表表体等;转换器包括前置放大器、滤波整形电路、DAC、输出接口电路、端子、支架和防护罩等。近年来智能式流量计还把微处理器、显示通信及其他功能模块装在转换器内。
图3 涡街流量计
涡街流量计合用的流体比较普遍,但不合用于测量低雷诺数(ReD≤2×104)流体。低雷诺数时,斯特劳哈尔数跟着雷诺数而变,仪表线性度变差,流体粘度高,明显影响甚至障碍旋涡的发生,还关于流体的脏污性质有要求。含固体微粒的流体对旋涡发作体的冲刷会发生噪声,对旋涡发作体发生磨损。若含有的短纤维环绕在旋涡发作体上,将改动仪表系数。涡街流量计在混相流体中的使用如下:
① 可以用于含涣散、平均的细小气泡,但容积含气率应小于7%~10%的气、液两相流,若容积含气率超出2%,应对仪表系数进行批改。
② 可以用于含涣散、平均的固体微粒,含量不大于2%的气固、液固两相流。
③ 可以用于互不消融的液液(如油和水)两组分流等。
脉动流和扭转流将对涡街流量计发生严峻影响。假如脉动频率与涡街频率吻合,将能够惹起谐振,毁坏正常任务和设备,使涡街旌旗灯号发生“锁定(1ock-in)”景象,这时旌旗灯号固定于某一频率。“锁定”与脉动幅值、旋涡发作体外形及梗塞比等有关。
涡街流量计的准确度关于液体大致为士(0.5%~±2%)R,关于气体为士(1%~±2%)R,反复性普通为0.2%~0.5%。因为涡街流量计的仪表系数较低,频率分辩率低,口径愈大,精度愈低,故仪表口径不宜过大(DN300以下[4])。
局限度宽是涡街流量计的长处,量程下限的流量数值更为主要。普通液体均匀流速下限为0.5m/S,气体为4~5m/s[5]。涡街流量计的正常流量最好在正常测量局限的1/2~2/3处。
涡街流量计的最大长处是仪表系数不受测量介质物性的影响,可以用一种典型的介质进行校验而使用于其他介质,为处理校验设备问题供应了便当。但因为液、气的流速局限差异很大,招致频率局限差异亦很大。在处置涡街旌旗灯号的扩大器电路中,滤波器的通带分歧,电路参数亦分歧,因而,统一电路参数不克不及用于测量分歧的介质。介质改动后,电路参数亦应随之改动。
另外,气体和液体的密度差别很大,而旋涡分离时产生的信号强度与密度成正比,因此信号强度差别亦很大。液、气放大器电路的增益、触发灵敏度等皆不相同,压电电荷差别大,电荷放大器的参数也不相同。即使同为气体(或液体、蒸汽),随着介质压力、温度、密度不同,使用的流量范围不同,信号强度亦不同,电路参数同样要改变。因此,一台涡街流量计不经硬件或软件修改,改变使用介质或改变仪表口径是不可行的。
2 安装注意事项
涡街流量计属于对管道流速分布畸变、旋转流和流动脉动等敏感的流量计,因此,对现场管道安装条件应充分重视,严格遵照使用说明书执行。
涡街流量计可安装在室内或室外。如果安装在地井里,为防止被水淹没,应选用涎水型传感器。传感器在管道上可以水平、垂直或倾斜安装,但测量液体和气体时为防止气泡和液滴的干扰,要注意安装位置(见图4)。
涡街流量计检测方式传感器转换 相关文章:
- 频宽、取样速率及奈奎斯特定理(09-14)
- 为什么要进行信号调理?(09-30)
- IEEE802.16-2004 WiMAX物理层操作和测量(09-16)
- 为任意波形发生器增加价值(10-27)
- 基于PCI 总线的高速数据采集系统(09-30)
- 泰克全新VM6000视频测试仪助力数字电视等产品测试 (10-06)
