开关电源中线圈电感量的计算
时间:02-24
来源:互联网
点击:
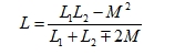
L=L1+L2±2M (2-109)
并联电感为:
(2-110)
其中:
L:两个线圈连接后的电感 [H]
L1 、L2 :分别为线圈1与线圈2的自感 [H]
M:两个线圈的互感 [H]
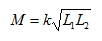
【说明】互感M有正负,图2-40-a和图2-40-c的接法互感M为正,图2-40-b和图2-40-d的接法互感M为负。两个线圈之间的互感M为:
(2-111)
其中:
M:两个线圈的互感 [H]
L1、L2 :分别为线圈1与线圈2的自感 [H]
k:两个线圈的耦合系数
【说明】互感的大小,取决两个线圈的结构和两个线圈的相对位置以及导磁物质。当K=1时,
,这时的耦合称为全耦合,它表示一个线圈产生的磁通全部从另一个线圈通过(没有漏磁通)。但在实际应用中,无论任何结构的两个线圈总会产生漏磁通,因此,耦合系数k总是一个小于1的数。一般带有铁芯的变压器漏感都比较小,因此,变压器初、次级线圈之间的偶合系数可以认为约等于1。
来源:陶显芳的博客
- 超低静态电流电源管理IC延长便携应用工作时间(04-14)
- 负载点降压稳压器及其稳定性检查方法(07-19)
- 电源设计小贴士 3:阻尼输入滤波器(第一部分)(01-16)
- 高效地驱动LED(04-23)
- 开关电源要降低纹波主要要在三个方面下功夫(06-24)
- 超宽输入范围工业控制电源的设计(10-15)
